使用 SAFE-A 方案对血液透析前后患者进行超声检查的结果。

IF 2.9 Q2 Medicine
Matheus Rabahi, Maria Goretti Polito, Larissa Louise Cândida Pereira Takaoka, Marcus Barreto Conte, Philippe Figueiredo Braga Colares
{"title":"使用 SAFE-A 方案对血液透析前后患者进行超声检查的结果。","authors":"Matheus Rabahi, Maria Goretti Polito, Larissa Louise Cândida Pereira Takaoka, Marcus Barreto Conte, Philippe Figueiredo Braga Colares","doi":"10.1186/s13089-024-00390-5","DOIUrl":null,"url":null,"abstract":"<p><strong>Background: </strong>Accurate assessment of relative intravascular volume is one of the cornerstones for the proper management of hospitalized patients requiring hemodialysis. Currently, the use of dynamic parameters such as bedside ultrasonography is recommended to support the assessment of the intravascular volume profile. This study aimed to prospectively evaluate findings of sonographic assessment of intravascular volume estimate (SAFE-A) protocol among hemodialysis inpatients with end-stage renal disease, before and after the hemodialysis sessions, and correlate these findings with the net ultrafiltrate (UFNET).</p><p><strong>Results: </strong>A positive correlation was found between the negative variation of 1 point in the score of the SAFE-A protocol with the withdrawal of 426.73 mL of net ultrafiltrate.</p><p><strong>Conclusions: </strong>There was a strong correlation between the score of the SAFE-A protocol and the net ultrafiltrate. Therefore, this study concludes that the application of the SAFE-A protocol in dialysis patients demonstrates a correlation between the suggested score and volume status, consistent with findings from the original study conducted in a distinct population.</p>","PeriodicalId":36911,"journal":{"name":"Ultrasound Journal","volume":"16 1","pages":"41"},"PeriodicalIF":2.9000,"publicationDate":"2024-08-27","publicationTypes":"Journal Article","fieldsOfStudy":null,"isOpenAccess":false,"openAccessPdf":"https://www.ncbi.nlm.nih.gov/pmc/articles/PMC11349959/pdf/","citationCount":"0","resultStr":"{\"title\":\"Sonographic findings using the SAFE-A protocol in pre- and post-hemodialysis patients.\",\"authors\":\"Matheus Rabahi, Maria Goretti Polito, Larissa Louise Cândida Pereira Takaoka, Marcus Barreto Conte, Philippe Figueiredo Braga Colares\",\"doi\":\"10.1186/s13089-024-00390-5\",\"DOIUrl\":null,\"url\":null,\"abstract\":\"<p><strong>Background: </strong>Accurate assessment of relative intravascular volume is one of the cornerstones for the proper management of hospitalized patients requiring hemodialysis. Currently, the use of dynamic parameters such as bedside ultrasonography is recommended to support the assessment of the intravascular volume profile. This study aimed to prospectively evaluate findings of sonographic assessment of intravascular volume estimate (SAFE-A) protocol among hemodialysis inpatients with end-stage renal disease, before and after the hemodialysis sessions, and correlate these findings with the net ultrafiltrate (UFNET).</p><p><strong>Results: </strong>A positive correlation was found between the negative variation of 1 point in the score of the SAFE-A protocol with the withdrawal of 426.73 mL of net ultrafiltrate.</p><p><strong>Conclusions: </strong>There was a strong correlation between the score of the SAFE-A protocol and the net ultrafiltrate. Therefore, this study concludes that the application of the SAFE-A protocol in dialysis patients demonstrates a correlation between the suggested score and volume status, consistent with findings from the original study conducted in a distinct population.</p>\",\"PeriodicalId\":36911,\"journal\":{\"name\":\"Ultrasound Journal\",\"volume\":\"16 1\",\"pages\":\"41\"},\"PeriodicalIF\":2.9000,\"publicationDate\":\"2024-08-27\",\"publicationTypes\":\"Journal Article\",\"fieldsOfStudy\":null,\"isOpenAccess\":false,\"openAccessPdf\":\"https://www.ncbi.nlm.nih.gov/pmc/articles/PMC11349959/pdf/\",\"citationCount\":\"0\",\"resultStr\":null,\"platform\":\"Semanticscholar\",\"paperid\":null,\"PeriodicalName\":\"Ultrasound Journal\",\"FirstCategoryId\":\"1085\",\"ListUrlMain\":\"https://doi.org/10.1186/s13089-024-00390-5\",\"RegionNum\":0,\"RegionCategory\":null,\"ArticlePicture\":[],\"TitleCN\":null,\"AbstractTextCN\":null,\"PMCID\":null,\"EPubDate\":\"\",\"PubModel\":\"\",\"JCR\":\"Q2\",\"JCRName\":\"Medicine\",\"Score\":null,\"Total\":0}","platform":"Semanticscholar","paperid":null,"PeriodicalName":"Ultrasound Journal","FirstCategoryId":"1085","ListUrlMain":"https://doi.org/10.1186/s13089-024-00390-5","RegionNum":0,"RegionCategory":null,"ArticlePicture":[],"TitleCN":null,"AbstractTextCN":null,"PMCID":null,"EPubDate":"","PubModel":"","JCR":"Q2","JCRName":"Medicine","Score":null,"Total":0}
引用次数: 0

