通过自动血液分析仪的外周血造血祖细胞计数预测接受造血干细胞移植的收获物中可存活的 CD34 数量。

IF 2.7 Q3 HEMATOLOGY
Journal of Blood Medicine Pub Date : 2024-08-22 eCollection Date: 2024-01-01 DOI:10.2147/JBM.S460820
Siew Lian Chong, Asral Wirda Ahmad Asnawi, Tengku Amatullah Madeehah Tengku Mohd, Sen Mui Tan
{"title":"通过自动血液分析仪的外周血造血祖细胞计数预测接受造血干细胞移植的收获物中可存活的 CD34 数量。","authors":"Siew Lian Chong, Asral Wirda Ahmad Asnawi, Tengku Amatullah Madeehah Tengku Mohd, Sen Mui Tan","doi":"10.2147/JBM.S460820","DOIUrl":null,"url":null,"abstract":"<p><strong>Introduction: </strong>The CD34+ hematopoietic cell count was used to define cell harvest goals. Successful peripheral blood stem cell transplantation depends on infusion of an appropriate number of HPCs to achieve rapid and durable hematologic recovery.</p><p><strong>Purpose: </strong>In this study, we evaluated the use of the Hematopoietic Progenitor Cell count program on the Sysmex XN-3000 hematology analyzer as an effective parameter for enumerating CD34+ cells.</p><p><strong>Patients and methods: </strong>Whole blood samples from 144 subjects who are either healthy donors or patients scheduled to undergo peripheral blood stem cell collection were collected and hemopoietic stem cells were quantified using CD34 cell enumeration by flow cytometry and XN-HPC by hematology analyzer.</p><p><strong>Results: </strong>The correlation between the two methods was high (r = 0.766; 95% CI: 0.702-0.818). Passing-Bablok showed an intercept at 3.45 (2.54 to 4.74) with a slope of 0.78 (95% CI 0.69 to 0.89). Residual analysis of this model indicated no significant deviation from linearity (p = 0.360). The receiver operating characteristic curve demonstrated an area under curve to be 0.88 (0.82 to 0.92), with a positive predictive value of 80.3%. The correlation between CD34+ and XN-HPC showed a strong relationship and good agreement with minimal bias.</p><p><strong>Conclusion: </strong>The XN-HPC showed good analytical performance. With the increasing requirements for stem cell transplantation, a technically simple and rapid alternative for stem cell enumeration that is sustainable is highly useful.</p>","PeriodicalId":15166,"journal":{"name":"Journal of Blood Medicine","volume":"15 ","pages":"387-394"},"PeriodicalIF":2.7000,"publicationDate":"2024-08-22","publicationTypes":"Journal Article","fieldsOfStudy":null,"isOpenAccess":false,"openAccessPdf":"https://www.ncbi.nlm.nih.gov/pmc/articles/PMC11346492/pdf/","citationCount":"0","resultStr":"{\"title\":\"Prediction of Viable CD34 Count in Harvested Product by Peripheral Blood Hematopoietic Progenitor Count of Automated Hematology Analyzer Undergoing Hematopoietic Stem Cell Transplantation.\",\"authors\":\"Siew Lian Chong, Asral Wirda Ahmad Asnawi, Tengku Amatullah Madeehah Tengku Mohd, Sen Mui Tan\",\"doi\":\"10.2147/JBM.S460820\",\"DOIUrl\":null,\"url\":null,\"abstract\":\"<p><strong>Introduction: </strong>The CD34+ hematopoietic cell count was used to define cell harvest goals. Successful peripheral blood stem cell transplantation depends on infusion of an appropriate number of HPCs to achieve rapid and durable hematologic recovery.</p><p><strong>Purpose: </strong>In this study, we evaluated the use of the Hematopoietic Progenitor Cell count program on the Sysmex XN-3000 hematology analyzer as an effective parameter for enumerating CD34+ cells.</p><p><strong>Patients and methods: </strong>Whole blood samples from 144 subjects who are either healthy donors or patients scheduled to undergo peripheral blood stem cell collection were collected and hemopoietic stem cells were quantified using CD34 cell enumeration by flow cytometry and XN-HPC by hematology analyzer.</p><p><strong>Results: </strong>The correlation between the two methods was high (r = 0.766; 95% CI: 0.702-0.818). Passing-Bablok showed an intercept at 3.45 (2.54 to 4.74) with a slope of 0.78 (95% CI 0.69 to 0.89). Residual analysis of this model indicated no significant deviation from linearity (p = 0.360). The receiver operating characteristic curve demonstrated an area under curve to be 0.88 (0.82 to 0.92), with a positive predictive value of 80.3%. The correlation between CD34+ and XN-HPC showed a strong relationship and good agreement with minimal bias.</p><p><strong>Conclusion: </strong>The XN-HPC showed good analytical performance. With the increasing requirements for stem cell transplantation, a technically simple and rapid alternative for stem cell enumeration that is sustainable is highly useful.</p>\",\"PeriodicalId\":15166,\"journal\":{\"name\":\"Journal of Blood Medicine\",\"volume\":\"15 \",\"pages\":\"387-394\"},\"PeriodicalIF\":2.7000,\"publicationDate\":\"2024-08-22\",\"publicationTypes\":\"Journal Article\",\"fieldsOfStudy\":null,\"isOpenAccess\":false,\"openAccessPdf\":\"https://www.ncbi.nlm.nih.gov/pmc/articles/PMC11346492/pdf/\",\"citationCount\":\"0\",\"resultStr\":null,\"platform\":\"Semanticscholar\",\"paperid\":null,\"PeriodicalName\":\"Journal of Blood Medicine\",\"FirstCategoryId\":\"1085\",\"ListUrlMain\":\"https://doi.org/10.2147/JBM.S460820\",\"RegionNum\":0,\"RegionCategory\":null,\"ArticlePicture\":[],\"TitleCN\":null,\"AbstractTextCN\":null,\"PMCID\":null,\"EPubDate\":\"2024/1/1 0:00:00\",\"PubModel\":\"eCollection\",\"JCR\":\"Q3\",\"JCRName\":\"HEMATOLOGY\",\"Score\":null,\"Total\":0}","platform":"Semanticscholar","paperid":null,"PeriodicalName":"Journal of Blood Medicine","FirstCategoryId":"1085","ListUrlMain":"https://doi.org/10.2147/JBM.S460820","RegionNum":0,"RegionCategory":null,"ArticlePicture":[],"TitleCN":null,"AbstractTextCN":null,"PMCID":null,"EPubDate":"2024/1/1 0:00:00","PubModel":"eCollection","JCR":"Q3","JCRName":"HEMATOLOGY","Score":null,"Total":0}
引用次数: 0

