曾在口服孕激素的高难度辅助生殖治疗方案中使用过复合口服避孕药 - 曾使用过 COC 和 ART。

IF 1.9 Q3 OBSTETRICS & GYNECOLOGY
Daniel Henrique Braga Vidal, Fabiana Lanoli Gentil, Erik Montagna, Caio Parente Barbosa, Renato de Oliveira
{"title":"曾在口服孕激素的高难度辅助生殖治疗方案中使用过复合口服避孕药 - 曾使用过 COC 和 ART。","authors":"Daniel Henrique Braga Vidal, Fabiana Lanoli Gentil, Erik Montagna, Caio Parente Barbosa, Renato de Oliveira","doi":"10.5935/1518-0557.20240058","DOIUrl":null,"url":null,"abstract":"<p><strong>Objective: </strong>To evaluate the impact of prior use of combined oral contraceptives in assisted reproduction techniques with ovulation blockade by oral progestin.</p><p><strong>Methods: </strong>Retrospective cohort study with a single-center convenience sample of patients treated between 2018 and 2021. Two groups were compared: with and without a history of combined oral contraceptives (comparator). The clinical variables were age, body mass index, type of infertility and smoking. Regarding treatment, antral follicle count; follicles >14 mm; oocytes in metaphase I and II; number of embryos; days of treatment; total dose of medication, chemical and clinical pregnancy rate and delivery after 1st embryo transfer. Absolute and relative frequencies were used for the qualitative variables; means, medians and t-test for the quantitative ones. Association between qualitative variables used the Chi-square test and, for quantitative variables, the Mann-Whitney test (p<0.05). The statistical program used was Stata 16.0.</p><p><strong>Results: </strong>Among 407 medical records, 351 were included (combined oral contraceptive=243 and comparator=108). The combined oral contraceptive and the comparator groups had, respectively, mean (SD±) age 38.2 (4.5) and 38.2 (4.5) years; chemical pregnancy rates of 30.5% and 29.6% (p=0.281); clinical pregnancy rates of 24.8% and 24.1% (p=0.313) and abortion, 5% and 4.6% (p=0.544). The median time on combined oral contraceptives was 6 years.</p><p><strong>Conclusions: </strong>Previous use of combined oral contraceptives did not impact reproductive results in relation to the comparator group in patients undergoing assisted reproduction techniques in protocols with oral progestin.</p>","PeriodicalId":46364,"journal":{"name":"Jornal Brasileiro de Reproducao Assistida","volume":" ","pages":"639-649"},"PeriodicalIF":1.9000,"publicationDate":"2024-12-03","publicationTypes":"Journal Article","fieldsOfStudy":null,"isOpenAccess":false,"openAccessPdf":"https://www.ncbi.nlm.nih.gov/pmc/articles/PMC11622397/pdf/","citationCount":"0","resultStr":"{\"title\":\"Previous Use of Combined Oral Contraception in High Complexity Assisted Reproduction Treatments in Protocol with Oral Progestin - Previous use of COC and ART.\",\"authors\":\"Daniel Henrique Braga Vidal, Fabiana Lanoli Gentil, Erik Montagna, Caio Parente Barbosa, Renato de Oliveira\",\"doi\":\"10.5935/1518-0557.20240058\",\"DOIUrl\":null,\"url\":null,\"abstract\":\"<p><strong>Objective: </strong>To evaluate the impact of prior use of combined oral contraceptives in assisted reproduction techniques with ovulation blockade by oral progestin.</p><p><strong>Methods: </strong>Retrospective cohort study with a single-center convenience sample of patients treated between 2018 and 2021. Two groups were compared: with and without a history of combined oral contraceptives (comparator). The clinical variables were age, body mass index, type of infertility and smoking. Regarding treatment, antral follicle count; follicles >14 mm; oocytes in metaphase I and II; number of embryos; days of treatment; total dose of medication, chemical and clinical pregnancy rate and delivery after 1st embryo transfer. Absolute and relative frequencies were used for the qualitative variables; means, medians and t-test for the quantitative ones. Association between qualitative variables used the Chi-square test and, for quantitative variables, the Mann-Whitney test (p<0.05). The statistical program used was Stata 16.0.</p><p><strong>Results: </strong>Among 407 medical records, 351 were included (combined oral contraceptive=243 and comparator=108). The combined oral contraceptive and the comparator groups had, respectively, mean (SD±) age 38.2 (4.5) and 38.2 (4.5) years; chemical pregnancy rates of 30.5% and 29.6% (p=0.281); clinical pregnancy rates of 24.8% and 24.1% (p=0.313) and abortion, 5% and 4.6% (p=0.544). The median time on combined oral contraceptives was 6 years.</p><p><strong>Conclusions: </strong>Previous use of combined oral contraceptives did not impact reproductive results in relation to the comparator group in patients undergoing assisted reproduction techniques in protocols with oral progestin.</p>\",\"PeriodicalId\":46364,\"journal\":{\"name\":\"Jornal Brasileiro de Reproducao Assistida\",\"volume\":\" \",\"pages\":\"639-649\"},\"PeriodicalIF\":1.9000,\"publicationDate\":\"2024-12-03\",\"publicationTypes\":\"Journal Article\",\"fieldsOfStudy\":null,\"isOpenAccess\":false,\"openAccessPdf\":\"https://www.ncbi.nlm.nih.gov/pmc/articles/PMC11622397/pdf/\",\"citationCount\":\"0\",\"resultStr\":null,\"platform\":\"Semanticscholar\",\"paperid\":null,\"PeriodicalName\":\"Jornal Brasileiro de Reproducao Assistida\",\"FirstCategoryId\":\"1085\",\"ListUrlMain\":\"https://doi.org/10.5935/1518-0557.20240058\",\"RegionNum\":0,\"RegionCategory\":null,\"ArticlePicture\":[],\"TitleCN\":null,\"AbstractTextCN\":null,\"PMCID\":null,\"EPubDate\":\"\",\"PubModel\":\"\",\"JCR\":\"Q3\",\"JCRName\":\"OBSTETRICS & GYNECOLOGY\",\"Score\":null,\"Total\":0}","platform":"Semanticscholar","paperid":null,"PeriodicalName":"Jornal Brasileiro de Reproducao Assistida","FirstCategoryId":"1085","ListUrlMain":"https://doi.org/10.5935/1518-0557.20240058","RegionNum":0,"RegionCategory":null,"ArticlePicture":[],"TitleCN":null,"AbstractTextCN":null,"PMCID":null,"EPubDate":"","PubModel":"","JCR":"Q3","JCRName":"OBSTETRICS & GYNECOLOGY","Score":null,"Total":0}
引用次数: 0

