免疫检查点抑制剂对肾上腺皮质功能减退症的荷尔蒙变化模式。

IF 2.4 4区 医学 Q2 MEDICINE, GENERAL & INTERNAL
Korean Journal of Internal Medicine Pub Date : 2024-09-01 Epub Date: 2024-08-30 DOI:10.3904/kjim.2023.523
Hyunji Sang, Yun Kyung Cho, Sang-Hyeok Go, Hwa Jung Kim, Eun Hee Koh
{"title":"免疫检查点抑制剂对肾上腺皮质功能减退症的荷尔蒙变化模式。","authors":"Hyunji Sang, Yun Kyung Cho, Sang-Hyeok Go, Hwa Jung Kim, Eun Hee Koh","doi":"10.3904/kjim.2023.523","DOIUrl":null,"url":null,"abstract":"<p><strong>Background/aims: </strong>Immune checkpoint inhibitors (ICIs) can induce immune-related adverse events, including endocrine dysfunctions, which can have serious consequences on patient health and quality of life. The clinical course and characteristics of immune-related hypophysitis (irH) are not well established. This study aimed to analyze the clinical course and characteristics of irH.</p><p><strong>Methods: </strong>This single-center, retrospective study analyzed data from electronic medical records of Asan Medical Center, spanning January 2017 through June 2021. It included adult patients with solid tumors who underwent thyroid and adrenal function tests, along with gonadotropin and/or growth hormone evaluations, following the initiation of ICI treatment within the same period. The study explored the clinical characteristics of ICI-treated patients with and without irH, the incidence of irH, the time to irH onset, and the associated hormonal changes.</p><p><strong>Results: </strong>Twenty-one patients were included in this analysis. Clinical characteristics did not differ significantly between the irH (n = 13) and non-irH (n = 8) groups. Deficiency rates in the irH group were 23.1% for thyroid-stimulating hormone (n = 3), 76.9% for adrenocorticotropic hormone (n = 10), 61.5% for gonadotropin (n = 8), and 15.4% for growth hormone (n = 2). The overall incidence was 0.9 per person-year, with 6-month and 1-year cumulative incidences of 38.8% and 57.1%, respectively. The median time from ICI initiation to irH diagnosis was 7.7 months. Time to levothyroxine replacement was shorter in the irH group.</p><p><strong>Conclusion: </strong>The findings provide evidence that could facilitate the prediction of ICI-induced irH based on clinical course and characteristics.</p>","PeriodicalId":48785,"journal":{"name":"Korean Journal of Internal Medicine","volume":"39 5","pages":"801-812"},"PeriodicalIF":2.4000,"publicationDate":"2024-09-01","publicationTypes":"Journal Article","fieldsOfStudy":null,"isOpenAccess":false,"openAccessPdf":"https://www.ncbi.nlm.nih.gov/pmc/articles/PMC11384252/pdf/","citationCount":"0","resultStr":"{\"title\":\"Patterns of hormonal changes in hypophysitis by immune checkpoint inhibitor.\",\"authors\":\"Hyunji Sang, Yun Kyung Cho, Sang-Hyeok Go, Hwa Jung Kim, Eun Hee Koh\",\"doi\":\"10.3904/kjim.2023.523\",\"DOIUrl\":null,\"url\":null,\"abstract\":\"<p><strong>Background/aims: </strong>Immune checkpoint inhibitors (ICIs) can induce immune-related adverse events, including endocrine dysfunctions, which can have serious consequences on patient health and quality of life. The clinical course and characteristics of immune-related hypophysitis (irH) are not well established. This study aimed to analyze the clinical course and characteristics of irH.</p><p><strong>Methods: </strong>This single-center, retrospective study analyzed data from electronic medical records of Asan Medical Center, spanning January 2017 through June 2021. It included adult patients with solid tumors who underwent thyroid and adrenal function tests, along with gonadotropin and/or growth hormone evaluations, following the initiation of ICI treatment within the same period. The study explored the clinical characteristics of ICI-treated patients with and without irH, the incidence of irH, the time to irH onset, and the associated hormonal changes.</p><p><strong>Results: </strong>Twenty-one patients were included in this analysis. Clinical characteristics did not differ significantly between the irH (n = 13) and non-irH (n = 8) groups. Deficiency rates in the irH group were 23.1% for thyroid-stimulating hormone (n = 3), 76.9% for adrenocorticotropic hormone (n = 10), 61.5% for gonadotropin (n = 8), and 15.4% for growth hormone (n = 2). The overall incidence was 0.9 per person-year, with 6-month and 1-year cumulative incidences of 38.8% and 57.1%, respectively. The median time from ICI initiation to irH diagnosis was 7.7 months. Time to levothyroxine replacement was shorter in the irH group.</p><p><strong>Conclusion: </strong>The findings provide evidence that could facilitate the prediction of ICI-induced irH based on clinical course and characteristics.</p>\",\"PeriodicalId\":48785,\"journal\":{\"name\":\"Korean Journal of Internal Medicine\",\"volume\":\"39 5\",\"pages\":\"801-812\"},\"PeriodicalIF\":2.4000,\"publicationDate\":\"2024-09-01\",\"publicationTypes\":\"Journal Article\",\"fieldsOfStudy\":null,\"isOpenAccess\":false,\"openAccessPdf\":\"https://www.ncbi.nlm.nih.gov/pmc/articles/PMC11384252/pdf/\",\"citationCount\":\"0\",\"resultStr\":null,\"platform\":\"Semanticscholar\",\"paperid\":null,\"PeriodicalName\":\"Korean Journal of Internal Medicine\",\"FirstCategoryId\":\"3\",\"ListUrlMain\":\"https://doi.org/10.3904/kjim.2023.523\",\"RegionNum\":4,\"RegionCategory\":\"医学\",\"ArticlePicture\":[],\"TitleCN\":null,\"AbstractTextCN\":null,\"PMCID\":null,\"EPubDate\":\"2024/8/30 0:00:00\",\"PubModel\":\"Epub\",\"JCR\":\"Q2\",\"JCRName\":\"MEDICINE, GENERAL & INTERNAL\",\"Score\":null,\"Total\":0}","platform":"Semanticscholar","paperid":null,"PeriodicalName":"Korean Journal of Internal Medicine","FirstCategoryId":"3","ListUrlMain":"https://doi.org/10.3904/kjim.2023.523","RegionNum":4,"RegionCategory":"医学","ArticlePicture":[],"TitleCN":null,"AbstractTextCN":null,"PMCID":null,"EPubDate":"2024/8/30 0:00:00","PubModel":"Epub","JCR":"Q2","JCRName":"MEDICINE, GENERAL & INTERNAL","Score":null,"Total":0}
引用次数: 0