摘要

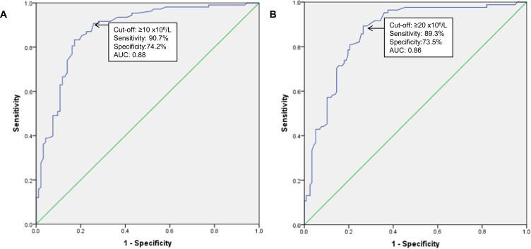
简介CD34+造血细胞计数用于确定细胞采集目标。目的:在这项研究中,我们评估了在 Sysmex XN-3000 血液分析仪上使用造血祖细胞计数程序作为计数 CD34+ 细胞的有效参数的情况:收集了144名健康捐献者或计划进行外周血干细胞采集的患者的全血样本,并使用流式细胞仪的CD34细胞计数法和血液分析仪的XN-HPC对造血干细胞进行量化:两种方法之间的相关性很高(r = 0.766;95% CI:0.702-0.818)。Passing-Bablok 模型的截距为 3.45(2.54 至 4.74),斜率为 0.78(95% CI 0.69 至 0.89)。该模型的残差分析表明与线性无明显偏差(P = 0.360)。接收者操作特征曲线显示曲线下面积为 0.88(0.82 至 0.92),阳性预测值为 80.3%。CD34+和XN-HPC之间的相关性显示出很强的关系和良好的一致性,偏差极小:XN-HPC显示出良好的分析性能。结论:XN-HPC显示出良好的分析性能。随着干细胞移植的要求越来越高,一种技术简单、快速、可持续的干细胞计数替代方法非常有用。
本文章由计算机程序翻译,如有差异,请以英文原文为准。

Prediction of Viable CD34 Count in Harvested Product by Peripheral Blood Hematopoietic Progenitor Count of Automated Hematology Analyzer Undergoing Hematopoietic Stem Cell Transplantation.

