使用修改后的标准图针对间歇性外斜的小幅过度矫正进行双侧外直肌回缩的长期疗效。

Korean journal of ophthalmology : KJO Pub Date : 2024-10-01 Epub Date: 2024-08-22 DOI:10.3341/kjo.2024.0009
Sanghyuk Ahn, Daniel Jinhag Baik, Seung-Hyun Kim
{"title":"使用修改后的标准图针对间歇性外斜的小幅过度矫正进行双侧外直肌回缩的长期疗效。","authors":"Sanghyuk Ahn, Daniel Jinhag Baik, Seung-Hyun Kim","doi":"10.3341/kjo.2024.0009","DOIUrl":null,"url":null,"abstract":"<p><strong>Purpose: </strong>To evaluate the surgical outcomes of a modified normogram for bilateral lateral rectus recession in the surgical management of intermittent exotropia, with a focus on achieving small overcorrection.</p><p><strong>Methods: </strong>A retrospective medical chart review of 242 patients who underwent surgery for intermittent exotropia between October 2014 and June 2020 was performed. Our modified normogram reducing amount of recession targeted for small postoperative overcorrection within 5 prism diopters (PD). Patients were observed for at least 3 years. Esodeviation was denoted by negative numbers and positive values indicated exodeviation. A satisfactory outcome was defined as if distant angle of deviation ranged between ≤10 PD of exotropia and ≤5 PD of esotropia. Recurrence was defined as an exodeviation of >10 PD at distance. Overcorrection was defined as an esodeviation of >5 PD at distance.</p><p><strong>Results: </strong>The mean preoperative deviation angles were 29.32 ± 3.92 PD at distance and 29.88 ± 4.41 PD at near. At postoperative day 1, the mean deviation angles at distance and near were -6.22 ± 1.44 and -6.22 ± 1.49 PD, respectively. Overcorrection within 6 PD of esodeviation was seen in 168 patients (69.42%), undercorrection with exophoria was noted in 11 patients (4.55%), and overcorrection by more than 6 PD of esodeviation was seen in 63 patients (26.03%) at postoperative day 1. The long-term success rate at postoperative 3 years was 77.27% (187 of 242), with a recurrence rate of 19.83% (48 of 242) and an overcorrection rate of 2.89% (7 of 242). A positive correlation between the angle of deviation at postoperative day 1 and 3 years was observed (r = 0.22, p = 0.001). The final success rate at the final examination after a mean follow-up of 38.60 ± 7.99 months was 83.06%.</p><p><strong>Conclusions: </strong>Our modified normogram for bilateral lateral rectus recession in intermittent exotropia surgery resulted in successful surgical outcomes with small overcorrection, reducing the risk of consecutive esotropia due to excessive overcorrection.</p>","PeriodicalId":101356,"journal":{"name":"Korean journal of ophthalmology : KJO","volume":" ","pages":"392-398"},"PeriodicalIF":0.0000,"publicationDate":"2024-10-01","publicationTypes":"Journal Article","fieldsOfStudy":null,"isOpenAccess":false,"openAccessPdf":"https://www.ncbi.nlm.nih.gov/pmc/articles/PMC11491802/pdf/","citationCount":"0","resultStr":"{\"title\":\"Long-term Outcomes of Bilateral Lateral Rectus Recession Using a Modified Normogram for Targeting Small Overcorrection in Intermittent Exotropia.\",\"authors\":\"Sanghyuk Ahn, Daniel Jinhag Baik, Seung-Hyun Kim\",\"doi\":\"10.3341/kjo.2024.0009\",\"DOIUrl\":null,\"url\":null,\"abstract\":\"<p><strong>Purpose: </strong>To evaluate the surgical outcomes of a modified normogram for bilateral lateral rectus recession in the surgical management of intermittent exotropia, with a focus on achieving small overcorrection.</p><p><strong>Methods: </strong>A retrospective medical chart review of 242 patients who underwent surgery for intermittent exotropia between October 2014 and June 2020 was performed. Our modified normogram reducing amount of recession targeted for small postoperative overcorrection within 5 prism diopters (PD). Patients were observed for at least 3 years. Esodeviation was denoted by negative numbers and positive values indicated exodeviation. A satisfactory outcome was defined as if distant angle of deviation ranged between ≤10 PD of exotropia and ≤5 PD of esotropia. Recurrence was defined as an exodeviation of >10 PD at distance. Overcorrection was defined as an esodeviation of >5 PD at distance.</p><p><strong>Results: </strong>The mean preoperative deviation angles were 29.32 ± 3.92 PD at distance and 29.88 ± 4.41 PD at near. At postoperative day 1, the mean deviation angles at distance and near were -6.22 ± 1.44 and -6.22 ± 1.49 PD, respectively. Overcorrection within 6 PD of esodeviation was seen in 168 patients (69.42%), undercorrection with exophoria was noted in 11 patients (4.55%), and overcorrection by more than 6 PD of esodeviation was seen in 63 patients (26.03%) at postoperative day 1. The long-term success rate at postoperative 3 years was 77.27% (187 of 242), with a recurrence rate of 19.83% (48 of 242) and an overcorrection rate of 2.89% (7 of 242). A positive correlation between the angle of deviation at postoperative day 1 and 3 years was observed (r = 0.22, p = 0.001). The final success rate at the final examination after a mean follow-up of 38.60 ± 7.99 months was 83.06%.</p><p><strong>Conclusions: </strong>Our modified normogram for bilateral lateral rectus recession in intermittent exotropia surgery resulted in successful surgical outcomes with small overcorrection, reducing the risk of consecutive esotropia due to excessive overcorrection.</p>\",\"PeriodicalId\":101356,\"journal\":{\"name\":\"Korean journal of ophthalmology : KJO\",\"volume\":\" \",\"pages\":\"392-398\"},\"PeriodicalIF\":0.0000,\"publicationDate\":\"2024-10-01\",\"publicationTypes\":\"Journal Article\",\"fieldsOfStudy\":null,\"isOpenAccess\":false,\"openAccessPdf\":\"https://www.ncbi.nlm.nih.gov/pmc/articles/PMC11491802/pdf/\",\"citationCount\":\"0\",\"resultStr\":null,\"platform\":\"Semanticscholar\",\"paperid\":null,\"PeriodicalName\":\"Korean journal of ophthalmology : KJO\",\"FirstCategoryId\":\"1085\",\"ListUrlMain\":\"https://doi.org/10.3341/kjo.2024.0009\",\"RegionNum\":0,\"RegionCategory\":null,\"ArticlePicture\":[],\"TitleCN\":null,\"AbstractTextCN\":null,\"PMCID\":null,\"EPubDate\":\"2024/8/22 0:00:00\",\"PubModel\":\"Epub\",\"JCR\":\"\",\"JCRName\":\"\",\"Score\":null,\"Total\":0}","platform":"Semanticscholar","paperid":null,"PeriodicalName":"Korean journal of ophthalmology : KJO","FirstCategoryId":"1085","ListUrlMain":"https://doi.org/10.3341/kjo.2024.0009","RegionNum":0,"RegionCategory":null,"ArticlePicture":[],"TitleCN":null,"AbstractTextCN":null,"PMCID":null,"EPubDate":"2024/8/22 0:00:00","PubModel":"Epub","JCR":"","JCRName":"","Score":null,"Total":0}
引用次数: 0

