与 3 个月大婴儿睡眠时间有关的因素。

IF 1.8 Q4 CLINICAL NEUROLOGY
Sleep Science Pub Date : 2024-06-27 eCollection Date: 2024-09-01 DOI:10.1055/s-0044-1782168
Paula Louro Silva, Tamiris Ramos, Natalia Pinheiro Castro, Nicole Richetto, Rossana Verônica López, Liania Alves Luzia, Patricia Helen Rondó
{"title":"与 3 个月大婴儿睡眠时间有关的因素。","authors":"Paula Louro Silva, Tamiris Ramos, Natalia Pinheiro Castro, Nicole Richetto, Rossana Verônica López, Liania Alves Luzia, Patricia Helen Rondó","doi":"10.1055/s-0044-1782168","DOIUrl":null,"url":null,"abstract":"<p><p><b>Objective</b>  To identify the factors related to sleep duration in 3-month-old infants. <b>Materials and Methods</b>  From 2021 to 2023, we conducted a cross-sectional study in the city of Araraquara, Brazil, involving 140 mothers and their respective 3-month-old infants. Maternal socioeconomic, demographic, obstetric, and nutritional characteristics, as well as nutritional and morbidity characteristics of the respective infants, were evaluated. Sleep duration was determined by the Brief Infant Sleep Questionnaire (BISQ). Multivariate linear regression analysis was used to assess the associations of maternal, newborn, and infant factors with sleep duration at three months. <b>Results</b>  The nighttime sleep duration of the infants was of 9 hours. There were negative associations between nighttime sleep duration and prone sleep position ( <i>p</i>  = 0.011), falling asleep between 8:30 pm and 11:00 pm ( <i>p</i>  = 0.032), falling asleep after 11:00 pm ( <i>p</i>  < 0.001), respiratory infection ( <i>p</i>  = 0.011), dermatitis ( <i>p</i>  = 0.002), and the presence of children under 9 years of age in the household ( <i>p</i>  = 0.013). <b>Discussion</b>  In the present study, factors such as infant morbidity, the presence of other children in the household, and sleeping habits were associated with a decrease in sleep duration in 3-month-old infants. Therefore, we emphasize the importance of early diagnosis of morbidity in the first months of life and of promoting healthy habits such as regulating the time to go to sleep, providing an adequate sleep environment, and other practices that help improve the quality and duration of sleep.</p>","PeriodicalId":21848,"journal":{"name":"Sleep Science","volume":"17 3","pages":"e281-e288"},"PeriodicalIF":1.8000,"publicationDate":"2024-06-27","publicationTypes":"Journal Article","fieldsOfStudy":null,"isOpenAccess":false,"openAccessPdf":"https://www.ncbi.nlm.nih.gov/pmc/articles/PMC11390173/pdf/","citationCount":"0","resultStr":"{\"title\":\"Factors Related to the Sleep Duration of 3-Month-Old Infants.\",\"authors\":\"Paula Louro Silva, Tamiris Ramos, Natalia Pinheiro Castro, Nicole Richetto, Rossana Verônica López, Liania Alves Luzia, Patricia Helen Rondó\",\"doi\":\"10.1055/s-0044-1782168\",\"DOIUrl\":null,\"url\":null,\"abstract\":\"<p><p><b>Objective</b>  To identify the factors related to sleep duration in 3-month-old infants. <b>Materials and Methods</b>  From 2021 to 2023, we conducted a cross-sectional study in the city of Araraquara, Brazil, involving 140 mothers and their respective 3-month-old infants. Maternal socioeconomic, demographic, obstetric, and nutritional characteristics, as well as nutritional and morbidity characteristics of the respective infants, were evaluated. Sleep duration was determined by the Brief Infant Sleep Questionnaire (BISQ). Multivariate linear regression analysis was used to assess the associations of maternal, newborn, and infant factors with sleep duration at three months. <b>Results</b>  The nighttime sleep duration of the infants was of 9 hours. There were negative associations between nighttime sleep duration and prone sleep position ( <i>p</i>  = 0.011), falling asleep between 8:30 pm and 11:00 pm ( <i>p</i>  = 0.032), falling asleep after 11:00 pm ( <i>p</i>  < 0.001), respiratory infection ( <i>p</i>  = 0.011), dermatitis ( <i>p</i>  = 0.002), and the presence of children under 9 years of age in the household ( <i>p</i>  = 0.013). <b>Discussion</b>  In the present study, factors such as infant morbidity, the presence of other children in the household, and sleeping habits were associated with a decrease in sleep duration in 3-month-old infants. Therefore, we emphasize the importance of early diagnosis of morbidity in the first months of life and of promoting healthy habits such as regulating the time to go to sleep, providing an adequate sleep environment, and other practices that help improve the quality and duration of sleep.</p>\",\"PeriodicalId\":21848,\"journal\":{\"name\":\"Sleep Science\",\"volume\":\"17 3\",\"pages\":\"e281-e288\"},\"PeriodicalIF\":1.8000,\"publicationDate\":\"2024-06-27\",\"publicationTypes\":\"Journal Article\",\"fieldsOfStudy\":null,\"isOpenAccess\":false,\"openAccessPdf\":\"https://www.ncbi.nlm.nih.gov/pmc/articles/PMC11390173/pdf/\",\"citationCount\":\"0\",\"resultStr\":null,\"platform\":\"Semanticscholar\",\"paperid\":null,\"PeriodicalName\":\"Sleep Science\",\"FirstCategoryId\":\"1085\",\"ListUrlMain\":\"https://doi.org/10.1055/s-0044-1782168\",\"RegionNum\":0,\"RegionCategory\":null,\"ArticlePicture\":[],\"TitleCN\":null,\"AbstractTextCN\":null,\"PMCID\":null,\"EPubDate\":\"2024/9/1 0:00:00\",\"PubModel\":\"eCollection\",\"JCR\":\"Q4\",\"JCRName\":\"CLINICAL NEUROLOGY\",\"Score\":null,\"Total\":0}","platform":"Semanticscholar","paperid":null,"PeriodicalName":"Sleep Science","FirstCategoryId":"1085","ListUrlMain":"https://doi.org/10.1055/s-0044-1782168","RegionNum":0,"RegionCategory":null,"ArticlePicture":[],"TitleCN":null,"AbstractTextCN":null,"PMCID":null,"EPubDate":"2024/9/1 0:00:00","PubModel":"eCollection","JCR":"Q4","JCRName":"CLINICAL NEUROLOGY","Score":null,"Total":0}
引用次数: 0

