储存时间和反复冻融对禽类血清淀粉样蛋白 A 稳定性影响的初步研究

IF 1.7 2区 农林科学 Q2 VETERINARY SCIENCES
Haerin Rhim, Chaeyoung Kwag, Jae-Ik Han
{"title":"储存时间和反复冻融对禽类血清淀粉样蛋白 A 稳定性影响的初步研究","authors":"Haerin Rhim, Chaeyoung Kwag, Jae-Ik Han","doi":"10.1186/s13028-024-00764-8","DOIUrl":null,"url":null,"abstract":"<p><p>Within the field of clinical research, reports on the stability of avian serum amyloid A (SAA) under varying storage conditions are currently scarce. In this study, avian plasma samples were evaluated for SAA, a major acute-phase protein in birds, to assess how varying storage periods and repeated freeze-thaw cycles impact the stability of SAA in the frozen samples. Seven plasma samples from two species and six plasma samples from three species stored at ‒20 °C were used to evaluate the time and temperature effects accordingly. A chicken-specific SAA ELISA kit was used for the measurements. Statistical analysis was performed using SPSS, and the Kruskal-Wallis test and Spearman's correlation coefficient were applied, with statistical significance set at P < 0.05. The SAA concentrations measured daily for 30 days showed no statistically significant differences over time. Freezing-thawing was repeated five times, and a significant negative relationship was confirmed over the cycles (r=‒0.8857, P < 0.05). Although no significance was observed between a decreased concentration and the number of cycles, a decrease in the concentration of > 10% was observed after the fourth cycle in four out of six samples. However, one to three freeze-thaw cycles did not result in a significant decline. Taken together, the results indicate that a negative correlation existed between the mean concentration and multiple freeze-thaw cycles, indicating that these should be avoided where possible.</p>","PeriodicalId":7181,"journal":{"name":"Acta Veterinaria Scandinavica","volume":"66 1","pages":"42"},"PeriodicalIF":1.7000,"publicationDate":"2024-09-02","publicationTypes":"Journal Article","fieldsOfStudy":null,"isOpenAccess":false,"openAccessPdf":"https://www.ncbi.nlm.nih.gov/pmc/articles/PMC11367771/pdf/","citationCount":"0","resultStr":"{\"title\":\"A preliminary study on effects of storage time and repeated freezing-thawing on the stability of avian serum amyloid A.\",\"authors\":\"Haerin Rhim, Chaeyoung Kwag, Jae-Ik Han\",\"doi\":\"10.1186/s13028-024-00764-8\",\"DOIUrl\":null,\"url\":null,\"abstract\":\"<p><p>Within the field of clinical research, reports on the stability of avian serum amyloid A (SAA) under varying storage conditions are currently scarce. In this study, avian plasma samples were evaluated for SAA, a major acute-phase protein in birds, to assess how varying storage periods and repeated freeze-thaw cycles impact the stability of SAA in the frozen samples. Seven plasma samples from two species and six plasma samples from three species stored at ‒20 °C were used to evaluate the time and temperature effects accordingly. A chicken-specific SAA ELISA kit was used for the measurements. Statistical analysis was performed using SPSS, and the Kruskal-Wallis test and Spearman's correlation coefficient were applied, with statistical significance set at P < 0.05. The SAA concentrations measured daily for 30 days showed no statistically significant differences over time. Freezing-thawing was repeated five times, and a significant negative relationship was confirmed over the cycles (r=‒0.8857, P < 0.05). Although no significance was observed between a decreased concentration and the number of cycles, a decrease in the concentration of > 10% was observed after the fourth cycle in four out of six samples. However, one to three freeze-thaw cycles did not result in a significant decline. Taken together, the results indicate that a negative correlation existed between the mean concentration and multiple freeze-thaw cycles, indicating that these should be avoided where possible.</p>\",\"PeriodicalId\":7181,\"journal\":{\"name\":\"Acta Veterinaria Scandinavica\",\"volume\":\"66 1\",\"pages\":\"42\"},\"PeriodicalIF\":1.7000,\"publicationDate\":\"2024-09-02\",\"publicationTypes\":\"Journal Article\",\"fieldsOfStudy\":null,\"isOpenAccess\":false,\"openAccessPdf\":\"https://www.ncbi.nlm.nih.gov/pmc/articles/PMC11367771/pdf/\",\"citationCount\":\"0\",\"resultStr\":null,\"platform\":\"Semanticscholar\",\"paperid\":null,\"PeriodicalName\":\"Acta Veterinaria Scandinavica\",\"FirstCategoryId\":\"97\",\"ListUrlMain\":\"https://doi.org/10.1186/s13028-024-00764-8\",\"RegionNum\":2,\"RegionCategory\":\"农林科学\",\"ArticlePicture\":[],\"TitleCN\":null,\"AbstractTextCN\":null,\"PMCID\":null,\"EPubDate\":\"\",\"PubModel\":\"\",\"JCR\":\"Q2\",\"JCRName\":\"VETERINARY SCIENCES\",\"Score\":null,\"Total\":0}","platform":"Semanticscholar","paperid":null,"PeriodicalName":"Acta Veterinaria Scandinavica","FirstCategoryId":"97","ListUrlMain":"https://doi.org/10.1186/s13028-024-00764-8","RegionNum":2,"RegionCategory":"农林科学","ArticlePicture":[],"TitleCN":null,"AbstractTextCN":null,"PMCID":null,"EPubDate":"","PubModel":"","JCR":"Q2","JCRName":"VETERINARY SCIENCES","Score":null,"Total":0}
引用次数: 0

