识别急诊科处置决定中存在显著种族-性别差异的患者亚群。

IF 2.5 Q2 HEALTH CARE SCIENCES & SERVICES
Health Services Insights Pub Date : 2024-09-05 eCollection Date: 2024-01-01 DOI:10.1177/11786329241277724
Peter Lin, Nilay T Argon, Qian Cheng, Christopher S Evans, Benjamin Linthicum, Yufeng Liu, Abhishek Mehrotra, Laura Murphy, Mehul D Patel, Serhan Ziya
{"title":"识别急诊科处置决定中存在显著种族-性别差异的患者亚群。","authors":"Peter Lin, Nilay T Argon, Qian Cheng, Christopher S Evans, Benjamin Linthicum, Yufeng Liu, Abhishek Mehrotra, Laura Murphy, Mehul D Patel, Serhan Ziya","doi":"10.1177/11786329241277724","DOIUrl":null,"url":null,"abstract":"<p><strong>Background/objectives: </strong>The race-sex differences in emergency department (ED) disposition decisions have been reported widely. Our objective is to identify demographic and clinical subgroups for which this difference is most pronounced, which will facilitate future targeted research on potential disparities and interventions.</p><p><strong>Methods: </strong>We performed a retrospective analysis of 93 987 White and African-American adults assigned an Emergency Severity Index of 3 at 3 large EDs from January 2019 to February 2020. Using random forests, we identified the Elixhauser comorbidity score, age, and insurance status as important variables to divide data into subpopulations. Logistic regression models were then fitted to test race-sex differences within each subpopulation while controlling for other patient characteristics and ED conditions.</p><p><strong>Results: </strong>In each subpopulation, African-American women were less likely to be admitted than White men with odds ratios as low as 0.304 (95% confidence interval (CI): [0.229, 0.404]). African-American men had smaller admission odds compared to White men in subpopulations of 41+ years of age or with very low/high Elixhauser scores, odds ratios being as low as 0.652 (CI: [0.590, 0.747]). White women were less likely to be admitted than White men in subpopulations of 18 to 40 or 41 to 64 years of age, with low Elixhauser scores, or with Self-Pay or Medicaid insurance status with odds ratios as low as 0.574 (CI: [0.421, 0.784]).</p><p><strong>Conclusions: </strong>While differences in likelihood of admission were lessened by younger age for African-American men, and by older age, higher Elixhauser score, and Medicare or Commercial insurance for White women, they persisted in all subgroups for African-American women. In general, patients of age 64 years or younger, with low comorbidity scores, or with Medicaid or no insurance appeared most prone to potential disparities in admissions.</p>","PeriodicalId":12876,"journal":{"name":"Health Services Insights","volume":"17 ","pages":"11786329241277724"},"PeriodicalIF":2.5000,"publicationDate":"2024-09-05","publicationTypes":"Journal Article","fieldsOfStudy":null,"isOpenAccess":false,"openAccessPdf":"https://www.ncbi.nlm.nih.gov/pmc/articles/PMC11378179/pdf/","citationCount":"0","resultStr":"{\"title\":\"Identifying Patient Subpopulations with Significant Race-Sex Differences in Emergency Department Disposition Decisions.\",\"authors\":\"Peter Lin, Nilay T Argon, Qian Cheng, Christopher S Evans, Benjamin Linthicum, Yufeng Liu, Abhishek Mehrotra, Laura Murphy, Mehul D Patel, Serhan Ziya\",\"doi\":\"10.1177/11786329241277724\",\"DOIUrl\":null,\"url\":null,\"abstract\":\"<p><strong>Background/objectives: </strong>The race-sex differences in emergency department (ED) disposition decisions have been reported widely. Our objective is to identify demographic and clinical subgroups for which this difference is most pronounced, which will facilitate future targeted research on potential disparities and interventions.</p><p><strong>Methods: </strong>We performed a retrospective analysis of 93 987 White and African-American adults assigned an Emergency Severity Index of 3 at 3 large EDs from January 2019 to February 2020. Using random forests, we identified the Elixhauser comorbidity score, age, and insurance status as important variables to divide data into subpopulations. Logistic regression models were then fitted to test race-sex differences within each subpopulation while controlling for other patient characteristics and ED conditions.</p><p><strong>Results: </strong>In each subpopulation, African-American women were less likely to be admitted than White men with odds ratios as low as 0.304 (95% confidence interval (CI): [0.229, 0.404]). African-American men had smaller admission odds compared to White men in subpopulations of 41+ years of age or with very low/high Elixhauser scores, odds ratios being as low as 0.652 (CI: [0.590, 0.747]). White women were less likely to be admitted than White men in subpopulations of 18 to 40 or 41 to 64 years of age, with low Elixhauser scores, or with Self-Pay or Medicaid insurance status with odds ratios as low as 0.574 (CI: [0.421, 0.784]).</p><p><strong>Conclusions: </strong>While differences in likelihood of admission were lessened by younger age for African-American men, and by older age, higher Elixhauser score, and Medicare or Commercial insurance for White women, they persisted in all subgroups for African-American women. In general, patients of age 64 years or younger, with low comorbidity scores, or with Medicaid or no insurance appeared most prone to potential disparities in admissions.</p>\",\"PeriodicalId\":12876,\"journal\":{\"name\":\"Health Services Insights\",\"volume\":\"17 \",\"pages\":\"11786329241277724\"},\"PeriodicalIF\":2.5000,\"publicationDate\":\"2024-09-05\",\"publicationTypes\":\"Journal Article\",\"fieldsOfStudy\":null,\"isOpenAccess\":false,\"openAccessPdf\":\"https://www.ncbi.nlm.nih.gov/pmc/articles/PMC11378179/pdf/\",\"citationCount\":\"0\",\"resultStr\":null,\"platform\":\"Semanticscholar\",\"paperid\":null,\"PeriodicalName\":\"Health Services Insights\",\"FirstCategoryId\":\"1085\",\"ListUrlMain\":\"https://doi.org/10.1177/11786329241277724\",\"RegionNum\":0,\"RegionCategory\":null,\"ArticlePicture\":[],\"TitleCN\":null,\"AbstractTextCN\":null,\"PMCID\":null,\"EPubDate\":\"2024/1/1 0:00:00\",\"PubModel\":\"eCollection\",\"JCR\":\"Q2\",\"JCRName\":\"HEALTH CARE SCIENCES & SERVICES\",\"Score\":null,\"Total\":0}","platform":"Semanticscholar","paperid":null,"PeriodicalName":"Health Services Insights","FirstCategoryId":"1085","ListUrlMain":"https://doi.org/10.1177/11786329241277724","RegionNum":0,"RegionCategory":null,"ArticlePicture":[],"TitleCN":null,"AbstractTextCN":null,"PMCID":null,"EPubDate":"2024/1/1 0:00:00","PubModel":"eCollection","JCR":"Q2","JCRName":"HEALTH CARE SCIENCES & SERVICES","Score":null,"Total":0}
引用次数: 0

