大麻素大麻二酚、Δ9-四氢大麻酚、N-水杨酰乙醇胺和 2-水杨酰甘油的直接靶标综述。

IF 2.7 Q2 NEUROSCIENCES
AIMS Neuroscience Pub Date : 2024-04-30 eCollection Date: 2024-01-01 DOI:10.3934/Neuroscience.2024009
Nicholas J D Wright
{"title":"大麻素大麻二酚、Δ9-四氢大麻酚、N-水杨酰乙醇胺和 2-水杨酰甘油的直接靶标综述。","authors":"Nicholas J D Wright","doi":"10.3934/Neuroscience.2024009","DOIUrl":null,"url":null,"abstract":"<p><p>Marijuana has been used by humans for thousands of years for both medicinal and recreational purposes. This included the treatment of pain, inflammation, seizures, and nausea. In the 1960s, the structure of the principal psychoactive ingredient Δ9-tetrahydrocannabinol was determined, and over the next few decades, two cannabinoid receptors were characterized along with the human endocannabinoid system and what it affects. This includes metabolism, the cardiovascular and reproductive systems, and it is involved in such conditions as inflammation, cancer, glaucoma, and liver and musculoskeletal disorders. In the central nervous system, the endocannabinoid system has been linked to appetite, learning, memory, and conditions such as depression, anxiety, schizophrenia, stroke, multiple sclerosis, neurodegeneration, addiction, and epilepsy. It was the profound effectiveness of cannabidiol, a non-psychoactive ingredient of marijuana, to relieve the symptoms of Dravet syndrome, a severe form of childhood epilepsy, that recently helped spur marijuana research. This has helped substantially to change society's attitude towards this potential source of useful drugs. However, research has also revealed that the actions of endocannabinoids, such as anandamide and 2-arachidonoylglycerol, and the phytocannabinoids, tetrahydrocannabinol and cannabidiol, were not just due to interactions with the two cannabinoid receptors but by acting directly on many other targets including various G-protein receptors and cation channels, such as the transient receptor potential channels for example. This mini-review attempts to survey the effects of these 4 important cannabinoids on these currently identified targets.</p>","PeriodicalId":7732,"journal":{"name":"AIMS Neuroscience","volume":"11 2","pages":"144-165"},"PeriodicalIF":2.7000,"publicationDate":"2024-04-30","publicationTypes":"Journal Article","fieldsOfStudy":null,"isOpenAccess":false,"openAccessPdf":"https://www.ncbi.nlm.nih.gov/pmc/articles/PMC11230856/pdf/","citationCount":"0","resultStr":"{\"title\":\"A review of the direct targets of the cannabinoids cannabidiol, Δ9-tetrahydrocannabinol, N-arachidonoylethanolamine and 2-arachidonoylglycerol.\",\"authors\":\"Nicholas J D Wright\",\"doi\":\"10.3934/Neuroscience.2024009\",\"DOIUrl\":null,\"url\":null,\"abstract\":\"<p><p>Marijuana has been used by humans for thousands of years for both medicinal and recreational purposes. This included the treatment of pain, inflammation, seizures, and nausea. In the 1960s, the structure of the principal psychoactive ingredient Δ9-tetrahydrocannabinol was determined, and over the next few decades, two cannabinoid receptors were characterized along with the human endocannabinoid system and what it affects. This includes metabolism, the cardiovascular and reproductive systems, and it is involved in such conditions as inflammation, cancer, glaucoma, and liver and musculoskeletal disorders. In the central nervous system, the endocannabinoid system has been linked to appetite, learning, memory, and conditions such as depression, anxiety, schizophrenia, stroke, multiple sclerosis, neurodegeneration, addiction, and epilepsy. It was the profound effectiveness of cannabidiol, a non-psychoactive ingredient of marijuana, to relieve the symptoms of Dravet syndrome, a severe form of childhood epilepsy, that recently helped spur marijuana research. This has helped substantially to change society's attitude towards this potential source of useful drugs. However, research has also revealed that the actions of endocannabinoids, such as anandamide and 2-arachidonoylglycerol, and the phytocannabinoids, tetrahydrocannabinol and cannabidiol, were not just due to interactions with the two cannabinoid receptors but by acting directly on many other targets including various G-protein receptors and cation channels, such as the transient receptor potential channels for example. This mini-review attempts to survey the effects of these 4 important cannabinoids on these currently identified targets.</p>\",\"PeriodicalId\":7732,\"journal\":{\"name\":\"AIMS Neuroscience\",\"volume\":\"11 2\",\"pages\":\"144-165\"},\"PeriodicalIF\":2.7000,\"publicationDate\":\"2024-04-30\",\"publicationTypes\":\"Journal Article\",\"fieldsOfStudy\":null,\"isOpenAccess\":false,\"openAccessPdf\":\"https://www.ncbi.nlm.nih.gov/pmc/articles/PMC11230856/pdf/\",\"citationCount\":\"0\",\"resultStr\":null,\"platform\":\"Semanticscholar\",\"paperid\":null,\"PeriodicalName\":\"AIMS Neuroscience\",\"FirstCategoryId\":\"1085\",\"ListUrlMain\":\"https://doi.org/10.3934/Neuroscience.2024009\",\"RegionNum\":0,\"RegionCategory\":null,\"ArticlePicture\":[],\"TitleCN\":null,\"AbstractTextCN\":null,\"PMCID\":null,\"EPubDate\":\"2024/1/1 0:00:00\",\"PubModel\":\"eCollection\",\"JCR\":\"Q2\",\"JCRName\":\"NEUROSCIENCES\",\"Score\":null,\"Total\":0}","platform":"Semanticscholar","paperid":null,"PeriodicalName":"AIMS Neuroscience","FirstCategoryId":"1085","ListUrlMain":"https://doi.org/10.3934/Neuroscience.2024009","RegionNum":0,"RegionCategory":null,"ArticlePicture":[],"TitleCN":null,"AbstractTextCN":null,"PMCID":null,"EPubDate":"2024/1/1 0:00:00","PubModel":"eCollection","JCR":"Q2","JCRName":"NEUROSCIENCES","Score":null,"Total":0}
引用次数: 0