摘要

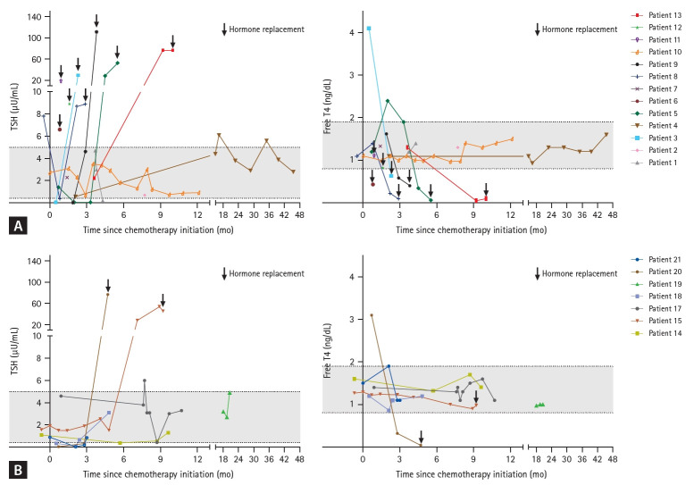
背景/目的:免疫检查点抑制剂(ICIs)可诱发免疫相关不良事件,包括内分泌功能障碍,从而对患者的健康和生活质量造成严重影响。免疫相关性肾上腺皮质功能减退症(irH)的临床过程和特征尚未明确。本研究旨在分析免疫相关性肾上腺皮质功能减退症的临床过程和特征:这项单中心回顾性研究分析了牙山医疗中心电子病历中的数据,时间跨度为 2017 年 1 月至 2021 年 6 月。研究对象包括同期开始接受 ICI 治疗并接受甲状腺和肾上腺功能检测以及促性腺激素和/或生长激素评估的实体瘤成人患者。研究探讨了接受 ICI 治疗的虹膜睫状体异常患者和未接受 ICI 治疗的虹膜睫状体异常患者的临床特征、虹膜睫状体异常的发生率、虹膜睫状体异常发生的时间以及相关的激素变化:本次分析共纳入 21 名患者。irH组(13人)和非irH组(8人)的临床特征无明显差异。irH组促甲状腺激素缺乏率为23.1%(3例),促肾上腺皮质激素缺乏率为76.9%(10例),促性腺激素缺乏率为61.5%(8例),生长激素缺乏率为15.4%(2例)。总发病率为 0.9 人/年,6 个月和 1 年的累计发病率分别为 38.8% 和 57.1%。从开始使用 ICI 到确诊虹膜性贫血的中位时间为 7.7 个月。虹膜性心脏病组患者更换左甲状腺素的时间更短:研究结果提供了证据,有助于根据临床病程和特征预测 ICI 诱导的虹膜性心脏病。
本文章由计算机程序翻译,如有差异,请以英文原文为准。