摘要

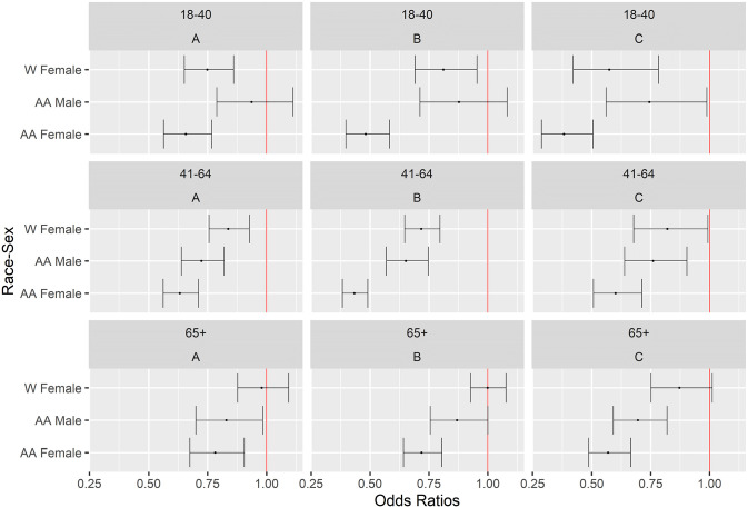
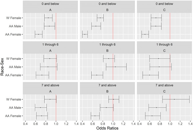
背景/目的:急诊科(ED)处置决定中的种族性别差异已被广泛报道。我们的目的是找出这种差异最明显的人口和临床亚群,这将有助于今后对潜在的差异和干预措施进行有针对性的研究:我们对 2019 年 1 月至 2020 年 2 月期间在 3 家大型急诊室分配到急诊严重程度指数为 3 的 93 987 名白人和非裔美国成年人进行了回顾性分析。利用随机森林,我们确定了埃利克豪斯(Elixhauser)合并症评分、年龄和保险状况作为将数据划分为亚人群的重要变量。然后,在控制其他患者特征和急诊室条件的情况下,我们拟合了逻辑回归模型,以检验每个亚人群中的种族-性别差异:结果:在每个亚人群中,非裔美国女性入院的几率低于白人男性,几率比低至 0.304(95% 置信区间 (CI):[0.229, 0.404])。在 41 岁以上或 Elixhauser 评分极低/极高的亚人群中,非裔美国男性的入院几率小于白人男性,几率比低至 0.652(CI:[0.590, 0.747])。在年龄介于 18 至 40 岁或 41 至 64 岁、Elixhauser 分数较低、具有自费或医疗补助保险身份的亚人群中,白人女性比白人男性的入院几率更低,几率比低至 0.574(CI:[0.421, 0.784]):非裔美国男性入院可能性的差异因年龄较小而缩小,白人女性入院可能性的差异因年龄较大、Elixhauser 评分较高以及医疗保险或商业保险而缩小,但非裔美国女性入院可能性的差异在所有亚组中都持续存在。一般来说,64 岁或以下、合并症评分较低、有医疗补助或无保险的患者最容易出现潜在的入院差异。
本文章由计算机程序翻译,如有差异,请以英文原文为准。