Prediction of Viable CD34 Count in Harvested Product by Peripheral Blood Hematopoietic Progenitor Count of Automated Hematology Analyzer Undergoing Hematopoietic Stem Cell Transplantation.

Prediction of Viable CD34 Count in Harvested Product by Peripheral Blood Hematopoietic Progenitor Count of Automated Hematology Analyzer Undergoing Hematopoietic Stem Cell Transplantation.

Introduction: The CD34+ hematopoietic cell count was used to define cell harvest goals. Successful peripheral blood stem cell transplantation depends on infusion of an appropriate number of HPCs to achieve rapid and durable hematologic recovery.

Purpose: In this study, we evaluated the use of the Hematopoietic Progenitor Cell count program on the Sysmex XN-3000 hematology analyzer as an effective parameter for enumerating CD34+ cells.

Patients and methods: Whole blood samples from 144 subjects who are either healthy donors or patients scheduled to undergo peripheral blood stem cell collection were collected and hemopoietic stem cells were quantified using CD34 cell enumeration by flow cytometry and XN-HPC by hematology analyzer.

Results: The correlation between the two methods was high (r = 0.766; 95% CI: 0.702-0.818). Passing-Bablok showed an intercept at 3.45 (2.54 to 4.74) with a slope of 0.78 (95% CI 0.69 to 0.89). Residual analysis of this model indicated no significant deviation from linearity (p = 0.360). The receiver operating characteristic curve demonstrated an area under curve to be 0.88 (0.82 to 0.92), with a positive predictive value of 80.3%. The correlation between CD34+ and XN-HPC showed a strong relationship and good agreement with minimal bias.

Conclusion: The XN-HPC showed good analytical performance. With the increasing requirements for stem cell transplantation, a technically simple and rapid alternative for stem cell enumeration that is sustainable is highly useful.

求助全文
通过发布文献求助,成功后即可免费获取论文全文。 去求助
来源期刊
CiteScore
3.50
自引率
0.00%
发文量
94
审稿时长
16 weeks
期刊介绍: The Journal of Blood Medicine is an international, peer-reviewed, open access, online journal publishing laboratory, experimental and clinical aspects of all topics pertaining to blood based medicine including but not limited to: Transfusion Medicine (blood components, stem cell transplantation, apheresis, gene based therapeutics), Blood collection, Donor issues, Transmittable diseases, and Blood banking logistics, Immunohematology, Artificial and alternative blood based therapeutics, Hematology including disorders/pathology related to leukocytes/immunology, red cells, platelets and hemostasis, Biotechnology/nanotechnology of blood related medicine, Legal aspects of blood medicine, Historical perspectives. Original research, short reports, reviews, case reports and commentaries are invited.
×
引用
GB/T 7714-2015
复制
MLA
复制
APA
复制
导出至
BibTeX EndNote RefMan NoteFirst NoteExpress
×
提示
您的信息不完整,为了账户安全,请先补充。
现在去补充
×
提示
您因"违规操作"
具体请查看互助需知
我知道了
×
提示
确定
请完成安全验证×
copy
已复制链接
快去分享给好友吧!
我知道了
右上角分享
点击右上角分享
0
联系我们:info@booksci.cn Book学术提供免费学术资源搜索服务,方便国内外学者检索中英文文献。致力于提供最便捷和优质的服务体验。 Copyright © 2023 布克学术 All rights reserved.
京ICP备2023020795号-1
ghs 京公网安备 11010802042870号
Book学术文献互助
Book学术文献互助群
群 号:604180095
Book学术官方微信