丙戊酸钠在雄性和雌性大鼠中不同实验范式下的抗焦虑和镇静作用。

IF 2 Q3 NEUROSCIENCES
Neuropsychopharmacology Reports Pub Date : 2024-12-01 Epub Date: 2024-09-13 DOI:10.1002/npr2.12483
María de Los Ángeles Cintado, Luis Gonzalo De la Casa, Gabriel González
{"title":"丙戊酸钠在雄性和雌性大鼠中不同实验范式下的抗焦虑和镇静作用。","authors":"María de Los Ángeles Cintado, Luis Gonzalo De la Casa, Gabriel González","doi":"10.1002/npr2.12483","DOIUrl":null,"url":null,"abstract":"<p><p>Valproic acid or sodium valproate is a widely used drug in the treatment of epilepsy, although it also appears to have anxiolytic and sedative properties derived from its agonistic action on the GABAergic system. To analyze these potential effects of the drug, we conducted three experiments with rats using procedures designed to assess anxiety in rodents. In the first experiment, with a fear conditioning procedure, three groups of male rats were included that received either 100 mg/kg or 300 mg/kg of valproate or an equivalent volume of saline solution. In Experiment 2, recording spontaneous activity in an open field, we compared the effects of valproic acid (300 mg/kg) on male and female rats. In the third experiment, we analyzed the effect of valproic acid using a novelty-induced hypophagia test and tested again for potential differences as a function of the sex of the animals. The results showed an anxiolytic effect restricted to the 300 mg/kg dose of the drug in Experiment 1. Such an effect was restricted to the female sample in Experiment 2, but in the third experiment affected both sexes. As for the sedative effect, it was observed in all experiments irrespective of the sex of the rats. These findings hold significant implications for the treatment of anxiety disorders since valproate may offer a novel therapeutic approach for anxiety-related conditions with distinct benefits and fewer side effects. However, clinical studies are needed to validate the translation of these findings from animal models to human patients.</p>","PeriodicalId":19137,"journal":{"name":"Neuropsychopharmacology Reports","volume":" ","pages":"737-748"},"PeriodicalIF":2.0000,"publicationDate":"2024-12-01","publicationTypes":"Journal Article","fieldsOfStudy":null,"isOpenAccess":false,"openAccessPdf":"https://www.ncbi.nlm.nih.gov/pmc/articles/PMC11609752/pdf/","citationCount":"0","resultStr":"{\"title\":\"Anxiolytic and sedative effects of sodium valproate with different experimental paradigms in male and female rats.\",\"authors\":\"María de Los Ángeles Cintado, Luis Gonzalo De la Casa, Gabriel González\",\"doi\":\"10.1002/npr2.12483\",\"DOIUrl\":null,\"url\":null,\"abstract\":\"<p><p>Valproic acid or sodium valproate is a widely used drug in the treatment of epilepsy, although it also appears to have anxiolytic and sedative properties derived from its agonistic action on the GABAergic system. To analyze these potential effects of the drug, we conducted three experiments with rats using procedures designed to assess anxiety in rodents. In the first experiment, with a fear conditioning procedure, three groups of male rats were included that received either 100 mg/kg or 300 mg/kg of valproate or an equivalent volume of saline solution. In Experiment 2, recording spontaneous activity in an open field, we compared the effects of valproic acid (300 mg/kg) on male and female rats. In the third experiment, we analyzed the effect of valproic acid using a novelty-induced hypophagia test and tested again for potential differences as a function of the sex of the animals. The results showed an anxiolytic effect restricted to the 300 mg/kg dose of the drug in Experiment 1. Such an effect was restricted to the female sample in Experiment 2, but in the third experiment affected both sexes. As for the sedative effect, it was observed in all experiments irrespective of the sex of the rats. These findings hold significant implications for the treatment of anxiety disorders since valproate may offer a novel therapeutic approach for anxiety-related conditions with distinct benefits and fewer side effects. However, clinical studies are needed to validate the translation of these findings from animal models to human patients.</p>\",\"PeriodicalId\":19137,\"journal\":{\"name\":\"Neuropsychopharmacology Reports\",\"volume\":\" \",\"pages\":\"737-748\"},\"PeriodicalIF\":2.0000,\"publicationDate\":\"2024-12-01\",\"publicationTypes\":\"Journal Article\",\"fieldsOfStudy\":null,\"isOpenAccess\":false,\"openAccessPdf\":\"https://www.ncbi.nlm.nih.gov/pmc/articles/PMC11609752/pdf/\",\"citationCount\":\"0\",\"resultStr\":null,\"platform\":\"Semanticscholar\",\"paperid\":null,\"PeriodicalName\":\"Neuropsychopharmacology Reports\",\"FirstCategoryId\":\"1085\",\"ListUrlMain\":\"https://doi.org/10.1002/npr2.12483\",\"RegionNum\":0,\"RegionCategory\":null,\"ArticlePicture\":[],\"TitleCN\":null,\"AbstractTextCN\":null,\"PMCID\":null,\"EPubDate\":\"2024/9/13 0:00:00\",\"PubModel\":\"Epub\",\"JCR\":\"Q3\",\"JCRName\":\"NEUROSCIENCES\",\"Score\":null,\"Total\":0}","platform":"Semanticscholar","paperid":null,"PeriodicalName":"Neuropsychopharmacology Reports","FirstCategoryId":"1085","ListUrlMain":"https://doi.org/10.1002/npr2.12483","RegionNum":0,"RegionCategory":null,"ArticlePicture":[],"TitleCN":null,"AbstractTextCN":null,"PMCID":null,"EPubDate":"2024/9/13 0:00:00","PubModel":"Epub","JCR":"Q3","JCRName":"NEUROSCIENCES","Score":null,"Total":0}
引用次数: 0

