[对患有帕金森病的西班牙语患者进行眼下核深部脑刺激治疗后的元音发音和语音可懂度]。

IF 0.8 4区 医学 Q4 CLINICAL NEUROLOGY
N Castillo-Triana, M Camargo-Mendoza
{"title":"[对患有帕金森病的西班牙语患者进行眼下核深部脑刺激治疗后的元音发音和语音可懂度]。","authors":"N Castillo-Triana, M Camargo-Mendoza","doi":"10.33588/rn.7905.2024108","DOIUrl":null,"url":null,"abstract":"<p><strong>Introduction: </strong>Parkinson's disease (PD) can affect the intelligibility of speech. Although studies of vowel production are useful for measuring this impairment, they do not exist in Spanish speakers with the disease who have been treated with subthalamic nucleus deep brain stimulation (STN-DBS). STN-DBS is an effective treatment for the classic signs of PD, but with varied effects on speech.</p><p><strong>Patients and methods: </strong>Data from two individuals with PD treated with STN-DBS were studied: one (P1) had impairment and the other (P2) had stable speech intelligibility after STN-DBS implantation. The triangular vowel space area (tVSA) and the vowel articulation index (VAI) were measured and compared before the implantation surgery, and at three, six and nine months after surgery. These measurements were compared with measurements of speech intelligibility (percentage of words correctly identified and degree of intelligibility).</p><p><strong>Results: </strong>Both participants presented variations in measurements of vowel articulation after surgery. In P1, the reduction in the tVSA, but not the post-surgical change in the VAI, was consistent with reduced speech intelligibility. However, in P2, both measurements (tVSA and VAI) reflected stable speech intelligibility after surgery.</p><p><strong>Conclusions: </strong>Reduced speech intelligibility in Spanish speakers with PD after STN-DBS implantation may be reflected in a reduced tVSA.</p>","PeriodicalId":21281,"journal":{"name":"Revista de neurologia","volume":"79 5","pages":"121-127"},"PeriodicalIF":0.8000,"publicationDate":"2024-09-29","publicationTypes":"Journal Article","fieldsOfStudy":null,"isOpenAccess":false,"openAccessPdf":"https://www.ncbi.nlm.nih.gov/pmc/articles/PMC11469106/pdf/","citationCount":"0","resultStr":"{\"title\":\"[Vowel articulation and intelligibility of speech in Spanish speakers with Parkinson's disease treated with deep brain stimulation of the subthalamic nucleus].\",\"authors\":\"N Castillo-Triana, M Camargo-Mendoza\",\"doi\":\"10.33588/rn.7905.2024108\",\"DOIUrl\":null,\"url\":null,\"abstract\":\"<p><strong>Introduction: </strong>Parkinson's disease (PD) can affect the intelligibility of speech. Although studies of vowel production are useful for measuring this impairment, they do not exist in Spanish speakers with the disease who have been treated with subthalamic nucleus deep brain stimulation (STN-DBS). STN-DBS is an effective treatment for the classic signs of PD, but with varied effects on speech.</p><p><strong>Patients and methods: </strong>Data from two individuals with PD treated with STN-DBS were studied: one (P1) had impairment and the other (P2) had stable speech intelligibility after STN-DBS implantation. The triangular vowel space area (tVSA) and the vowel articulation index (VAI) were measured and compared before the implantation surgery, and at three, six and nine months after surgery. These measurements were compared with measurements of speech intelligibility (percentage of words correctly identified and degree of intelligibility).</p><p><strong>Results: </strong>Both participants presented variations in measurements of vowel articulation after surgery. In P1, the reduction in the tVSA, but not the post-surgical change in the VAI, was consistent with reduced speech intelligibility. However, in P2, both measurements (tVSA and VAI) reflected stable speech intelligibility after surgery.</p><p><strong>Conclusions: </strong>Reduced speech intelligibility in Spanish speakers with PD after STN-DBS implantation may be reflected in a reduced tVSA.</p>\",\"PeriodicalId\":21281,\"journal\":{\"name\":\"Revista de neurologia\",\"volume\":\"79 5\",\"pages\":\"121-127\"},\"PeriodicalIF\":0.8000,\"publicationDate\":\"2024-09-29\",\"publicationTypes\":\"Journal Article\",\"fieldsOfStudy\":null,\"isOpenAccess\":false,\"openAccessPdf\":\"https://www.ncbi.nlm.nih.gov/pmc/articles/PMC11469106/pdf/\",\"citationCount\":\"0\",\"resultStr\":null,\"platform\":\"Semanticscholar\",\"paperid\":null,\"PeriodicalName\":\"Revista de neurologia\",\"FirstCategoryId\":\"3\",\"ListUrlMain\":\"https://doi.org/10.33588/rn.7905.2024108\",\"RegionNum\":4,\"RegionCategory\":\"医学\",\"ArticlePicture\":[],\"TitleCN\":null,\"AbstractTextCN\":null,\"PMCID\":null,\"EPubDate\":\"\",\"PubModel\":\"\",\"JCR\":\"Q4\",\"JCRName\":\"CLINICAL NEUROLOGY\",\"Score\":null,\"Total\":0}","platform":"Semanticscholar","paperid":null,"PeriodicalName":"Revista de neurologia","FirstCategoryId":"3","ListUrlMain":"https://doi.org/10.33588/rn.7905.2024108","RegionNum":4,"RegionCategory":"医学","ArticlePicture":[],"TitleCN":null,"AbstractTextCN":null,"PMCID":null,"EPubDate":"","PubModel":"","JCR":"Q4","JCRName":"CLINICAL NEUROLOGY","Score":null,"Total":0}
引用次数: 0

