纤维增强复合材料植入部位对前臼齿抗折性的影响:体外研究

IF 1.8 Q3 DENTISTRY, ORAL SURGERY & MEDICINE
Clinical, Cosmetic and Investigational Dentistry Pub Date : 2024-07-08 eCollection Date: 2024-01-01 DOI:10.2147/CCIDE.S461134
Raghad Tariq AlJarboua, Reem Ahmad Alshihry, Haya Othman Alkhaldi, Fadak Hussain Al Marar, Mohammed A Aljaffary, Mohammed L Almana, Abdulrahman A Balhaddad, Othman Alkhateeb
{"title":"纤维增强复合材料植入部位对前臼齿抗折性的影响:体外研究","authors":"Raghad Tariq AlJarboua, Reem Ahmad Alshihry, Haya Othman Alkhaldi, Fadak Hussain Al Marar, Mohammed A Aljaffary, Mohammed L Almana, Abdulrahman A Balhaddad, Othman Alkhateeb","doi":"10.2147/CCIDE.S461134","DOIUrl":null,"url":null,"abstract":"<p><strong>Background: </strong>This study aimed to investigate the fracture behavior of upper premolars with deep MOD cavities that were restored with Ribbond resin-reinforced fibers (FRCs) placed in different orientations.</p><p><strong>Methods: </strong>A total of 54 extracted maxillary premolars were randomly divided into nine groups. The experimental groups underwent MOD cavity preparation with or without root canal treatment, followed by FRCs placed in the pulpal floor, proximal walls, or both. Fracture resistance was tested using an Instron Machine. The samples were visually inspected to analyze the fracture mode.</p><p><strong>Results: </strong>The highest fracture resistance was observed in intact teeth (1299.98 ± 284.66 MPa). Placing Ribbond fibers in the pulpal floor (1155.86 ± 244.21 MPa) or the proximal walls (1077.56 ± 260.60 MPa) significantly improved fracture resistance (<i>p</i>= <0.05), compared to cavities restored with only resin composite (804.58 ± 93.34 MPa). However, placing Ribbond fibers in both the pulpal and proximal walls did not enhance fracture resistance. In the MOD-RCT groups, fracture resistance was improved only when Ribbond fibers were placed in the pulpal floor and the proximal walls. Fracture mode analysis revealed a combined fracture in most of the groups.</p><p><strong>Conclusion: </strong>This study concluded that using FRCs significantly improved the fracture resistance of MOD cavities in premolars and revealed that the placement site could be a determinant factor.</p>","PeriodicalId":10445,"journal":{"name":"Clinical, Cosmetic and Investigational Dentistry","volume":"16 ","pages":"255-266"},"PeriodicalIF":1.8000,"publicationDate":"2024-07-08","publicationTypes":"Journal Article","fieldsOfStudy":null,"isOpenAccess":false,"openAccessPdf":"https://www.ncbi.nlm.nih.gov/pmc/articles/PMC11244617/pdf/","citationCount":"0","resultStr":"{\"title\":\"Effect of Fiber-Reinforced Composite Placement Site on Fracture Resistance of Premolar Teeth: An in vitro Study.\",\"authors\":\"Raghad Tariq AlJarboua, Reem Ahmad Alshihry, Haya Othman Alkhaldi, Fadak Hussain Al Marar, Mohammed A Aljaffary, Mohammed L Almana, Abdulrahman A Balhaddad, Othman Alkhateeb\",\"doi\":\"10.2147/CCIDE.S461134\",\"DOIUrl\":null,\"url\":null,\"abstract\":\"<p><strong>Background: </strong>This study aimed to investigate the fracture behavior of upper premolars with deep MOD cavities that were restored with Ribbond resin-reinforced fibers (FRCs) placed in different orientations.</p><p><strong>Methods: </strong>A total of 54 extracted maxillary premolars were randomly divided into nine groups. The experimental groups underwent MOD cavity preparation with or without root canal treatment, followed by FRCs placed in the pulpal floor, proximal walls, or both. Fracture resistance was tested using an Instron Machine. The samples were visually inspected to analyze the fracture mode.</p><p><strong>Results: </strong>The highest fracture resistance was observed in intact teeth (1299.98 ± 284.66 MPa). Placing Ribbond fibers in the pulpal floor (1155.86 ± 244.21 MPa) or the proximal walls (1077.56 ± 260.60 MPa) significantly improved fracture resistance (<i>p</i>= <0.05), compared to cavities restored with only resin composite (804.58 ± 93.34 MPa). However, placing Ribbond fibers in both the pulpal and proximal walls did not enhance fracture resistance. In the MOD-RCT groups, fracture resistance was improved only when Ribbond fibers were placed in the pulpal floor and the proximal walls. Fracture mode analysis revealed a combined fracture in most of the groups.</p><p><strong>Conclusion: </strong>This study concluded that using FRCs significantly improved the fracture resistance of MOD cavities in premolars and revealed that the placement site could be a determinant factor.</p>\",\"PeriodicalId\":10445,\"journal\":{\"name\":\"Clinical, Cosmetic and Investigational Dentistry\",\"volume\":\"16 \",\"pages\":\"255-266\"},\"PeriodicalIF\":1.8000,\"publicationDate\":\"2024-07-08\",\"publicationTypes\":\"Journal Article\",\"fieldsOfStudy\":null,\"isOpenAccess\":false,\"openAccessPdf\":\"https://www.ncbi.nlm.nih.gov/pmc/articles/PMC11244617/pdf/\",\"citationCount\":\"0\",\"resultStr\":null,\"platform\":\"Semanticscholar\",\"paperid\":null,\"PeriodicalName\":\"Clinical, Cosmetic and Investigational Dentistry\",\"FirstCategoryId\":\"1085\",\"ListUrlMain\":\"https://doi.org/10.2147/CCIDE.S461134\",\"RegionNum\":0,\"RegionCategory\":null,\"ArticlePicture\":[],\"TitleCN\":null,\"AbstractTextCN\":null,\"PMCID\":null,\"EPubDate\":\"2024/1/1 0:00:00\",\"PubModel\":\"eCollection\",\"JCR\":\"Q3\",\"JCRName\":\"DENTISTRY, ORAL SURGERY & MEDICINE\",\"Score\":null,\"Total\":0}","platform":"Semanticscholar","paperid":null,"PeriodicalName":"Clinical, Cosmetic and Investigational Dentistry","FirstCategoryId":"1085","ListUrlMain":"https://doi.org/10.2147/CCIDE.S461134","RegionNum":0,"RegionCategory":null,"ArticlePicture":[],"TitleCN":null,"AbstractTextCN":null,"PMCID":null,"EPubDate":"2024/1/1 0:00:00","PubModel":"eCollection","JCR":"Q3","JCRName":"DENTISTRY, ORAL SURGERY & MEDICINE","Score":null,"Total":0}
引用次数: 0

