使用美发产品与尿液中二苯甲酮-3 之间的关系:韩国全国环境健康调查 (KoNEHS) 第 4 周期。

IF 1.8 Q4 PUBLIC, ENVIRONMENTAL & OCCUPATIONAL HEALTH
Annals of Occupational and Environmental Medicine Pub Date : 2024-08-06 eCollection Date: 2024-01-01 DOI:10.35371/aoem.2024.36.e20
Siyoung Kim, Seong-Yong Cho, Seongyong Yoon, Daehwan Kim, Hyun Woo Park, Jisoo Kang, Sung Woo Huh
{"title":"使用美发产品与尿液中二苯甲酮-3 之间的关系:韩国全国环境健康调查 (KoNEHS) 第 4 周期。","authors":"Siyoung Kim, Seong-Yong Cho, Seongyong Yoon, Daehwan Kim, Hyun Woo Park, Jisoo Kang, Sung Woo Huh","doi":"10.35371/aoem.2024.36.e20","DOIUrl":null,"url":null,"abstract":"<p><strong>Background: </strong>Benzophenone-3 is a type of ketone with 2 benzene rings attached to a carbonyl group (C=O) and one benzene ring attached to a hydroxyl group (-OH). As an endocrine-disrupting chemical, benzophenone-3 is known to be associated with reproductive, developmental, thyroid, and endocrine toxicities. Benzophenone-3 is commonly used in hair products, cosmetics, and ultraviolet (UV) filters because of its characteristic property to absorb UV light. This study aims to investigate the association between the use of hair products and urine benzophenone-3 using the data from the Korean National Environmental Health Survey (KoNEHS) cycle 4 (2018-2020), which represents the Korean population.</p><p><strong>Methods: </strong>Using the KoNEHS cycle 4 survey, the data of 3,796 adults aged ≥ 19 years were analyzed. Based on the 75th percentile concentration of urine benzophenone-3, the participants were divided into the low- and high-concentration groups. Chi-square test was conducted to analyze the association of urine benzophenone-3 with distribution of general characteristics, use of personal care products, consumption of marine foods, and use of plastic products as the variable. Logistic regression analysis was conducted to calculate odds ratios (ORs) for the high-concentration group of urine benzophenone-3 based on the use of hair products.</p><p><strong>Results: </strong>Women with < 6 times or ≥ 6 times of hair product usage had significantly higher adjusted ORs compared to those who did not use hair products. The calculated ORs were 1.24 (95% confidence interval [CI]: 1.12-1.38) for women with < 6 times of usage and 1.54 (95% CI: 1.33-1.79) for women with ≥ 6 times of usage.</p><p><strong>Conclusions: </strong>This study revealed the association between the use of hair products and the concentration of urine benzophenone-3 in the general Korean population.</p>","PeriodicalId":46631,"journal":{"name":"Annals of Occupational and Environmental Medicine","volume":"36 ","pages":"e20"},"PeriodicalIF":1.8000,"publicationDate":"2024-08-06","publicationTypes":"Journal Article","fieldsOfStudy":null,"isOpenAccess":false,"openAccessPdf":"https://www.ncbi.nlm.nih.gov/pmc/articles/PMC11345219/pdf/","citationCount":"0","resultStr":"{\"title\":\"Relationship between the use of hair products and urine benzophenone-3: the Korean National Environmental Health Survey (KoNEHS) cycle 4.\",\"authors\":\"Siyoung Kim, Seong-Yong Cho, Seongyong Yoon, Daehwan Kim, Hyun Woo Park, Jisoo Kang, Sung Woo Huh\",\"doi\":\"10.35371/aoem.2024.36.e20\",\"DOIUrl\":null,\"url\":null,\"abstract\":\"<p><strong>Background: </strong>Benzophenone-3 is a type of ketone with 2 benzene rings attached to a carbonyl group (C=O) and one benzene ring attached to a hydroxyl group (-OH). As an endocrine-disrupting chemical, benzophenone-3 is known to be associated with reproductive, developmental, thyroid, and endocrine toxicities. Benzophenone-3 is commonly used in hair products, cosmetics, and ultraviolet (UV) filters because of its characteristic property to absorb UV light. This study aims to investigate the association between the use of hair products and urine benzophenone-3 using the data from the Korean National Environmental Health Survey (KoNEHS) cycle 4 (2018-2020), which represents the Korean population.</p><p><strong>Methods: </strong>Using the KoNEHS cycle 4 survey, the data of 3,796 adults aged ≥ 19 years were analyzed. Based on the 75th percentile concentration of urine benzophenone-3, the participants were divided into the low- and high-concentration groups. Chi-square test was conducted to analyze the association of urine benzophenone-3 with distribution of general characteristics, use of personal care products, consumption of marine foods, and use of plastic products as the variable. Logistic regression analysis was conducted to calculate odds ratios (ORs) for the high-concentration group of urine benzophenone-3 based on the use of hair products.</p><p><strong>Results: </strong>Women with < 6 times or ≥ 6 times of hair product usage had significantly higher adjusted ORs compared to those who did not use hair products. The calculated ORs were 1.24 (95% confidence interval [CI]: 1.12-1.38) for women with < 6 times of usage and 1.54 (95% CI: 1.33-1.79) for women with ≥ 6 times of usage.</p><p><strong>Conclusions: </strong>This study revealed the association between the use of hair products and the concentration of urine benzophenone-3 in the general Korean population.</p>\",\"PeriodicalId\":46631,\"journal\":{\"name\":\"Annals of Occupational and Environmental Medicine\",\"volume\":\"36 \",\"pages\":\"e20\"},\"PeriodicalIF\":1.8000,\"publicationDate\":\"2024-08-06\",\"publicationTypes\":\"Journal Article\",\"fieldsOfStudy\":null,\"isOpenAccess\":false,\"openAccessPdf\":\"https://www.ncbi.nlm.nih.gov/pmc/articles/PMC11345219/pdf/\",\"citationCount\":\"0\",\"resultStr\":null,\"platform\":\"Semanticscholar\",\"paperid\":null,\"PeriodicalName\":\"Annals of Occupational and Environmental Medicine\",\"FirstCategoryId\":\"1085\",\"ListUrlMain\":\"https://doi.org/10.35371/aoem.2024.36.e20\",\"RegionNum\":0,\"RegionCategory\":null,\"ArticlePicture\":[],\"TitleCN\":null,\"AbstractTextCN\":null,\"PMCID\":null,\"EPubDate\":\"2024/1/1 0:00:00\",\"PubModel\":\"eCollection\",\"JCR\":\"Q4\",\"JCRName\":\"PUBLIC, ENVIRONMENTAL & OCCUPATIONAL HEALTH\",\"Score\":null,\"Total\":0}","platform":"Semanticscholar","paperid":null,"PeriodicalName":"Annals of Occupational and Environmental Medicine","FirstCategoryId":"1085","ListUrlMain":"https://doi.org/10.35371/aoem.2024.36.e20","RegionNum":0,"RegionCategory":null,"ArticlePicture":[],"TitleCN":null,"AbstractTextCN":null,"PMCID":null,"EPubDate":"2024/1/1 0:00:00","PubModel":"eCollection","JCR":"Q4","JCRName":"PUBLIC, ENVIRONMENTAL & OCCUPATIONAL HEALTH","Score":null,"Total":0}
引用次数: 0