摘要

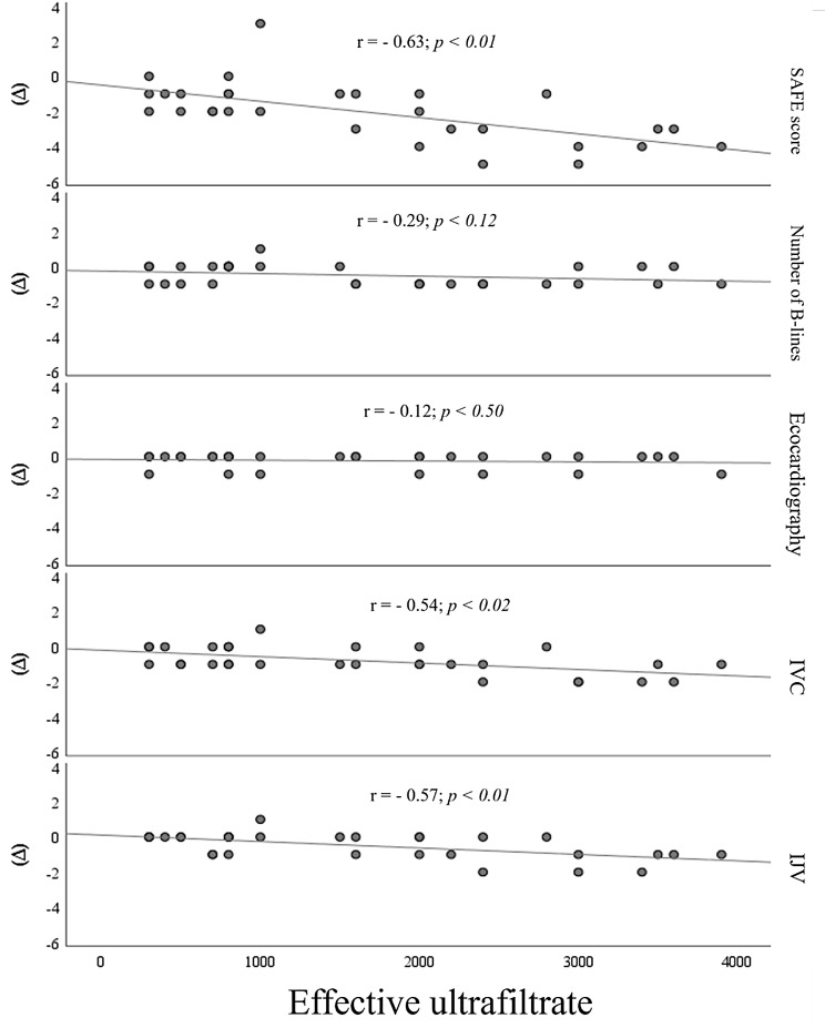
背景:准确评估血管内相对容量是正确管理需要血液透析的住院患者的基石之一。目前,建议使用床旁超声等动态参数来支持血管内容量情况的评估。本研究旨在前瞻性地评估终末期肾病血液透析患者在血液透析前后的血管内容量估算超声评估(SAFE-A)方案的结果,并将这些结果与超滤净量(UFNET)相关联:结果:SAFE-A 方案得分负差 1 分与净超滤量 426.73 毫升之间呈正相关:结论:SAFE-A 方案的得分与净超滤量之间存在很强的相关性。因此,本研究得出结论,在透析患者中应用 SAFE-A 方案显示了建议评分与血容量状态之间的相关性,这与在不同人群中进行的原始研究结果一致。
本文章由计算机程序翻译,如有差异,请以英文原文为准。

Sonographic findings using the SAFE-A protocol in pre- and post-hemodialysis patients.

Sonographic findings using the SAFE-A protocol in pre- and post-hemodialysis patients.

Sonographic findings using the SAFE-A protocol in pre- and post-hemodialysis patients.

Sonographic findings using the SAFE-A protocol in pre- and post-hemodialysis patients.

Background: Accurate assessment of relative intravascular volume is one of the cornerstones for the proper management of hospitalized patients requiring hemodialysis. Currently, the use of dynamic parameters such as bedside ultrasonography is recommended to support the assessment of the intravascular volume profile. This study aimed to prospectively evaluate findings of sonographic assessment of intravascular volume estimate (SAFE-A) protocol among hemodialysis inpatients with end-stage renal disease, before and after the hemodialysis sessions, and correlate these findings with the net ultrafiltrate (UFNET).

Results: A positive correlation was found between the negative variation of 1 point in the score of the SAFE-A protocol with the withdrawal of 426.73 mL of net ultrafiltrate.

Conclusions: There was a strong correlation between the score of the SAFE-A protocol and the net ultrafiltrate. Therefore, this study concludes that the application of the SAFE-A protocol in dialysis patients demonstrates a correlation between the suggested score and volume status, consistent with findings from the original study conducted in a distinct population.

求助全文
通过发布文献求助,成功后即可免费获取论文全文。 去求助
来源期刊
Ultrasound Journal
Ultrasound Journal Health Professions-Radiological and Ultrasound Technology
CiteScore
6.80
自引率
2.90%
发文量
45
审稿时长
22 weeks
×
引用
GB/T 7714-2015
复制
MLA
复制
APA
复制
导出至
BibTeX EndNote RefMan NoteFirst NoteExpress
×
提示
您的信息不完整,为了账户安全,请先补充。
现在去补充
×
提示
您因"违规操作"
具体请查看互助需知
我知道了
×
提示
确定
请完成安全验证×
copy
已复制链接
快去分享给好友吧!
我知道了
右上角分享
点击右上角分享
0
联系我们:info@booksci.cn Book学术提供免费学术资源搜索服务,方便国内外学者检索中英文文献。致力于提供最便捷和优质的服务体验。 Copyright © 2023 布克学术 All rights reserved.
京ICP备2023020795号-1
ghs 京公网安备 11010802042870号
Book学术文献互助
Book学术文献互助群
群 号:604180095
Book学术官方微信