用于仔猪的野猪源益生菌 - 一项体外研究。

IF 0.8 4区 农林科学 Q3 VETERINARY SCIENCES
Veterinarni Medicina Pub Date : 2024-08-29 eCollection Date: 2024-08-01 DOI:10.17221/35/2024-VETMED
Iveta Kostovova, Katerina Kavanova, Monika Moravkova, Jan Gebauer, Lenka Leva, Monika Vicenova, Vladimir Babak, Martin Faldyna, Magdalena Crhanova
{"title":"用于仔猪的野猪源益生菌 - 一项体外研究。","authors":"Iveta Kostovova, Katerina Kavanova, Monika Moravkova, Jan Gebauer, Lenka Leva, Monika Vicenova, Vladimir Babak, Martin Faldyna, Magdalena Crhanova","doi":"10.17221/35/2024-VETMED","DOIUrl":null,"url":null,"abstract":"<p><p>Using probiotics represents a potential solution to post-weaning diarrheal diseases in piglets on commercial farms. The gastrointestinal tract of wild boars serves as a promising reservoir of novel lactic acid bacteria with suitable probiotic characteristics. In this study, we isolated eight bacterial strains from the intestinal content of wild boars identified as representatives of the species <i>Bifidobacterium apri</i>, <i>Lactobacillus amylovorus</i>, and <i>Ligilactobacillus salivarius</i>. These isolates underwent <i>in vitro</i> analysis and characterisation to assess their biological safety and probiotic properties. Analysis of their full genome sequences revealed the absence of horizontally transferrable genes for antibiotic resistance. However, seven out of eight isolates harboured genes encoding various types of bacteriocins in their genomes, and bacteriocin production was further confirmed by mass spectrometry analysis. Most of the tested strains demonstrated the ability to inhibit the growth of selected pathogenic bacteria, produce exopolysaccharides, and stimulate the expression of interleukin-10 in porcine macrophages. These characteristics deem the isolates characterised in this study as potential candidates for use as probiotics for piglets during the post-weaning period.</p>","PeriodicalId":23532,"journal":{"name":"Veterinarni Medicina","volume":"69 8","pages":"281-296"},"PeriodicalIF":0.8000,"publicationDate":"2024-08-29","publicationTypes":"Journal Article","fieldsOfStudy":null,"isOpenAccess":false,"openAccessPdf":"https://www.ncbi.nlm.nih.gov/pmc/articles/PMC11406499/pdf/","citationCount":"0","resultStr":"{\"title\":\"Probiotic bacteria of wild boar origin intended for piglets - An <i>in vitro</i> study.\",\"authors\":\"Iveta Kostovova, Katerina Kavanova, Monika Moravkova, Jan Gebauer, Lenka Leva, Monika Vicenova, Vladimir Babak, Martin Faldyna, Magdalena Crhanova\",\"doi\":\"10.17221/35/2024-VETMED\",\"DOIUrl\":null,\"url\":null,\"abstract\":\"<p><p>Using probiotics represents a potential solution to post-weaning diarrheal diseases in piglets on commercial farms. The gastrointestinal tract of wild boars serves as a promising reservoir of novel lactic acid bacteria with suitable probiotic characteristics. In this study, we isolated eight bacterial strains from the intestinal content of wild boars identified as representatives of the species <i>Bifidobacterium apri</i>, <i>Lactobacillus amylovorus</i>, and <i>Ligilactobacillus salivarius</i>. These isolates underwent <i>in vitro</i> analysis and characterisation to assess their biological safety and probiotic properties. Analysis of their full genome sequences revealed the absence of horizontally transferrable genes for antibiotic resistance. However, seven out of eight isolates harboured genes encoding various types of bacteriocins in their genomes, and bacteriocin production was further confirmed by mass spectrometry analysis. Most of the tested strains demonstrated the ability to inhibit the growth of selected pathogenic bacteria, produce exopolysaccharides, and stimulate the expression of interleukin-10 in porcine macrophages. These characteristics deem the isolates characterised in this study as potential candidates for use as probiotics for piglets during the post-weaning period.</p>\",\"PeriodicalId\":23532,\"journal\":{\"name\":\"Veterinarni Medicina\",\"volume\":\"69 8\",\"pages\":\"281-296\"},\"PeriodicalIF\":0.8000,\"publicationDate\":\"2024-08-29\",\"publicationTypes\":\"Journal Article\",\"fieldsOfStudy\":null,\"isOpenAccess\":false,\"openAccessPdf\":\"https://www.ncbi.nlm.nih.gov/pmc/articles/PMC11406499/pdf/\",\"citationCount\":\"0\",\"resultStr\":null,\"platform\":\"Semanticscholar\",\"paperid\":null,\"PeriodicalName\":\"Veterinarni Medicina\",\"FirstCategoryId\":\"97\",\"ListUrlMain\":\"https://doi.org/10.17221/35/2024-VETMED\",\"RegionNum\":4,\"RegionCategory\":\"农林科学\",\"ArticlePicture\":[],\"TitleCN\":null,\"AbstractTextCN\":null,\"PMCID\":null,\"EPubDate\":\"2024/8/1 0:00:00\",\"PubModel\":\"eCollection\",\"JCR\":\"Q3\",\"JCRName\":\"VETERINARY SCIENCES\",\"Score\":null,\"Total\":0}","platform":"Semanticscholar","paperid":null,"PeriodicalName":"Veterinarni Medicina","FirstCategoryId":"97","ListUrlMain":"https://doi.org/10.17221/35/2024-VETMED","RegionNum":4,"RegionCategory":"农林科学","ArticlePicture":[],"TitleCN":null,"AbstractTextCN":null,"PMCID":null,"EPubDate":"2024/8/1 0:00:00","PubModel":"eCollection","JCR":"Q3","JCRName":"VETERINARY SCIENCES","Score":null,"Total":0}
引用次数: 0