摘要

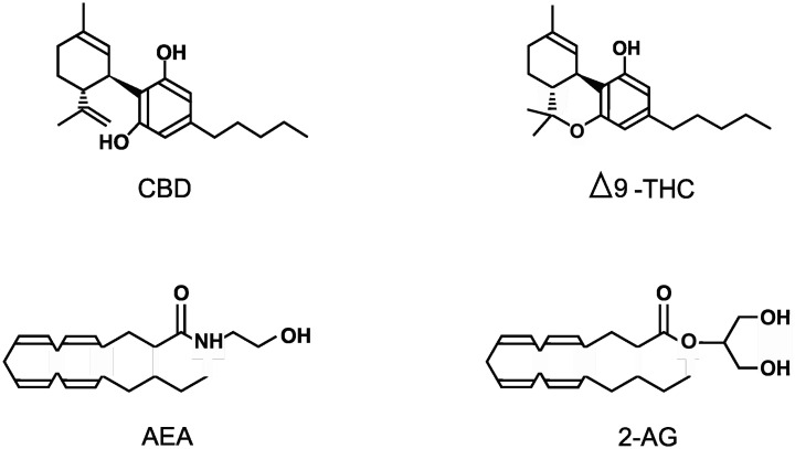
数千年来,人类一直将大麻用于医疗和娱乐目的。这包括治疗疼痛、炎症、癫痫发作和恶心。20 世纪 60 年代,人们确定了大麻的主要精神活性成分Δ9-四氢大麻酚的结构,在接下来的几十年里,人们确定了两种大麻素受体的特征,以及人体内源性大麻素系统及其影响。这包括新陈代谢、心血管和生殖系统,还涉及炎症、癌症、青光眼、肝脏和肌肉骨骼疾病等。在中枢神经系统中,内大麻素系统与食欲、学习、记忆以及抑郁症、焦虑症、精神分裂症、中风、多发性硬化症、神经变性、成瘾和癫痫等疾病有关。大麻中的一种非精神活性成分大麻二酚对缓解严重的儿童癫痫--德雷维综合征的症状有显著效果,这也促进了大麻研究的发展。这大大有助于改变社会对这一潜在有用药物来源的态度。然而,研究还发现,内源性大麻素(如安乃近和 2-丙烯酰甘油)和植物大麻素(如四氢大麻酚和大麻二酚)的作用不仅仅是与两种大麻素受体相互作用,而是直接作用于许多其他靶点,包括各种 G 蛋白受体和阳离子通道,例如瞬时受体电位通道。这篇微型综述试图探讨这 4 种重要大麻素对这些目前已确定靶点的影响。
本文章由计算机程序翻译,如有差异,请以英文原文为准。