Identifying Patient Subpopulations with Significant Race-Sex Differences in Emergency Department Disposition Decisions.

Identifying Patient Subpopulations with Significant Race-Sex Differences in Emergency Department Disposition Decisions.

Identifying Patient Subpopulations with Significant Race-Sex Differences in Emergency Department Disposition Decisions.

Identifying Patient Subpopulations with Significant Race-Sex Differences in Emergency Department Disposition Decisions.

Background/objectives: The race-sex differences in emergency department (ED) disposition decisions have been reported widely. Our objective is to identify demographic and clinical subgroups for which this difference is most pronounced, which will facilitate future targeted research on potential disparities and interventions.

Methods: We performed a retrospective analysis of 93 987 White and African-American adults assigned an Emergency Severity Index of 3 at 3 large EDs from January 2019 to February 2020. Using random forests, we identified the Elixhauser comorbidity score, age, and insurance status as important variables to divide data into subpopulations. Logistic regression models were then fitted to test race-sex differences within each subpopulation while controlling for other patient characteristics and ED conditions.

Results: In each subpopulation, African-American women were less likely to be admitted than White men with odds ratios as low as 0.304 (95% confidence interval (CI): [0.229, 0.404]). African-American men had smaller admission odds compared to White men in subpopulations of 41+ years of age or with very low/high Elixhauser scores, odds ratios being as low as 0.652 (CI: [0.590, 0.747]). White women were less likely to be admitted than White men in subpopulations of 18 to 40 or 41 to 64 years of age, with low Elixhauser scores, or with Self-Pay or Medicaid insurance status with odds ratios as low as 0.574 (CI: [0.421, 0.784]).

Conclusions: While differences in likelihood of admission were lessened by younger age for African-American men, and by older age, higher Elixhauser score, and Medicare or Commercial insurance for White women, they persisted in all subgroups for African-American women. In general, patients of age 64 years or younger, with low comorbidity scores, or with Medicaid or no insurance appeared most prone to potential disparities in admissions.

求助全文
通过发布文献求助,成功后即可免费获取论文全文。 去求助
来源期刊
Health Services Insights
Health Services Insights HEALTH CARE SCIENCES & SERVICES-
CiteScore
3.60
自引率
0.00%
发文量
47
审稿时长
8 weeks
×
引用
GB/T 7714-2015
复制
MLA
复制
APA
复制
导出至
BibTeX EndNote RefMan NoteFirst NoteExpress
×
提示
您的信息不完整,为了账户安全,请先补充。
现在去补充
×
提示
您因"违规操作"
具体请查看互助需知
我知道了
×
提示
确定
请完成安全验证×
copy
已复制链接
快去分享给好友吧!
我知道了
右上角分享
点击右上角分享
0
联系我们:info@booksci.cn Book学术提供免费学术资源搜索服务,方便国内外学者检索中英文文献。致力于提供最便捷和优质的服务体验。 Copyright © 2023 布克学术 All rights reserved.
京ICP备2023020795号-1
ghs 京公网安备 11010802042870号
Book学术文献互助
Book学术文献互助群
群 号:604180095
Book学术官方微信