骨盆环 B/C 型骨折的临床相关因素;一项回顾性横断面研究。

IF 2 Q1 EMERGENCY MEDICINE
Archives of Academic Emergency Medicine Pub Date : 2024-05-12 eCollection Date: 2024-01-01 DOI:10.22037/aaem.v12i1.2243
Welawat Tienpratarn, Nucha Nakpipat, Chaiyaporn Yuksen, Sirote Wongwaisayawan, Yuranun Phootothum, Sutap Jaiboon
{"title":"骨盆环 B/C 型骨折的临床相关因素;一项回顾性横断面研究。","authors":"Welawat Tienpratarn, Nucha Nakpipat, Chaiyaporn Yuksen, Sirote Wongwaisayawan, Yuranun Phootothum, Sutap Jaiboon","doi":"10.22037/aaem.v12i1.2243","DOIUrl":null,"url":null,"abstract":"<p><strong>Introduction: </strong>Pelvic ring fractures categorized under Tile Categories B and C denote partially and fully unstable fractures, respectively. This study aimed to identify the clinically associated factors of Tile B/C pelvic ring fractures.</p><p><strong>Methods: </strong>This retrospective cross-sectional study reviewed medical records from the Emergency Medicine department at Ramathibodi Hospital in Bangkok, Thailand. The study included individuals aged ≥ 15 who experienced accidents from 2012 to 2021. To investigate the associations between the clinical variables and three critical outcomes, including Tile B/C pelvic ring fractures, major vascular injuries, and the necessity for surgical or radiological interventions, multivariable logistic regression analysis was employed.</p><p><strong>Results: </strong>A total of 198 patients were included in the study, among whom 34.8% were diagnosed with Tile B/C pelvic ring fractures. The analysis revealed several significant predictors of Tile B/C fractures, including the presence of pelvic tenderness (adjusted odds ratio [aOR] = 15.25, 95% confidence interval [CI] = 5.86-39.66, p < 0.001), and a shock index (SI) ≥1 (aOR = 4.2, 95% CI = 1.24-14.22, p = 0.021). Moreover, Tile B/C pelvic ring fractures were associated with an increased incidence of major vascular events and the imperative requirement for surgical or radiological interventions.</p><p><strong>Conclusion: </strong>Clinical findings of pelvic tenderness and an SI ≥1 are strong predictive clinical factors associated with Tile B/C pelvic fractures. Early diagnosis, application of an pelvic binder, provision of initial resuscitation, and prompt transportation to a definitive care facility are crucial components of management.</p>","PeriodicalId":8146,"journal":{"name":"Archives of Academic Emergency Medicine","volume":"12 1","pages":"e49"},"PeriodicalIF":2.0000,"publicationDate":"2024-05-12","publicationTypes":"Journal Article","fieldsOfStudy":null,"isOpenAccess":false,"openAccessPdf":"https://www.ncbi.nlm.nih.gov/pmc/articles/PMC11221820/pdf/","citationCount":"0","resultStr":"{\"title\":\"Clinical Associated Factors of Tile B/C Type of Pelvic Ring Fractures; a Retrospective Cross-sectional study.\",\"authors\":\"Welawat Tienpratarn, Nucha Nakpipat, Chaiyaporn Yuksen, Sirote Wongwaisayawan, Yuranun Phootothum, Sutap Jaiboon\",\"doi\":\"10.22037/aaem.v12i1.2243\",\"DOIUrl\":null,\"url\":null,\"abstract\":\"<p><strong>Introduction: </strong>Pelvic ring fractures categorized under Tile Categories B and C denote partially and fully unstable fractures, respectively. This study aimed to identify the clinically associated factors of Tile B/C pelvic ring fractures.