摘要

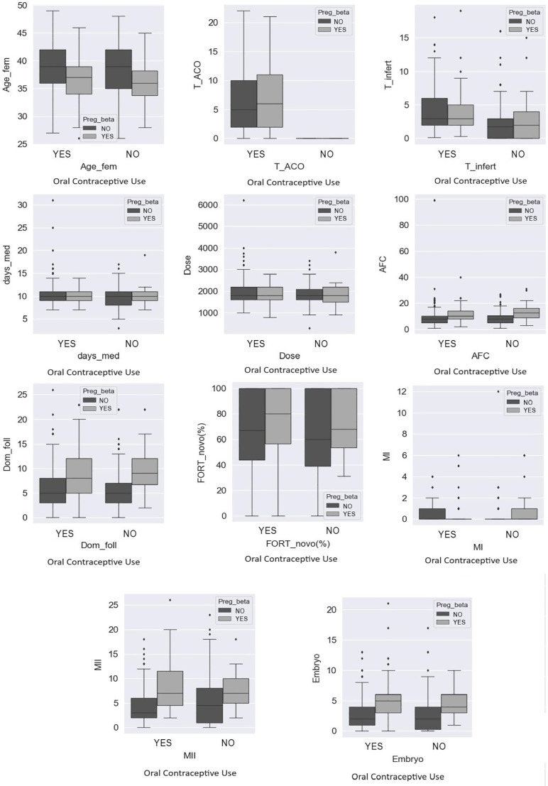
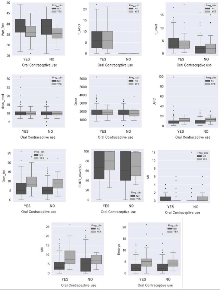
目的评估在使用口服孕激素阻断排卵的辅助生殖技术中先前使用复方口服避孕药的影响:对2018年至2021年期间接受治疗的患者进行单中心便利抽样的回顾性队列研究。两组患者进行比较:有口服联合避孕药史和无口服联合避孕药史(比较者)。临床变量包括年龄、体重指数、不孕类型和吸烟。治疗变量包括:前区卵泡数、卵泡直径大于 14 毫米、卵母细胞分裂期 I 期和 II 期、胚胎数、治疗天数、药物总剂量、化学妊娠率和临床妊娠率以及第一次胚胎移植后的分娩率。定性变量采用绝对频率和相对频率;定量变量采用平均值、中位数和 t 检验。定性变量之间的关联采用卡方检验,定量变量之间的关联采用曼-惠特尼检验(pResults):在 407 份病历中,纳入了 351 份(复方口服避孕药=243 份,对比药=108 份)。复方口服避孕药组和对照组的平均(SD±)年龄分别为 38.2(4.5)岁和 38.2(4.5)岁;化学妊娠率分别为 30.5%和 29.6%(P=0.281);临床妊娠率分别为 24.8%和 24.1%(P=0.313),流产率分别为 5%和 4.6%(P=0.544)。服用复方口服避孕药的时间中位数为 6 年:结论:在使用口服孕激素的方案中接受辅助生殖技术的患者,既往使用复方口服避孕药与对比组相比不会影响生殖结果。
本文章由计算机程序翻译,如有差异,请以英文原文为准。

