紫外线对昼夜节律和视觉系统的影响

IF 2.1 Q3 CLINICAL NEUROLOGY
Teresa Domínguez-Valdés, Cristina Bonnin-Arias, Cristina Alvarez-Peregrina, Beatriz G Galvez, Miguel Angel Sanchez-Tena, Francisco Germain, Pedro de la Villa, Celia Sánchez-Ramos
{"title":"紫外线对昼夜节律和视觉系统的影响","authors":"Teresa Domínguez-Valdés, Cristina Bonnin-Arias, Cristina Alvarez-Peregrina, Beatriz G Galvez, Miguel Angel Sanchez-Tena, Francisco Germain, Pedro de la Villa, Celia Sánchez-Ramos","doi":"10.3390/clockssleep6030029","DOIUrl":null,"url":null,"abstract":"<p><strong>Background: </strong>Rooms illuminated by \"black light\" (<400 nm wavelength) has become popular, but there is not enough scientific evidence to support its implementation. This study aims to assess the effects of violet light (392 nm) on the circadian rest-activity rhythm and the visual system through animal experimentation.</p><p><strong>Materials and results: </strong>Five groups of four mice were exposed to different white light, violet light, and dark periods, and their circadian rhythm was analyzed by measuring the circadian period using rest-activity cycles. Electroretinographic recordings and structural analysis of the retina were also performed on experimental animals.</p><p><strong>Results: </strong>Our study demonstrates that mice present normal circadian activity during exposure to violet light, taking rest not only under white light but under violet lighting periods. However, mice suffered a decrease in electrical retinal response after exposure to violet light as measured by electroretinography. Nevertheless, no structural changes were observed in the retinas of the animals under different lighting conditions.</p><p><strong>Conclusions: </strong>Violet light elicits circadian rest-activity rhythm in mice but alters their visual function, although no structural changes are observed after short periods of violet light exposure.</p>","PeriodicalId":33568,"journal":{"name":"Clocks & Sleep","volume":"6 3","pages":"433-445"},"PeriodicalIF":2.1000,"publicationDate":"2024-08-14","publicationTypes":"Journal Article","fieldsOfStudy":null,"isOpenAccess":false,"openAccessPdf":"https://www.ncbi.nlm.nih.gov/pmc/articles/PMC11348119/pdf/","citationCount":"0","resultStr":"{\"title\":\"Violet Light Effects on the Circadian Rest-Activity Rhythm and the Visual System.\",\"authors\":\"Teresa Domínguez-Valdés, Cristina Bonnin-Arias, Cristina Alvarez-Peregrina, Beatriz G Galvez, Miguel Angel Sanchez-Tena, Francisco Germain, Pedro de la Villa, Celia Sánchez-Ramos\",\"doi\":\"10.3390/clockssleep6030029\",\"DOIUrl\":null,\"url\":null,\"abstract\":\"<p><strong>Background: </strong>Rooms illuminated by \\\"black light\\\" (<400 nm wavelength) has become popular, but there is not enough scientific evidence to support its implementation. This study aims to assess the effects of violet light (392 nm) on the circadian rest-activity rhythm and the visual system through animal experimentation.</p><p><strong>Materials and results: </strong>Five groups of four mice were exposed to different white light, violet light, and dark periods, and their circadian rhythm was analyzed by measuring the circadian period using rest-activity cycles. Electroretinographic recordings and structural analysis of the retina were also performed on experimental animals.</p><p><strong>Results: </strong>Our study demonstrates that mice present normal circadian activity during exposure to violet light, taking rest not only under white light but under violet lighting periods. However, mice suffered a decrease in electrical retinal response after exposure to violet light as measured by electroretinography. Nevertheless, no structural changes were observed in the retinas of the animals under different lighting conditions.</p><p><strong>Conclusions: </strong>Violet light elicits circadian rest-activity rhythm in mice but alters their visual function, although no structural changes are observed after short periods of violet light exposure.</p>\",\"PeriodicalId\":33568,\"journal\":{\"name\":\"Clocks & Sleep\",\"volume\":\"6 3\",\"pages\":\"433-445\"},\"PeriodicalIF\":2.1000,\"publicationDate\":\"2024-08-14\",\"publicationTypes\":\"Journal Article\",\"fieldsOfStudy\":null,\"isOpenAccess\":false,\"openAccessPdf\":\"https://www.ncbi.nlm.nih.gov/pmc/articles/PMC11348119/pdf/\",\"citationCount\":\"0\",\"resultStr\":null,\"platform\":\"Semanticscholar\",\"paperid\":null,\"PeriodicalName\":\"Clocks & Sleep\",\"FirstCategoryId\":\"1085\",\"ListUrlMain\":\"https://doi.org/10.3390/clockssleep6030029\",\"RegionNum\":0,\"RegionCategory\":null,\"ArticlePicture\":[],\"TitleCN\":null,\"AbstractTextCN\":null,\"PMCID\":null,\"EPubDate\":\"\",\"PubModel\":\"\",\"JCR\":\"Q3\",\"JCRName\":\"CLINICAL NEUROLOGY\",\"Score\":null,\"Total\":0}","platform":"Semanticscholar","paperid":null,"PeriodicalName":"Clocks & Sleep","FirstCategoryId":"1085","ListUrlMain":"https://doi.org/10.3390/clockssleep6030029","RegionNum":0,"RegionCategory":null,"ArticlePicture":[],"TitleCN":null,"AbstractTextCN":null,"PMCID":null,"EPubDate":"","PubModel":"","JCR":"Q3","JCRName":"CLINICAL NEUROLOGY","Score":null,"Total":0}
引用次数: 0