摘要

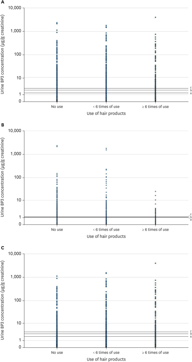
背景:二苯甲酮-3 是一种酮类化合物,其两个苯环上连接一个羰基(C=O),一个苯环上连接一个羟基(-OH)。作为一种干扰内分泌的化学物质,二苯甲酮-3 与生殖、发育、甲状腺和内分泌毒性有关。由于二苯甲酮-3具有吸收紫外线的特性,因此常用于美发产品、化妆品和紫外线(UV)过滤器。本研究旨在利用代表韩国人口的韩国全国环境健康调查(KoNEHS)第4周期(2018-2020年)的数据,调查发制品的使用与尿液中二苯甲酮-3之间的关联:方法:利用韩国全国环境健康调查(KoNEHS)第4周期的调查数据,分析了3796名年龄≥19岁的成年人的数据。根据尿液中二苯甲酮-3 浓度的第 75 百分位数,将参与者分为低浓度组和高浓度组。采用卡方检验分析尿液中二苯甲酮-3 与一般特征分布、个人护理产品使用情况、海洋食品消费情况和塑料制品使用情况之间的关系。根据头发产品的使用情况,进行逻辑回归分析,计算尿液中二苯甲酮-3高浓度组的几率比(ORs):结果:与不使用美发产品的女性相比,使用美发产品<6次或≥6次的女性调整后的OR值明显更高。使用次数<6次的女性的计算OR值为1.24(95%置信区间[CI]:1.12-1.38),使用次数≥6次的女性的计算OR值为1.54(95%置信区间[CI]:1.33-1.79):本研究揭示了韩国普通人群使用美发产品与尿液中二苯甲酮-3 浓度之间的关系。
本文章由计算机程序翻译,如有差异,请以英文原文为准。

Relationship between the use of hair products and urine benzophenone-3: the Korean National Environmental Health Survey (KoNEHS) cycle 4.