摘要

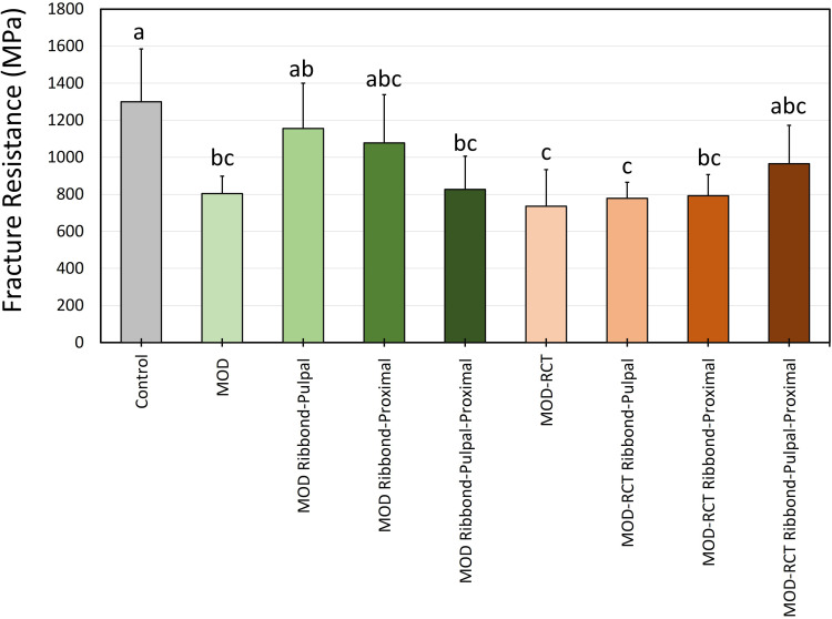
背景:本研究旨在探讨用不同方向的 Ribbond 树脂增强纤维(FRCs)修复深 MOD 龋洞的上前牙的断裂行为:本研究旨在调查用不同方向放置的 Ribbond 树脂增强纤维(FRC)修复的深 MOD 腔上前磨牙的断裂行为:方法:将 54 颗拔出的上颌前磨牙随机分为 9 组。实验组进行 MOD 牙洞预备,同时进行或不进行根管治疗,然后在牙髓底层、近侧壁或两者都放置 FRC。使用 Instron 机测试抗折性。对样品进行目视检查,分析断裂模式:结果:完整牙齿的抗断裂强度最高(1299.98 ± 284.66 兆帕)。在牙髓底层(1155.86 ± 244.21 MPa)或近侧壁(1077.56 ± 260.60 MPa)放置 Ribbond 纤维可显著提高抗折性(p= 结论:在牙髓底层和近侧壁放置 Ribbond 纤维可提高抗折性:本研究得出结论,使用 FRCs 能明显改善前臼齿 MOD 腔的抗折性,并揭示了放置部位可能是一个决定性因素。
本文章由计算机程序翻译,如有差异,请以英文原文为准。

