采用 PRRT 和 SBRT 治疗神经内分泌肿瘤的耐受性和疗效。

Endocrine oncology (Bristol, England) Pub Date : 2024-06-27 eCollection Date: 2024-01-01 DOI:10.1530/EO-24-0001
Jose E Nunez, Sylvia Ng, Hanbo Chen, Simron Singh, Julie Hallet, Calvin Law, Sten Myrehaug
{"title":"采用 PRRT 和 SBRT 治疗神经内分泌肿瘤的耐受性和疗效。","authors":"Jose E Nunez, Sylvia Ng, Hanbo Chen, Simron Singh, Julie Hallet, Calvin Law, Sten Myrehaug","doi":"10.1530/EO-24-0001","DOIUrl":null,"url":null,"abstract":"<p><p>There is interest in optimizing peptide receptor radionuclide therapy (PRRT) for the management of metastatic neuroendocrine neoplasms (NEN). The addition of stereotactic body radiation therapy (SBRT) may provide synergistic benefits by targeting specific sites of disease that may represent areas of tumor heterogeneity. Little is known about the efficacy or potential toxicity of this approach; understanding the outcomes of patients treated with these two modalities in a sequential fashion will provide insights into the appropriateness of embarking on a combined therapy strategy. An institutional retrospective review of 21 patients with NEN treated with sequential PRRT and SBRT (64 targets) was performed. Median overall survival and progression-free survival were 19.6 months and 12.8 months, respectively. Median time to local recurrence at the SBRT site was not reached, with rates at 12 and 24 months of 1.8% and 5.9%, respectively. The toxicity profile remains favorable. Given the safety and efficacy of sequential SBRT and PRRT, further trials evaluating a concurrent treatment approach may be warranted.</p>","PeriodicalId":72907,"journal":{"name":"Endocrine oncology (Bristol, England)","volume":"4 1","pages":"e240001"},"PeriodicalIF":0.0000,"publicationDate":"2024-06-27","publicationTypes":"Journal Article","fieldsOfStudy":null,"isOpenAccess":false,"openAccessPdf":"https://www.ncbi.nlm.nih.gov/pmc/articles/PMC11301533/pdf/","citationCount":"0","resultStr":"{\"title\":\"Tolerability and outcomes of neuroendocrine tumors treated with PRRT and SBRT.\",\"authors\":\"Jose E Nunez, Sylvia Ng, Hanbo Chen, Simron Singh, Julie Hallet, Calvin Law, Sten Myrehaug\",\"doi\":\"10.1530/EO-24-0001\",\"DOIUrl\":null,\"url\":null,\"abstract\":\"<p><p>There is interest in optimizing peptide receptor radionuclide therapy (PRRT) for the management of metastatic neuroendocrine neoplasms (NEN). The addition of stereotactic body radiation therapy (SBRT) may provide synergistic benefits by targeting specific sites of disease that may represent areas of tumor heterogeneity. Little is known about the efficacy or potential toxicity of this approach; understanding the outcomes of patients treated with these two modalities in a sequential fashion will provide insights into the appropriateness of embarking on a combined therapy strategy. An institutional retrospective review of 21 patients with NEN treated with sequential PRRT and SBRT (64 targets) was performed. Median overall survival and progression-free survival were 19.6 months and 12.8 months, respectively. Median time to local recurrence at the SBRT site was not reached, with rates at 12 and 24 months of 1.8% and 5.9%, respectively. The toxicity profile remains favorable. Given the safety and efficacy of sequential SBRT and PRRT, further trials evaluating a concurrent treatment approach may be warranted.</p>\",\"PeriodicalId\":72907,\"journal\":{\"name\":\"Endocrine oncology (Bristol, England)\",\"volume\":\"4 1\",\"pages\":\"e240001\"},\"PeriodicalIF\":0.0000,\"publicationDate\":\"2024-06-27\",\"publicationTypes\":\"Journal Article\",\"fieldsOfStudy\":null,\"isOpenAccess\":false,\"openAccessPdf\":\"https://www.ncbi.nlm.nih.gov/pmc/articles/PMC11301533/pdf/\",\"citationCount\":\"0\",\"resultStr\":null,\"platform\":\"Semanticscholar\",\"paperid\":null,\"PeriodicalName\":\"Endocrine oncology (Bristol, England)\",\"FirstCategoryId\":\"1085\",\"ListUrlMain\":\"https://doi.org/10.1530/EO-24-0001\",\"RegionNum\":0,\"RegionCategory\":null,\"ArticlePicture\":[],\"TitleCN\":null,\"AbstractTextCN\":null,\"PMCID\":null,\"EPubDate\":\"2024/1/1 0:00:00\",\"PubModel\":\"eCollection\",\"JCR\":\"\",\"JCRName\":\"\",\"Score\":null,\"Total\":0}","platform":"Semanticscholar","paperid":null,"PeriodicalName":"Endocrine oncology (Bristol, England)","FirstCategoryId":"1085","ListUrlMain":"https://doi.org/10.1530/EO-24-0001","RegionNum":0,"RegionCategory":null,"ArticlePicture":[],"TitleCN":null,"AbstractTextCN":null,"PMCID":null,"EPubDate":"2024/1/1 0:00:00","PubModel":"eCollection","JCR":"","JCRName":"","Score":null,"Total":0}
引用次数: 0