摘要

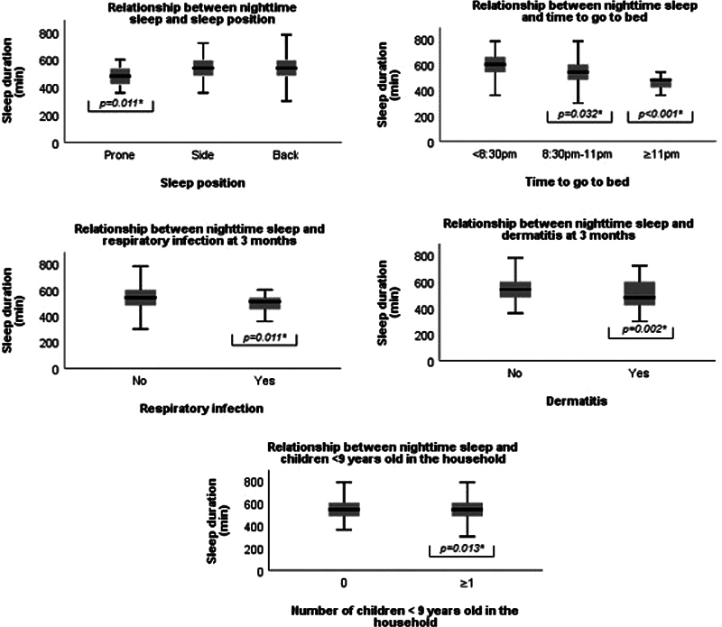
目的 找出与 3 个月大婴儿睡眠时间相关的因素。材料与方法 2021 年至 2023 年,我们在巴西阿拉瓜拉市开展了一项横断面研究,涉及 140 名母亲及其各自的 3 个月大婴儿。研究评估了母亲的社会经济、人口、产科和营养特征,以及婴儿的营养和发病特征。睡眠时间由婴儿睡眠简明问卷(BISQ)确定。采用多变量线性回归分析评估产妇、新生儿和婴儿因素与三个月时睡眠时间的关系。结果 婴儿的夜间睡眠时间为 9 小时。夜间睡眠时间与俯卧姿势(P = 0.011)、晚上 8:30 至 11:00 入睡(P = 0.032)、晚上 11:00 后入睡(P = 0.011)、皮炎(P = 0.002)和家中有 9 岁以下儿童(P = 0.013)之间存在负相关。讨论 在本研究中,婴儿发病率、家中是否有其他孩子以及睡眠习惯等因素与 3 个月大婴儿睡眠时间的缩短有关。因此,我们强调在婴儿出生后的头几个月及早诊断其发病率并促进其养成健康的生活习惯的重要性,如调节入睡时间、提供充足的睡眠环境以及其他有助于提高睡眠质量和延长睡眠时间的做法。
本文章由计算机程序翻译,如有差异,请以英文原文为准。