Effect of Fiber-Reinforced Composite Placement Site on Fracture Resistance of Premolar Teeth: An in vitro Study.

Effect of Fiber-Reinforced Composite Placement Site on Fracture Resistance of Premolar Teeth: An in vitro Study.

Effect of Fiber-Reinforced Composite Placement Site on Fracture Resistance of Premolar Teeth: An in vitro Study.

Effect of Fiber-Reinforced Composite Placement Site on Fracture Resistance of Premolar Teeth: An in vitro Study.

Background: This study aimed to investigate the fracture behavior of upper premolars with deep MOD cavities that were restored with Ribbond resin-reinforced fibers (FRCs) placed in different orientations.

Methods: A total of 54 extracted maxillary premolars were randomly divided into nine groups. The experimental groups underwent MOD cavity preparation with or without root canal treatment, followed by FRCs placed in the pulpal floor, proximal walls, or both. Fracture resistance was tested using an Instron Machine. The samples were visually inspected to analyze the fracture mode.

Results: The highest fracture resistance was observed in intact teeth (1299.98 ± 284.66 MPa). Placing Ribbond fibers in the pulpal floor (1155.86 ± 244.21 MPa) or the proximal walls (1077.56 ± 260.60 MPa) significantly improved fracture resistance (p= <0.05), compared to cavities restored with only resin composite (804.58 ± 93.34 MPa). However, placing Ribbond fibers in both the pulpal and proximal walls did not enhance fracture resistance. In the MOD-RCT groups, fracture resistance was improved only when Ribbond fibers were placed in the pulpal floor and the proximal walls. Fracture mode analysis revealed a combined fracture in most of the groups.

Conclusion: This study concluded that using FRCs significantly improved the fracture resistance of MOD cavities in premolars and revealed that the placement site could be a determinant factor.

求助全文
通过发布文献求助,成功后即可免费获取论文全文。 去求助
来源期刊
CiteScore
3.90
自引率
5.60%
发文量
43
审稿时长
16 weeks
×
引用
GB/T 7714-2015
复制
MLA
复制
APA
复制
导出至
BibTeX EndNote RefMan NoteFirst NoteExpress
×
提示
您的信息不完整,为了账户安全,请先补充。
现在去补充
×
提示
您因"违规操作"
具体请查看互助需知
我知道了
×
提示
确定
请完成安全验证×
copy
已复制链接
快去分享给好友吧!
我知道了
右上角分享
点击右上角分享
0
联系我们:info@booksci.cn Book学术提供免费学术资源搜索服务,方便国内外学者检索中英文文献。致力于提供最便捷和优质的服务体验。 Copyright © 2023 布克学术 All rights reserved.
京ICP备2023020795号-1
ghs 京公网安备 11010802042870号
Book学术文献互助
Book学术文献互助群
群 号:604180095
Book学术官方微信