摘要

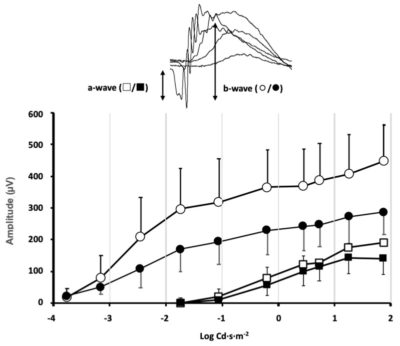
背景:用 "黑光 "照明的房间(材料与结果:将五组四只小鼠分别置于不同的白光、紫光和黑暗环境中,利用休息-活动周期测量昼夜节律,分析它们的昼夜节律。此外,还对实验动物进行了视网膜电图记录和视网膜结构分析:我们的研究表明,小鼠在紫光照射下呈现正常的昼夜节律活动,不仅在白光下休息,而且在紫光照射下也休息。然而,通过视网膜电图测量,小鼠在接触紫光后视网膜电反应下降。然而,在不同的光照条件下,动物视网膜的结构没有发生变化:结论:紫外线能引起小鼠昼夜节律性的休息-活动节律,但会改变它们的视觉功能,尽管在短时间的紫外线照射后没有观察到结构变化。
本文章由计算机程序翻译,如有差异,请以英文原文为准。

Violet Light Effects on the Circadian Rest-Activity Rhythm and the Visual System.

Violet Light Effects on the Circadian Rest-Activity Rhythm and the Visual System.

Violet Light Effects on the Circadian Rest-Activity Rhythm and the Visual System.

Violet Light Effects on the Circadian Rest-Activity Rhythm and the Visual System.

Background: Rooms illuminated by "black light" (<400 nm wavelength) has become popular, but there is not enough scientific evidence to support its implementation. This study aims to assess the effects of violet light (392 nm) on the circadian rest-activity rhythm and the visual system through animal experimentation.

Materials and results: Five groups of four mice were exposed to different white light, violet light, and dark periods, and their circadian rhythm was analyzed by measuring the circadian period using rest-activity cycles. Electroretinographic recordings and structural analysis of the retina were also performed on experimental animals.

Results: Our study demonstrates that mice present normal circadian activity during exposure to violet light, taking rest not only under white light but under violet lighting periods. However, mice suffered a decrease in electrical retinal response after exposure to violet light as measured by electroretinography. Nevertheless, no structural changes were observed in the retinas of the animals under different lighting conditions.

Conclusions: Violet light elicits circadian rest-activity rhythm in mice but alters their visual function, although no structural changes are observed after short periods of violet light exposure.

求助全文
通过发布文献求助,成功后即可免费获取论文全文。 去求助
来源期刊
Clocks & Sleep
Clocks & Sleep Multiple-
CiteScore
4.40
自引率
0.00%
发文量
0
审稿时长
7 weeks
×
引用
GB/T 7714-2015
复制
MLA
复制
APA
复制
导出至
BibTeX EndNote RefMan NoteFirst NoteExpress
×
提示
您的信息不完整,为了账户安全,请先补充。
现在去补充
×
提示
您因"违规操作"
具体请查看互助需知
我知道了
×
提示
确定
请完成安全验证×
copy
已复制链接
快去分享给好友吧!
我知道了
右上角分享
点击右上角分享
0
联系我们:info@booksci.cn Book学术提供免费学术资源搜索服务,方便国内外学者检索中英文文献。致力于提供最便捷和优质的服务体验。 Copyright © 2023 布克学术 All rights reserved.
京ICP备2023020795号-1
ghs 京公网安备 11010802042870号
Book学术文献互助
Book学术文献互助群
群 号:604180095
Book学术官方微信