Patterns of hormonal changes in hypophysitis by immune checkpoint inhibitor.

Patterns of hormonal changes in hypophysitis by immune checkpoint inhibitor.

Patterns of hormonal changes in hypophysitis by immune checkpoint inhibitor.

Patterns of hormonal changes in hypophysitis by immune checkpoint inhibitor.

Background/aims: Immune checkpoint inhibitors (ICIs) can induce immune-related adverse events, including endocrine dysfunctions, which can have serious consequences on patient health and quality of life. The clinical course and characteristics of immune-related hypophysitis (irH) are not well established. This study aimed to analyze the clinical course and characteristics of irH.

Methods: This single-center, retrospective study analyzed data from electronic medical records of Asan Medical Center, spanning January 2017 through June 2021. It included adult patients with solid tumors who underwent thyroid and adrenal function tests, along with gonadotropin and/or growth hormone evaluations, following the initiation of ICI treatment within the same period. The study explored the clinical characteristics of ICI-treated patients with and without irH, the incidence of irH, the time to irH onset, and the associated hormonal changes.

Results: Twenty-one patients were included in this analysis. Clinical characteristics did not differ significantly between the irH (n = 13) and non-irH (n = 8) groups. Deficiency rates in the irH group were 23.1% for thyroid-stimulating hormone (n = 3), 76.9% for adrenocorticotropic hormone (n = 10), 61.5% for gonadotropin (n = 8), and 15.4% for growth hormone (n = 2). The overall incidence was 0.9 per person-year, with 6-month and 1-year cumulative incidences of 38.8% and 57.1%, respectively. The median time from ICI initiation to irH diagnosis was 7.7 months. Time to levothyroxine replacement was shorter in the irH group.

Conclusion: The findings provide evidence that could facilitate the prediction of ICI-induced irH based on clinical course and characteristics.

求助全文
通过发布文献求助,成功后即可免费获取论文全文。 去求助
来源期刊
Korean Journal of Internal Medicine
Korean Journal of Internal Medicine MEDICINE, GENERAL & INTERNAL-
CiteScore
5.10
自引率
4.20%
发文量
129
审稿时长
20 weeks
期刊介绍: The Korean Journal of Internal Medicine is an international medical journal published in English by the Korean Association of Internal Medicine. The Journal publishes peer-reviewed original articles, reviews, and editorials on all aspects of medicine, including clinical investigations and basic research. Both human and experimental animal studies are welcome, as are new findings on the epidemiology, pathogenesis, diagnosis, and treatment of diseases. Case reports will be published only in exceptional circumstances, when they illustrate a rare occurrence of clinical importance. Letters to the editor are encouraged for specific comments on published articles and general viewpoints.
×
引用
GB/T 7714-2015
复制
MLA
复制
APA
复制
导出至
BibTeX EndNote RefMan NoteFirst NoteExpress
×
提示
您的信息不完整,为了账户安全,请先补充。
现在去补充
×
提示
您因"违规操作"
具体请查看互助需知
我知道了
×
提示
确定
请完成安全验证×
copy
已复制链接
快去分享给好友吧!
我知道了
右上角分享
点击右上角分享
0
联系我们:info@booksci.cn Book学术提供免费学术资源搜索服务,方便国内外学者检索中英文文献。致力于提供最便捷和优质的服务体验。 Copyright © 2023 布克学术 All rights reserved.
京ICP备2023020795号-1
ghs 京公网安备 11010802042870号
Book学术文献互助
Book学术文献互助群
群 号:604180095
Book学术官方微信