</p><p><strong>Methods: </strong>This retrospective cross-sectional study reviewed medical records from the Emergency Medicine department at Ramathibodi Hospital in Bangkok, Thailand. The study included individuals aged ≥ 15 who experienced accidents from 2012 to 2021. To investigate the associations between the clinical variables and three critical outcomes, including Tile B/C pelvic ring fractures, major vascular injuries, and the necessity for surgical or radiological interventions, multivariable logistic regression analysis was employed.</p><p><strong>Results: </strong>A total of 198 patients were included in the study, among whom 34.8% were diagnosed with Tile B/C pelvic ring fractures. The analysis revealed several significant predictors of Tile B/C fractures, including the presence of pelvic tenderness (adjusted odds ratio [aOR] = 15.25, 95% confidence interval [CI] = 5.86-39.66, p < 0.001), and a shock index (SI) ≥1 (aOR = 4.2, 95% CI = 1.24-14.22, p = 0.021). Moreover, Tile B/C pelvic ring fractures were associated with an increased incidence of major vascular events and the imperative requirement for surgical or radiological interventions.</p><p><strong>Conclusion: </strong>Clinical findings of pelvic tenderness and an SI ≥1 are strong predictive clinical factors associated with Tile B/C pelvic fractures. Early diagnosis, application of an pelvic binder, provision of initial resuscitation, and prompt transportation to a definitive care facility are crucial components of management.</p>\",\"PeriodicalId\":8146,\"journal\":{\"name\":\"Archives of Academic Emergency Medicine\",\"volume\":\"12 1\",\"pages\":\"e49\"},\"PeriodicalIF\":2.0000,\"publicationDate\":\"2024-05-12\",\"publicationTypes\":\"Journal Article\",\"fieldsOfStudy\":null,\"isOpenAccess\":false,\"openAccessPdf\":\"https://www.ncbi.nlm.nih.gov/pmc/articles/PMC11221820/pdf/\",\"citationCount\":\"0\",\"resultStr\":null,\"platform\":\"Semanticscholar\",\"paperid\":null,\"PeriodicalName\":\"Archives of Academic Emergency Medicine\",\"FirstCategoryId\":\"1085\",\"ListUrlMain\":\"https://doi.org/10.22037/aaem.v12i1.2243\",\"RegionNum\":0,\"RegionCategory\":null,\"ArticlePicture\":[],\"TitleCN\":null,\"AbstractTextCN\":null,\"PMCID\":null,\"EPubDate\":\"2024/1/1 0:00:00\",\"PubModel\":\"eCollection\",\"JCR\":\"Q1\",\"JCRName\":\"EMERGENCY MEDICINE\",\"Score\":null,\"Total\":0}","platform":"Semanticscholar","paperid":null,"PeriodicalName":"Archives of Academic Emergency Medicine","FirstCategoryId":"1085","ListUrlMain":"https://doi.org/10.22037/aaem.v12i1.2243","RegionNum":0,"RegionCategory":null,"ArticlePicture":[],"TitleCN":null,"AbstractTextCN":null,"PMCID":null,"EPubDate":"2024/1/1 0:00:00","PubModel":"eCollection","JCR":"Q1","JCRName":"EMERGENCY MEDICINE","Score":null,"Total":0}
引用次数: 0