摘要

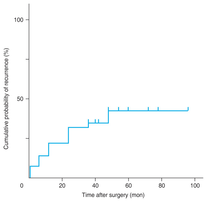
目的:评估在间歇性外斜的手术治疗中,双侧外直肌后移(BLR)的改良规范图的手术效果,重点是实现小幅度的过度矫正:对2014年10月至2020年6月期间因间歇性外斜接受手术治疗的242名患者进行了回顾性病历审查。我们的改良规范图将减少后退量的目标定为术后5个棱镜屈光度(PD)以内的小幅过矫。对患者进行了至少 3 年的观察。内斜用负数表示,正值表示外斜。如果远视角偏斜范围介于外斜视≤10 PD和内斜视≤5 PD之间,则定义为满意结果。复发的定义是远处外偏角大于 10 个 PD。过度矫正的定义是远距离外偏斜>5 PD:结果:术前的平均偏斜角分别为(29.32±3.92)PD(远)和(29.88±4.41)PD(近)。术后第 1 天,远处和近处的平均偏斜角度分别为 -6.22±1.44 PD 和 -6.22±1.49 PD。术后第 1 天,有 168 名患者(69.42%)的矫正过度在 6 PD 以内,11 名患者(4.55%)的矫正不足伴有外斜视,63 名患者(26.03%)的矫正过度超过 6 PD。术后 3 年的长期成功率为 77.27%(187/242),复发率为 19.83%(48/242),过度矫正率为 2.89%(7/242)。术后第 1 天和 3 年的偏斜角度呈正相关(r= 0.22,p=0.001)。平均随访 38.60±7.99 个月后,最终检查的成功率为 83.06%:结论:我们对间歇性外斜视手术中的BLR规范图进行了修改,在小幅度过矫的情况下取得了成功的手术效果,降低了因过度过矫而导致连续性内斜的风险。
本文章由计算机程序翻译,如有差异,请以英文原文为准。