Factors Related to the Sleep Duration of 3-Month-Old Infants.

Factors Related to the Sleep Duration of 3-Month-Old Infants.

Objective  To identify the factors related to sleep duration in 3-month-old infants. Materials and Methods  From 2021 to 2023, we conducted a cross-sectional study in the city of Araraquara, Brazil, involving 140 mothers and their respective 3-month-old infants. Maternal socioeconomic, demographic, obstetric, and nutritional characteristics, as well as nutritional and morbidity characteristics of the respective infants, were evaluated. Sleep duration was determined by the Brief Infant Sleep Questionnaire (BISQ). Multivariate linear regression analysis was used to assess the associations of maternal, newborn, and infant factors with sleep duration at three months. Results  The nighttime sleep duration of the infants was of 9 hours. There were negative associations between nighttime sleep duration and prone sleep position ( p  = 0.011), falling asleep between 8:30 pm and 11:00 pm ( p  = 0.032), falling asleep after 11:00 pm ( p  < 0.001), respiratory infection ( p  = 0.011), dermatitis ( p  = 0.002), and the presence of children under 9 years of age in the household ( p  = 0.013). Discussion  In the present study, factors such as infant morbidity, the presence of other children in the household, and sleeping habits were associated with a decrease in sleep duration in 3-month-old infants. Therefore, we emphasize the importance of early diagnosis of morbidity in the first months of life and of promoting healthy habits such as regulating the time to go to sleep, providing an adequate sleep environment, and other practices that help improve the quality and duration of sleep.

求助全文
通过发布文献求助,成功后即可免费获取论文全文。 去求助
来源期刊
Sleep Science
Sleep Science CLINICAL NEUROLOGY-
CiteScore
2.50
自引率
12.50%
发文量
124
审稿时长
10 weeks
×
引用
GB/T 7714-2015
复制
MLA
复制
APA
复制
导出至
BibTeX EndNote RefMan NoteFirst NoteExpress
×
提示
您的信息不完整,为了账户安全,请先补充。
现在去补充
×
提示
您因"违规操作"
具体请查看互助需知
我知道了
×
提示
确定
请完成安全验证×
copy
已复制链接
快去分享给好友吧!
我知道了
右上角分享
点击右上角分享
0
联系我们:info@booksci.cn Book学术提供免费学术资源搜索服务,方便国内外学者检索中英文文献。致力于提供最便捷和优质的服务体验。 Copyright © 2023 布克学术 All rights reserved.
京ICP备2023020795号-1
ghs 京公网安备 11010802042870号
Book学术文献互助
Book学术文献互助群
群 号:604180095
Book学术官方微信