摘要

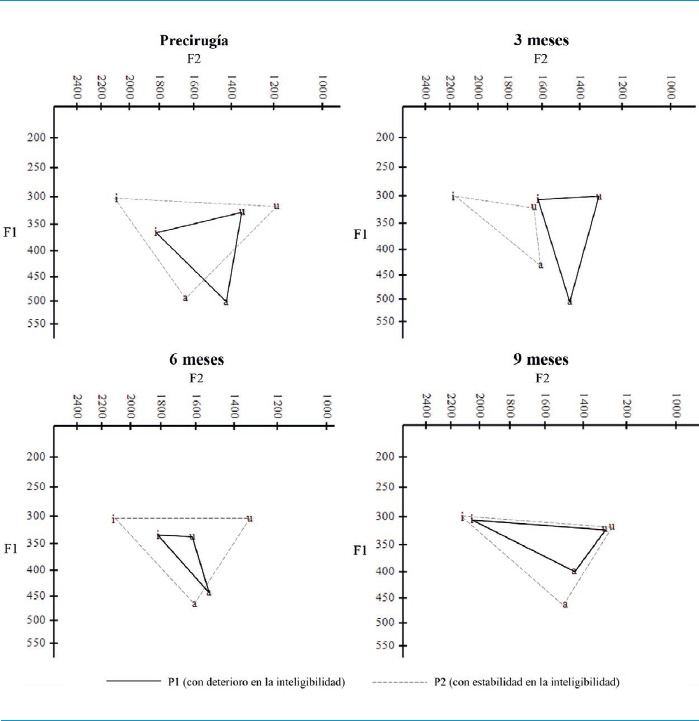
简介帕金森病(PD)会影响语言的清晰度。虽然元音发音的研究有助于测量这种障碍,但对于接受了丘脑下核深部脑刺激(STN-DBS)治疗的西班牙语患者来说,这种研究并不存在。STN-DBS 是治疗典型帕金森病症状的有效方法,但对言语的影响各不相同:研究了两名接受 STN-DBS 治疗的帕金森病患者的数据:其中一名患者(P1)在接受 STN-DBS 植入治疗后言语能力受损,另一名患者(P2)在接受 STN-DBS 植入治疗后言语能力稳定。研究人员在植入手术前、手术后 3 个月、6 个月和 9 个月测量并比较了三角形元音空间面积 (tVSA) 和元音发音指数 (VAI)。这些测量结果与语言清晰度(正确识别单词的百分比和清晰度)的测量结果进行了比较:结果:两名参与者术后的元音发音测量结果均有差异。在 P1 中,tVSA 的降低与言语清晰度的降低一致,但 VAI 在手术后的变化却不一致。然而,在 P2 中,两个测量值(tVSA 和 VAI)都反映了术后稳定的语音清晰度:结论:STN-DBS 植入术后,西班牙语帕金森病患者的言语理解能力下降可能反映在 tVSA 下降上。
本文章由计算机程序翻译,如有差异,请以英文原文为准。

[Vowel articulation and intelligibility of speech in Spanish speakers with Parkinson's disease treated with deep brain stimulation of the subthalamic nucleus].

[Vowel articulation and intelligibility of speech in Spanish speakers with Parkinson's disease treated with deep brain stimulation of the subthalamic nucleus].

[Vowel articulation and intelligibility of speech in Spanish speakers with Parkinson's disease treated with deep brain stimulation of the subthalamic nucleus].

Introduction: Parkinson's disease (PD) can affect the intelligibility of speech. Although studies of vowel production are useful for measuring this impairment, they do not exist in Spanish speakers with the disease who have been treated with subthalamic nucleus deep brain stimulation (STN-DBS). STN-DBS is an effective treatment for the classic signs of PD, but with varied effects on speech.

Patients and methods: Data from two individuals with PD treated with STN-DBS were studied: one (P1) had impairment and the other (P2) had stable speech intelligibility after STN-DBS implantation. The triangular vowel space area (tVSA) and the vowel articulation index (VAI) were measured and compared before the implantation surgery, and at three, six and nine months after surgery. These measurements were compared with measurements of speech intelligibility (percentage of words correctly identified and degree of intelligibility).

Results: Both participants presented variations in measurements of vowel articulation after surgery. In P1, the reduction in the tVSA, but not the post-surgical change in the VAI, was consistent with reduced speech intelligibility. However, in P2, both measurements (tVSA and VAI) reflected stable speech intelligibility after surgery.

Conclusions: Reduced speech intelligibility in Spanish speakers with PD after STN-DBS implantation may be reflected in a reduced tVSA.

求助全文
通过发布文献求助,成功后即可免费获取论文全文。 去求助
来源期刊
Revista de neurologia
Revista de neurologia 医学-临床神经学
CiteScore
2.50
自引率
8.30%
发文量
117
审稿时长
3-8 weeks
期刊介绍: Revista de Neurología fomenta y difunde el conocimiento generado en lengua española sobre neurociencia, tanto clínica como experimental.
×
引用
GB/T 7714-2015
复制
MLA
复制
APA
复制
导出至
BibTeX EndNote RefMan NoteFirst NoteExpress
×
提示
您的信息不完整,为了账户安全,请先补充。
现在去补充
×
提示
您因"违规操作"
具体请查看互助需知
我知道了
×
提示
确定
请完成安全验证×
copy
已复制链接
快去分享给好友吧!
我知道了
右上角分享
点击右上角分享
0
联系我们:info@booksci.cn Book学术提供免费学术资源搜索服务,方便国内外学者检索中英文文献。致力于提供最便捷和优质的服务体验。 Copyright © 2023 布克学术 All rights reserved.
京ICP备2023020795号-1
ghs 京公网安备 11010802042870号
Book学术文献互助
Book学术文献互助群
群 号:604180095
Book学术官方微信