A review of the direct targets of the cannabinoids cannabidiol, Δ9-tetrahydrocannabinol, N-arachidonoylethanolamine and 2-arachidonoylglycerol.

A review of the direct targets of the cannabinoids cannabidiol, Δ9-tetrahydrocannabinol, N-arachidonoylethanolamine and 2-arachidonoylglycerol.

Marijuana has been used by humans for thousands of years for both medicinal and recreational purposes. This included the treatment of pain, inflammation, seizures, and nausea. In the 1960s, the structure of the principal psychoactive ingredient Δ9-tetrahydrocannabinol was determined, and over the next few decades, two cannabinoid receptors were characterized along with the human endocannabinoid system and what it affects. This includes metabolism, the cardiovascular and reproductive systems, and it is involved in such conditions as inflammation, cancer, glaucoma, and liver and musculoskeletal disorders. In the central nervous system, the endocannabinoid system has been linked to appetite, learning, memory, and conditions such as depression, anxiety, schizophrenia, stroke, multiple sclerosis, neurodegeneration, addiction, and epilepsy. It was the profound effectiveness of cannabidiol, a non-psychoactive ingredient of marijuana, to relieve the symptoms of Dravet syndrome, a severe form of childhood epilepsy, that recently helped spur marijuana research. This has helped substantially to change society's attitude towards this potential source of useful drugs. However, research has also revealed that the actions of endocannabinoids, such as anandamide and 2-arachidonoylglycerol, and the phytocannabinoids, tetrahydrocannabinol and cannabidiol, were not just due to interactions with the two cannabinoid receptors but by acting directly on many other targets including various G-protein receptors and cation channels, such as the transient receptor potential channels for example. This mini-review attempts to survey the effects of these 4 important cannabinoids on these currently identified targets.

求助全文
通过发布文献求助,成功后即可免费获取论文全文。 去求助
来源期刊
AIMS Neuroscience
AIMS Neuroscience NEUROSCIENCES-
CiteScore
4.20
自引率
0.00%
发文量
26
审稿时长
8 weeks
期刊介绍: AIMS Neuroscience is an international Open Access journal devoted to publishing peer-reviewed, high quality, original papers from all areas in the field of neuroscience. The primary focus is to provide a forum in which to expedite the speed with which theoretical neuroscience progresses toward generating testable hypotheses. In the presence of current and developing technology that offers unprecedented access to functions of the nervous system at all levels, the journal is designed to serve the role of providing the widest variety of the best theoretical views leading to suggested studies. Single blind peer review is provided for all articles and commentaries.
×
引用
GB/T 7714-2015
复制
MLA
复制
APA
复制
导出至
BibTeX EndNote RefMan NoteFirst NoteExpress
×
提示
您的信息不完整,为了账户安全,请先补充。
现在去补充
×
提示
您因"违规操作"
具体请查看互助需知
我知道了
×
提示
确定
请完成安全验证×
copy
已复制链接
快去分享给好友吧!
我知道了
右上角分享
点击右上角分享
0
联系我们:info@booksci.cn Book学术提供免费学术资源搜索服务,方便国内外学者检索中英文文献。致力于提供最便捷和优质的服务体验。 Copyright © 2023 布克学术 All rights reserved.
京ICP备2023020795号-1
ghs 京公网安备 11010802042870号
Book学术文献互助
Book学术文献互助群
群 号:604180095
Book学术官方微信