摘要

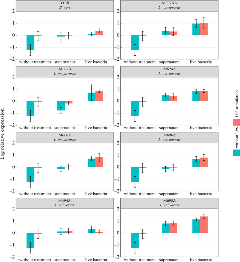
使用益生菌是解决商业化养殖场仔猪断奶后腹泻疾病的一种潜在方法。野猪的胃肠道是具有适当益生特性的新型乳酸菌的宝库。在这项研究中,我们从野猪的肠道内容物中分离出了八种细菌菌株,分别被鉴定为双歧杆菌(Bifidobacterium apri)、淀粉乳杆菌(Lactobacillus amylovorus)和唾液乳杆菌(Ligilactobacillus salivarius)的代表菌种。对这些分离物进行了体外分析和表征,以评估其生物安全性和益生特性。对其全基因组序列的分析表明,它们不存在可水平转移的抗生素耐药性基因。不过,8 株分离菌株中有 7 株的基因组中含有编码各种类型细菌素的基因,细菌素的产生通过质谱分析得到了进一步证实。大多数受测菌株都具有抑制特定致病菌生长、产生外多糖和刺激猪巨噬细胞表达白细胞介素-10的能力。这些特征表明,本研究中的分离菌株有可能被用作断奶后仔猪的益生菌。
本文章由计算机程序翻译,如有差异,请以英文原文为准。

Probiotic bacteria of wild boar origin intended for piglets - An <i>in vitro</i> study.

Probiotic bacteria of wild boar origin intended for piglets - An <i>in vitro</i> study.

Probiotic bacteria of wild boar origin intended for piglets - An <i>in vitro</i> study.

Probiotic bacteria of wild boar origin intended for piglets - An in vitro study.

Using probiotics represents a potential solution to post-weaning diarrheal diseases in piglets on commercial farms. The gastrointestinal tract of wild boars serves as a promising reservoir of novel lactic acid bacteria with suitable probiotic characteristics. In this study, we isolated eight bacterial strains from the intestinal content of wild boars identified as representatives of the species Bifidobacterium apri, Lactobacillus amylovorus, and Ligilactobacillus salivarius. These isolates underwent in vitro analysis and characterisation to assess their biological safety and probiotic properties. Analysis of their full genome sequences revealed the absence of horizontally transferrable genes for antibiotic resistance. However, seven out of eight isolates harboured genes encoding various types of bacteriocins in their genomes, and bacteriocin production was further confirmed by mass spectrometry analysis. Most of the tested strains demonstrated the ability to inhibit the growth of selected pathogenic bacteria, produce exopolysaccharides, and stimulate the expression of interleukin-10 in porcine macrophages. These characteristics deem the isolates characterised in this study as potential candidates for use as probiotics for piglets during the post-weaning period.

求助全文
通过发布文献求助,成功后即可免费获取论文全文。 去求助
来源期刊
Veterinarni Medicina
Veterinarni Medicina Veterinary Sciences-兽医学
CiteScore
1.30
自引率
0.00%
发文量
62
审稿时长
18-36 weeks
期刊介绍: The journal Veterinarni Medicina publishes in English original papers, short communications, critical reviews and case reports from all fields of veterinary and biomedical sciences.
×
引用
GB/T 7714-2015
复制
MLA
复制
APA
复制
导出至
BibTeX EndNote RefMan NoteFirst NoteExpress
×
提示
您的信息不完整,为了账户安全,请先补充。
现在去补充
×
提示
您因"违规操作"
具体请查看互助需知
我知道了
×
提示
确定
请完成安全验证×
copy
已复制链接
快去分享给好友吧!
我知道了
右上角分享
点击右上角分享
0
联系我们:info@booksci.cn Book学术提供免费学术资源搜索服务,方便国内外学者检索中英文文献。致力于提供最便捷和优质的服务体验。 Copyright © 2023 布克学术 All rights reserved.
京ICP备2023020795号-1
ghs 京公网安备 11010802042870号
Book学术文献互助
Book学术文献互助群
群 号:604180095
Book学术官方微信