摘要

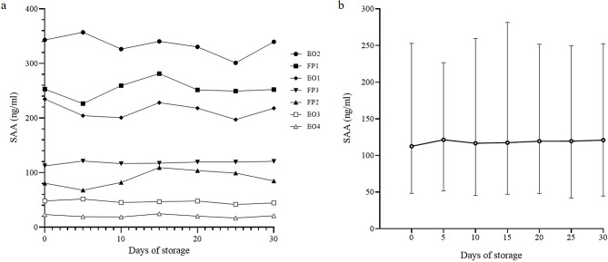
在临床研究领域,有关禽类血清淀粉样蛋白 A(SAA)在不同储存条件下稳定性的报告目前还很少。本研究对鸟类血浆样本中的 SAA(鸟类的一种主要急性期蛋白)进行了评估,以评估不同的储存期和反复冻融循环对冷冻样本中 SAA 的稳定性有何影响。在-20 °C下保存的两个物种的七个血浆样本和三个物种的六个血浆样本被用来评估时间和温度的影响。测量使用了鸡特异性 SAA 酶联免疫吸附试剂盒。使用 SPSS 进行统计分析,采用 Kruskal-Wallis 检验和 Spearman 相关系数,统计显著性设定为 P 10%。然而,一至三个冻融周期并没有导致显著下降。综上所述,结果表明平均浓度与多次冻融循环之间存在负相关,这表明应尽可能避免冻融循环。
本文章由计算机程序翻译,如有差异,请以英文原文为准。

A preliminary study on effects of storage time and repeated freezing-thawing on the stability of avian serum amyloid A.

A preliminary study on effects of storage time and repeated freezing-thawing on the stability of avian serum amyloid A.

A preliminary study on effects of storage time and repeated freezing-thawing on the stability of avian serum amyloid A.

Within the field of clinical research, reports on the stability of avian serum amyloid A (SAA) under varying storage conditions are currently scarce. In this study, avian plasma samples were evaluated for SAA, a major acute-phase protein in birds, to assess how varying storage periods and repeated freeze-thaw cycles impact the stability of SAA in the frozen samples. Seven plasma samples from two species and six plasma samples from three species stored at ‒20 °C were used to evaluate the time and temperature effects accordingly. A chicken-specific SAA ELISA kit was used for the measurements. Statistical analysis was performed using SPSS, and the Kruskal-Wallis test and Spearman's correlation coefficient were applied, with statistical significance set at P < 0.05. The SAA concentrations measured daily for 30 days showed no statistically significant differences over time. Freezing-thawing was repeated five times, and a significant negative relationship was confirmed over the cycles (r=‒0.8857, P < 0.05). Although no significance was observed between a decreased concentration and the number of cycles, a decrease in the concentration of > 10% was observed after the fourth cycle in four out of six samples. However, one to three freeze-thaw cycles did not result in a significant decline. Taken together, the results indicate that a negative correlation existed between the mean concentration and multiple freeze-thaw cycles, indicating that these should be avoided where possible.

求助全文
通过发布文献求助,成功后即可免费获取论文全文。 去求助
来源期刊
Acta Veterinaria Scandinavica
Acta Veterinaria Scandinavica 农林科学-兽医学
CiteScore
3.60
自引率
0.00%
发文量
28
审稿时长
18-36 weeks
期刊介绍: Acta Veterinaria Scandinavica is an open access journal encompassing all aspects of veterinary research and medicine of domestic and wild animals.
×
引用
GB/T 7714-2015
复制
MLA
复制
APA
复制
导出至
BibTeX EndNote RefMan NoteFirst NoteExpress
×
提示
您的信息不完整,为了账户安全,请先补充。
现在去补充
×
提示
您因"违规操作"
具体请查看互助需知
我知道了
×
提示
确定
请完成安全验证×
copy
已复制链接
快去分享给好友吧!
我知道了
右上角分享
点击右上角分享
0
联系我们:info@booksci.cn Book学术提供免费学术资源搜索服务,方便国内外学者检索中英文文献。致力于提供最便捷和优质的服务体验。 Copyright © 2023 布克学术 All rights reserved.
京ICP备2023020795号-1
ghs 京公网安备 11010802042870号
Book学术文献互助
Book学术文献互助群
群 号:604180095
Book学术官方微信