摘要

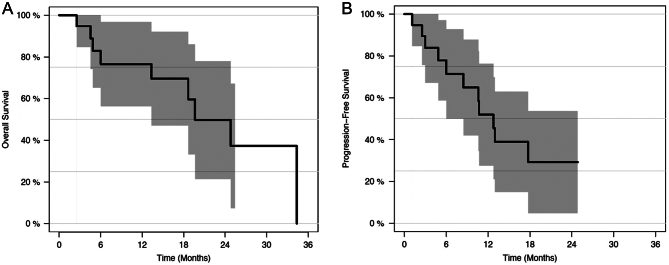
人们对优化肽受体放射性核素疗法(PRRT)治疗转移性神经内分泌肿瘤(NEN)很感兴趣。增加立体定向体放射治疗(SBRT)可通过针对可能代表肿瘤异质性区域的特定疾病部位提供协同效益。人们对这种方法的疗效或潜在毒性知之甚少;了解患者先后接受这两种方式治疗的结果将有助于深入了解是否适合采用联合治疗策略。研究机构对21例接受PRRT和SBRT(64个靶点)序贯治疗的NEN患者进行了回顾性研究。中位总生存期和无进展生存期分别为19.6个月和12.8个月。SBRT部位局部复发的中位时间尚未达到,12个月和24个月的复发率分别为1.8%和5.9%。毒性情况依然良好。鉴于序贯 SBRT 和 PRRT 的安全性和有效性,可能有必要进一步进行试验,评估同时治疗的方法。
本文章由计算机程序翻译,如有差异,请以英文原文为准。

Tolerability and outcomes of neuroendocrine tumors treated with PRRT and SBRT.

Tolerability and outcomes of neuroendocrine tumors treated with PRRT and SBRT.

Tolerability and outcomes of neuroendocrine tumors treated with PRRT and SBRT.

Tolerability and outcomes of neuroendocrine tumors treated with PRRT and SBRT.

There is interest in optimizing peptide receptor radionuclide therapy (PRRT) for the management of metastatic neuroendocrine neoplasms (NEN). The addition of stereotactic body radiation therapy (SBRT) may provide synergistic benefits by targeting specific sites of disease that may represent areas of tumor heterogeneity. Little is known about the efficacy or potential toxicity of this approach; understanding the outcomes of patients treated with these two modalities in a sequential fashion will provide insights into the appropriateness of embarking on a combined therapy strategy. An institutional retrospective review of 21 patients with NEN treated with sequential PRRT and SBRT (64 targets) was performed. Median overall survival and progression-free survival were 19.6 months and 12.8 months, respectively. Median time to local recurrence at the SBRT site was not reached, with rates at 12 and 24 months of 1.8% and 5.9%, respectively. The toxicity profile remains favorable. Given the safety and efficacy of sequential SBRT and PRRT, further trials evaluating a concurrent treatment approach may be warranted.

求助全文
通过发布文献求助,成功后即可免费获取论文全文。 去求助
来源期刊
自引率
0.00%
发文量
0
×
引用
GB/T 7714-2015
复制
MLA
复制
APA
复制
导出至
BibTeX EndNote RefMan NoteFirst NoteExpress
×
提示
您的信息不完整,为了账户安全,请先补充。
现在去补充
×
提示
您因"违规操作"
具体请查看互助需知
我知道了
×
提示
确定
请完成安全验证×
copy
已复制链接
快去分享给好友吧!
我知道了
右上角分享
点击右上角分享
0
联系我们:info@booksci.cn Book学术提供免费学术资源搜索服务,方便国内外学者检索中英文文献。致力于提供最便捷和优质的服务体验。 Copyright © 2023 布克学术 All rights reserved.
京ICP备2023020795号-1
ghs 京公网安备 11010802042870号
Book学术文献互助
Book学术文献互助群
群 号:604180095
Book学术官方微信