Long-term Outcomes of Bilateral Lateral Rectus Recession Using a Modified Normogram for Targeting Small Overcorrection in Intermittent Exotropia.

Long-term Outcomes of Bilateral Lateral Rectus Recession Using a Modified Normogram for Targeting Small Overcorrection in Intermittent Exotropia.

Long-term Outcomes of Bilateral Lateral Rectus Recession Using a Modified Normogram for Targeting Small Overcorrection in Intermittent Exotropia.

Long-term Outcomes of Bilateral Lateral Rectus Recession Using a Modified Normogram for Targeting Small Overcorrection in Intermittent Exotropia.

Purpose: To evaluate the surgical outcomes of a modified normogram for bilateral lateral rectus recession in the surgical management of intermittent exotropia, with a focus on achieving small overcorrection.

Methods: A retrospective medical chart review of 242 patients who underwent surgery for intermittent exotropia between October 2014 and June 2020 was performed. Our modified normogram reducing amount of recession targeted for small postoperative overcorrection within 5 prism diopters (PD). Patients were observed for at least 3 years. Esodeviation was denoted by negative numbers and positive values indicated exodeviation. A satisfactory outcome was defined as if distant angle of deviation ranged between ≤10 PD of exotropia and ≤5 PD of esotropia. Recurrence was defined as an exodeviation of >10 PD at distance. Overcorrection was defined as an esodeviation of >5 PD at distance.

Results: The mean preoperative deviation angles were 29.32 ± 3.92 PD at distance and 29.88 ± 4.41 PD at near. At postoperative day 1, the mean deviation angles at distance and near were -6.22 ± 1.44 and -6.22 ± 1.49 PD, respectively. Overcorrection within 6 PD of esodeviation was seen in 168 patients (69.42%), undercorrection with exophoria was noted in 11 patients (4.55%), and overcorrection by more than 6 PD of esodeviation was seen in 63 patients (26.03%) at postoperative day 1. The long-term success rate at postoperative 3 years was 77.27% (187 of 242), with a recurrence rate of 19.83% (48 of 242) and an overcorrection rate of 2.89% (7 of 242). A positive correlation between the angle of deviation at postoperative day 1 and 3 years was observed (r = 0.22, p = 0.001). The final success rate at the final examination after a mean follow-up of 38.60 ± 7.99 months was 83.06%.

Conclusions: Our modified normogram for bilateral lateral rectus recession in intermittent exotropia surgery resulted in successful surgical outcomes with small overcorrection, reducing the risk of consecutive esotropia due to excessive overcorrection.

求助全文
通过发布文献求助,成功后即可免费获取论文全文。 去求助
来源期刊
自引率
0.00%
发文量
0
×
引用
GB/T 7714-2015
复制
MLA
复制
APA
复制
导出至
BibTeX EndNote RefMan NoteFirst NoteExpress
×
提示
您的信息不完整,为了账户安全,请先补充。
现在去补充
×
提示
您因"违规操作"
具体请查看互助需知
我知道了
×
提示
确定
请完成安全验证×
copy
已复制链接
快去分享给好友吧!
我知道了
右上角分享
点击右上角分享
0
联系我们:info@booksci.cn Book学术提供免费学术资源搜索服务,方便国内外学者检索中英文文献。致力于提供最便捷和优质的服务体验。 Copyright © 2023 布克学术 All rights reserved.
京ICP备2023020795号-1
ghs 京公网安备 11010802042870号
Book学术文献互助
Book学术文献互助群
群 号:604180095
Book学术官方微信