摘要

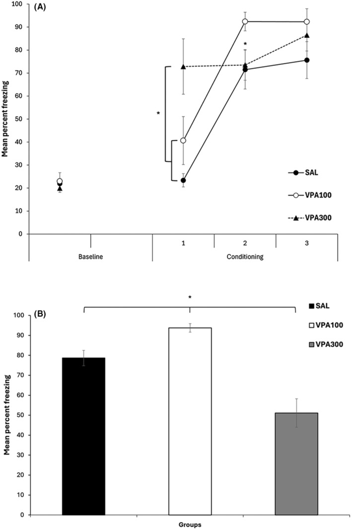
丙戊酸或丙戊酸钠是一种广泛用于治疗癫痫的药物,但它似乎也具有抗焦虑和镇静的特性,这源于它对 GABA 能系统的激动作用。为了分析该药物的这些潜在作用,我们用大鼠进行了三次实验,实验过程旨在评估啮齿类动物的焦虑程度。第一项实验采用恐惧条件反射程序,三组雄性大鼠分别接受了 100 毫克/千克或 300 毫克/千克的丙戊酸钠或等量的生理盐水。在实验二中,我们记录了雄性大鼠和雌性大鼠在开放场地中的自发活动,并比较了丙戊酸(300 毫克/千克)对雄性大鼠和雌性大鼠的影响。在第三项实验中,我们使用新奇感诱发的食欲减退试验分析了丙戊酸的作用,并再次测试了动物性别的潜在差异。结果显示,实验 1 中的抗焦虑作用仅限于 300 毫克/千克剂量的药物。在实验 2 中,这种效应仅限于雌性样本,但在第三项实验中,雌雄动物均受到影响。至于镇静作用,在所有实验中都能观察到,与大鼠的性别无关。这些发现对焦虑症的治疗具有重要意义,因为丙戊酸钠可能为焦虑症相关疾病提供一种新的治疗方法,具有明显的益处和较少的副作用。然而,要将这些发现从动物模型转化到人类患者身上,还需要进行临床研究来验证。
本文章由计算机程序翻译,如有差异,请以英文原文为准。

Anxiolytic and sedative effects of sodium valproate with different experimental paradigms in male and female rats.

Anxiolytic and sedative effects of sodium valproate with different experimental paradigms in male and female rats.

Anxiolytic and sedative effects of sodium valproate with different experimental paradigms in male and female rats.

Anxiolytic and sedative effects of sodium valproate with different experimental paradigms in male and female rats.

Valproic acid or sodium valproate is a widely used drug in the treatment of epilepsy, although it also appears to have anxiolytic and sedative properties derived from its agonistic action on the GABAergic system. To analyze these potential effects of the drug, we conducted three experiments with rats using procedures designed to assess anxiety in rodents. In the first experiment, with a fear conditioning procedure, three groups of male rats were included that received either 100 mg/kg or 300 mg/kg of valproate or an equivalent volume of saline solution. In Experiment 2, recording spontaneous activity in an open field, we compared the effects of valproic acid (300 mg/kg) on male and female rats. In the third experiment, we analyzed the effect of valproic acid using a novelty-induced hypophagia test and tested again for potential differences as a function of the sex of the animals. The results showed an anxiolytic effect restricted to the 300 mg/kg dose of the drug in Experiment 1. Such an effect was restricted to the female sample in Experiment 2, but in the third experiment affected both sexes. As for the sedative effect, it was observed in all experiments irrespective of the sex of the rats. These findings hold significant implications for the treatment of anxiety disorders since valproate may offer a novel therapeutic approach for anxiety-related conditions with distinct benefits and fewer side effects. However, clinical studies are needed to validate the translation of these findings from animal models to human patients.

求助全文
通过发布文献求助,成功后即可免费获取论文全文。 去求助
来源期刊
Neuropsychopharmacology Reports
Neuropsychopharmacology Reports Psychology-Clinical Psychology
CiteScore
3.60
自引率
4.00%
发文量
75
审稿时长
14 weeks
×
引用
GB/T 7714-2015
复制
MLA
复制
APA
复制
导出至
BibTeX EndNote RefMan NoteFirst NoteExpress
×
提示
您的信息不完整,为了账户安全,请先补充。
现在去补充
×
提示
您因"违规操作"
具体请查看互助需知
我知道了
×
提示
确定
请完成安全验证×
copy
已复制链接
快去分享给好友吧!
我知道了
右上角分享
点击右上角分享
0
联系我们:info@booksci.cn Book学术提供免费学术资源搜索服务,方便国内外学者检索中英文文献。致力于提供最便捷和优质的服务体验。 Copyright © 2023 布克学术 All rights reserved.
京ICP备2023020795号-1
ghs 京公网安备 11010802042870号
Book学术文献互助
Book学术文献互助群
群 号:604180095
Book学术官方微信