Relationship between the use of hair products and urine benzophenone-3: the Korean National Environmental Health Survey (KoNEHS) cycle 4.

Relationship between the use of hair products and urine benzophenone-3: the Korean National Environmental Health Survey (KoNEHS) cycle 4.

Relationship between the use of hair products and urine benzophenone-3: the Korean National Environmental Health Survey (KoNEHS) cycle 4.

Background: Benzophenone-3 is a type of ketone with 2 benzene rings attached to a carbonyl group (C=O) and one benzene ring attached to a hydroxyl group (-OH). As an endocrine-disrupting chemical, benzophenone-3 is known to be associated with reproductive, developmental, thyroid, and endocrine toxicities. Benzophenone-3 is commonly used in hair products, cosmetics, and ultraviolet (UV) filters because of its characteristic property to absorb UV light. This study aims to investigate the association between the use of hair products and urine benzophenone-3 using the data from the Korean National Environmental Health Survey (KoNEHS) cycle 4 (2018-2020), which represents the Korean population.

Methods: Using the KoNEHS cycle 4 survey, the data of 3,796 adults aged ≥ 19 years were analyzed. Based on the 75th percentile concentration of urine benzophenone-3, the participants were divided into the low- and high-concentration groups. Chi-square test was conducted to analyze the association of urine benzophenone-3 with distribution of general characteristics, use of personal care products, consumption of marine foods, and use of plastic products as the variable. Logistic regression analysis was conducted to calculate odds ratios (ORs) for the high-concentration group of urine benzophenone-3 based on the use of hair products.

Results: Women with < 6 times or ≥ 6 times of hair product usage had significantly higher adjusted ORs compared to those who did not use hair products. The calculated ORs were 1.24 (95% confidence interval [CI]: 1.12-1.38) for women with < 6 times of usage and 1.54 (95% CI: 1.33-1.79) for women with ≥ 6 times of usage.

Conclusions: This study revealed the association between the use of hair products and the concentration of urine benzophenone-3 in the general Korean population.

求助全文
通过发布文献求助,成功后即可免费获取论文全文。 去求助
来源期刊
Annals of Occupational and Environmental Medicine
Annals of Occupational and Environmental Medicine PUBLIC, ENVIRONMENTAL & OCCUPATIONAL HEALTH-
CiteScore
1.90
自引率
0.00%
发文量
25
审稿时长
16 weeks
期刊介绍: Annals of Occupational and Environmental Medicine (AOEM) is an open access journal that considers original contributions relevant to occupational and environmental medicine and related fields, in the form of original articles, review articles, short letters and case reports. AOEM is aimed at clinicians and researchers working in the wide-ranging discipline of occupational and environmental medicine. Topic areas focus on, but are not limited to, interactions between work and health, covering occupational and environmental epidemiology, toxicology, hygiene, diagnosis and treatment of diseases, management, organization and policy. As the official journal of the Korean Society of Occupational and Environmental Medicine (KSOEM), members and authors based in the Republic of Korea are entitled to a discounted article-processing charge when they publish in AOEM.
×
引用
GB/T 7714-2015
复制
MLA
复制
APA
复制
导出至
BibTeX EndNote RefMan NoteFirst NoteExpress
×
提示
您的信息不完整,为了账户安全,请先补充。
现在去补充
×
提示
您因"违规操作"
具体请查看互助需知
我知道了
×
提示
确定
请完成安全验证×
copy
已复制链接
快去分享给好友吧!
我知道了
右上角分享
点击右上角分享
0
联系我们:info@booksci.cn Book学术提供免费学术资源搜索服务,方便国内外学者检索中英文文献。致力于提供最便捷和优质的服务体验。 Copyright © 2023 布克学术 All rights reserved.
京ICP备2023020795号-1
ghs 京公网安备 11010802042870号
Book学术文献互助
Book学术文献互助群
群 号:604180095
Book学术官方微信