摘要

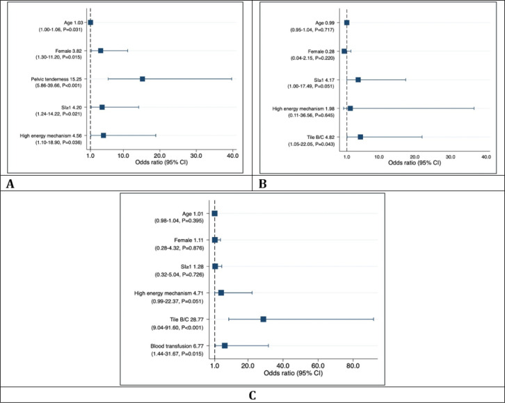
介绍:骨盆环骨折分为B类和C类,分别表示部分和完全不稳定骨折。本研究旨在确定 B/C 类骨盆环骨折的临床相关因素:这项回顾性横断面研究回顾了泰国曼谷拉玛提博迪医院急诊医学科的医疗记录。研究对象包括 2012 年至 2021 年期间发生事故的年龄≥ 15 岁的人。为了研究临床变量与三项重要结果(包括Tile B/C骨盆环骨折、主要血管损伤以及手术或放射介入的必要性)之间的关联,研究采用了多变量逻辑回归分析:研究共纳入了 198 名患者,其中 34.8% 被诊断为 B/C 型骨盆环骨折。分析结果显示,Tile B/C 骨盆环骨折有几个重要的预测因素,包括骨盆触痛(调整赔率[aOR]=15.25,95% 置信区间[CI]=5.86-39.66,p < 0.001)和休克指数(SI)≥1(aOR = 4.2,95% CI = 1.24-14.22,p = 0.021)。此外,Tile B/C 骨盆环骨折与主要血管事件发生率增加以及必须进行外科或放射介入治疗有关:结论:骨盆压痛和 SI≥1 是与 Tile B/C 骨盆骨折相关的强有力的临床预测因素。早期诊断、使用骨盆固定器、提供初步复苏以及迅速送往最终治疗机构是治疗的关键要素。
本文章由计算机程序翻译,如有差异,请以英文原文为准。

Clinical Associated Factors of Tile B/C Type of Pelvic Ring Fractures; a Retrospective Cross-sectional study.

Clinical Associated Factors of Tile B/C Type of Pelvic Ring Fractures; a Retrospective Cross-sectional study.

Introduction: Pelvic ring fractures categorized under Tile Categories B and C denote partially and fully unstable fractures, respectively. This study aimed to identify the clinically associated factors of Tile B/C pelvic ring fractures.

Methods: This retrospective cross-sectional study reviewed medical records from the Emergency Medicine department at Ramathibodi Hospital in Bangkok, Thailand. The study included individuals aged ≥ 15 who experienced accidents from 2012 to 2021. To investigate the associations between the clinical variables and three critical outcomes, including Tile B/C pelvic ring fractures, major vascular injuries, and the necessity for surgical or radiological interventions, multivariable logistic regression analysis was employed.

Results: A total of 198 patients were included in the study, among whom 34.8% were diagnosed with Tile B/C pelvic ring fractures. The analysis revealed several significant predictors of Tile B/C fractures, including the presence of pelvic tenderness (adjusted odds ratio [aOR] = 15.25, 95% confidence interval [CI] = 5.86-39.66, p < 0.001), and a shock index (SI) ≥1 (aOR = 4.2, 95% CI = 1.24-14.22, p = 0.021). Moreover, Tile B/C pelvic ring fractures were associated with an increased incidence of major vascular events and the imperative requirement for surgical or radiological interventions.

Conclusion: Clinical findings of pelvic tenderness and an SI ≥1 are strong predictive clinical factors associated with Tile B/C pelvic fractures. Early diagnosis, application of an pelvic binder, provision of initial resuscitation, and prompt transportation to a definitive care facility are crucial components of management.

求助全文
通过发布文献求助,成功后即可免费获取论文全文。 去求助
来源期刊
Archives of Academic Emergency Medicine
Archives of Academic Emergency Medicine Medicine-Emergency Medicine
CiteScore
8.90
自引率
7.40%
发文量
0
审稿时长
6 weeks
×
引用
GB/T 7714-2015
复制
MLA
复制
APA
复制
导出至
BibTeX EndNote RefMan NoteFirst NoteExpress
×
提示
您的信息不完整,为了账户安全,请先补充。
现在去补充
×
提示
您因"违规操作"
具体请查看互助需知
我知道了
×
提示
确定
请完成安全验证×
copy
已复制链接
快去分享给好友吧!
我知道了
右上角分享
点击右上角分享
0
联系我们:info@booksci.cn Book学术提供免费学术资源搜索服务,方便国内外学者检索中英文文献。致力于提供最便捷和优质的服务体验。 Copyright © 2023 布克学术 All rights reserved.
京ICP备2023020795号-1
ghs 京公网安备 11010802042870号
Book学术文献互助
Book学术文献互助群
群 号:604180095
Book学术官方微信