Previous Use of Combined Oral Contraception in High Complexity Assisted Reproduction Treatments in Protocol with Oral Progestin - Previous use of COC and ART.

Previous Use of Combined Oral Contraception in High Complexity Assisted Reproduction Treatments in Protocol with Oral Progestin - Previous use of COC and ART.

Previous Use of Combined Oral Contraception in High Complexity Assisted Reproduction Treatments in Protocol with Oral Progestin - Previous use of COC and ART.

Previous Use of Combined Oral Contraception in High Complexity Assisted Reproduction Treatments in Protocol with Oral Progestin - Previous use of COC and ART.

Objective: To evaluate the impact of prior use of combined oral contraceptives in assisted reproduction techniques with ovulation blockade by oral progestin.

Methods: Retrospective cohort study with a single-center convenience sample of patients treated between 2018 and 2021. Two groups were compared: with and without a history of combined oral contraceptives (comparator). The clinical variables were age, body mass index, type of infertility and smoking. Regarding treatment, antral follicle count; follicles >14 mm; oocytes in metaphase I and II; number of embryos; days of treatment; total dose of medication, chemical and clinical pregnancy rate and delivery after 1st embryo transfer. Absolute and relative frequencies were used for the qualitative variables; means, medians and t-test for the quantitative ones. Association between qualitative variables used the Chi-square test and, for quantitative variables, the Mann-Whitney test (p<0.05). The statistical program used was Stata 16.0.

Results: Among 407 medical records, 351 were included (combined oral contraceptive=243 and comparator=108). The combined oral contraceptive and the comparator groups had, respectively, mean (SD±) age 38.2 (4.5) and 38.2 (4.5) years; chemical pregnancy rates of 30.5% and 29.6% (p=0.281); clinical pregnancy rates of 24.8% and 24.1% (p=0.313) and abortion, 5% and 4.6% (p=0.544). The median time on combined oral contraceptives was 6 years.

Conclusions: Previous use of combined oral contraceptives did not impact reproductive results in relation to the comparator group in patients undergoing assisted reproduction techniques in protocols with oral progestin.

求助全文
通过发布文献求助,成功后即可免费获取论文全文。 去求助
来源期刊
CiteScore
3.30
自引率
6.70%
发文量
56
×
引用
GB/T 7714-2015
复制
MLA
复制
APA
复制
导出至
BibTeX EndNote RefMan NoteFirst NoteExpress
×
提示
您的信息不完整,为了账户安全,请先补充。
现在去补充
×
提示
您因"违规操作"
具体请查看互助需知
我知道了
×
提示
确定
请完成安全验证×
copy
已复制链接
快去分享给好友吧!
我知道了
右上角分享
点击右上角分享
0
联系我们:info@booksci.cn Book学术提供免费学术资源搜索服务,方便国内外学者检索中英文文献。致力于提供最便捷和优质的服务体验。 Copyright © 2023 布克学术 All rights reserved.
京ICP备2023020795号-1
ghs 京公网安备 11010802042870号
Book学术文献互助
Book学术文献互助群
群 号:604180095
Book学术官方微信