院外心脏骤停患者存活的相关因素;一项横断面研究。

IF 2 Q1 EMERGENCY MEDICINE
Archives of Academic Emergency Medicine Pub Date : 2024-05-09 eCollection Date: 2024-01-01 DOI:10.22037/aaem.v12i1.2298
Liang Ke, Pui I Ieong, Kaye E Brock, Elias Mpofu, Cheng Yin, Xiuhua Feng, Pou Kuan Kou, Chi Kun Mok, Wai Seng Lei
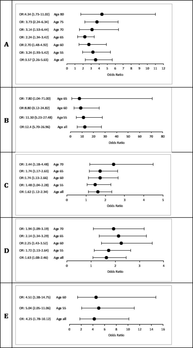
{"title":"院外心脏骤停患者存活的相关因素;一项横断面研究。","authors":"Liang Ke, Pui I Ieong, Kaye E Brock, Elias Mpofu, Cheng Yin, Xiuhua Feng, Pou Kuan Kou, Chi Kun Mok, Wai Seng Lei","doi":"10.22037/aaem.v12i1.2298","DOIUrl":null,"url":null,"abstract":"<p><strong>Introduction: </strong>Chinese populations have an increasingly high prevalence of cardiac arrest. This study aimed to investigate the prehospital associated factors of survival to hospital admission and discharge among out-of-hospital cardiac arrest (OHCA) adult cases in Macao Special Administrative Region (SAR), China.</p><p><strong>Methods: </strong>Baseline characteristics as well as prehospital factors of OHCA patients were collected from publicly accessible medical records and Macao Fire Services Bureau, China. Demographic and other prehospital OHCA characteristics of patients who survived to hospital admission and discharge were analyzed using multivariate logistic regression analysis.</p><p><strong>Results: </strong>A total of 904 cases with a mean age of 74.2±17.3 (range: 18-106) years were included (78%>65 years, 62% male). Initial shockable cardiac rhythm was the strongest predictor for survival to both hospital admission (OR=3.57, 95% CI: 2.26-5.63; p<0.001) and discharge (OR=12.40, 95% CI: 5.70-26.96; p<0.001). Being male (OR=1.63, 95% CI:1.08-2.46; p =0.021) and the lower emergency medical service (EMS) response time (OR=1.62, 95% CI: 1.12-2.34; p =0.010) were also associated with a 2-fold association with survival to hospital admission. In addition, access to prehospital defibrillation (OR=4.25, 95% CI: 1.78-10.12; p <0.001) had a 4-fold association with survival to hospital discharge. None of these associations substantively increased with age.</p><p><strong>Conclusion: </strong>The major OHCA predictors of survival were initial shockable cardiac rhythm, being male, lower EMS response time, and access to prehospital defibrillation. These findings indicate a need for increased public awareness and more education.</p>","PeriodicalId":8146,"journal":{"name":"Archives of Academic Emergency Medicine","volume":"12 1","pages":"e48"},"PeriodicalIF":2.0000,"publicationDate":"2024-05-09","publicationTypes":"Journal Article","fieldsOfStudy":null,"isOpenAccess":false,"openAccessPdf":"https://www.ncbi.nlm.nih.gov/pmc/articles/PMC11221822/pdf/","citationCount":"0","resultStr":"{\"title\":\"Associated Factors of Patients' Survival in Out of Hospital Cardiac Arrest; a Cross-sectional Study.\",\"authors\":\"Liang Ke, Pui I Ieong, Kaye E Brock, Elias Mpofu, Cheng Yin, Xiuhua Feng, Pou Kuan Kou, Chi Kun Mok, Wai Seng Lei\",\"doi\":\"10.22037/aaem.v12i1.2298\",\"DOIUrl\":null,\"url\":null,\"abstract\":\"<p><strong>Introduction: </strong>Chinese populations have an increasingly high prevalence of cardiac arrest. This study aimed to investigate the prehospital associated factors of survival to hospital admission and discharge among out-of-hospital cardiac arrest (OHCA) adult cases in Macao Special Administrative Region (SAR), China.</p><p><strong>Methods: </strong>Baseline characteristics as well as prehospital factors of OHCA patients were collected from publicly accessible medical records and Macao Fire Services Bureau, China. Demographic and other prehospital OHCA characteristics of patients who survived to hospital admission and discharge were analyzed using multivariate logistic regression analysis.</p><p><strong>Results: </strong>A total of 904 cases with a mean age of 74.2±17.3 (range: 18-106) years were included (78%>65 years, 62% male). Initial shockable cardiac rhythm was the strongest predictor for survival to both hospital admission (OR=3.57, 95% CI: 2.26-5.63; p<0.001) and discharge (OR=12.40, 95% CI: 5.70-26.96; p<0.001). Being male (OR=1.63, 95% CI:1.08-2.46; p =0.021) and the lower emergency medical service (EMS) response time (OR=1.62, 95% CI: 1.12-2.34; p =0.010) were also associated with a 2-fold association with survival to hospital admission. In addition, access to prehospital defibrillation (OR=4.25, 95% CI: 1.78-10.12; p <0.001) had a 4-fold association with survival to hospital discharge. None of these associations substantively increased with age.</p><p><strong>Conclusion: </strong>The major OHCA predictors of survival were initial shockable cardiac rhythm, being male, lower EMS response time, and access to prehospital defibrillation. These findings indicate a need for increased public awareness and more education.</p>\",\"PeriodicalId\":8146,\"journal\":{\"name\":\"Archives of Academic Emergency Medicine\",\"volume\":\"12 1\",\"pages\":\"e48\"},\"PeriodicalIF\":2.0000,\"publicationDate\":\"2024-05-09\",\"publicationTypes\":\"Journal Article\",\"fieldsOfStudy\":null,\"isOpenAccess\":false,\"openAccessPdf\":\"https://www.ncbi.nlm.nih.gov/pmc/articles/PMC11221822/pdf/\",\"citationCount\":\"0\",\"resultStr\":null,\"platform\":\"Semanticscholar\",\"paperid\":null,\"PeriodicalName\":\"Archives of Academic Emergency Medicine\",\"FirstCategoryId\":\"1085\",\"ListUrlMain\":\"https://doi.org/10.22037/aaem.v12i1.2298\",\"RegionNum\":0,\"RegionCategory\":null,\"ArticlePicture\":[],\"TitleCN\":null,\"AbstractTextCN\":null,\"PMCID\":null,\"EPubDate\":\"2024/1/1 0:00:00\",\"PubModel\":\"eCollection\",\"JCR\":\"Q1\",\"JCRName\":\"EMERGENCY MEDICINE\",\"Score\":null,\"Total\":0}","platform":"Semanticscholar","paperid":null,"PeriodicalName":"Archives of Academic Emergency Medicine","FirstCategoryId":"1085","ListUrlMain":"https://doi.org/10.22037/aaem.v12i1.2298","RegionNum":0,"RegionCategory":null,"ArticlePicture":[],"TitleCN":null,"AbstractTextCN":null,"PMCID":null,"EPubDate":"2024/1/1 0:00:00","PubModel":"eCollection","JCR":"Q1","JCRName":"EMERGENCY MEDICINE","Score":null,"Total":0}
引用次数: 0

摘要

导言中国人的心脏骤停发病率越来越高。本研究旨在调查中国澳门特别行政区院外心脏骤停(OHCA)成人病例入院和出院存活率的院前相关因素:方法:从公开的医疗记录和中国澳门消防局收集院外心脏骤停患者的基线特征和院前因素。采用多变量逻辑回归分析法,对入院和出院后存活的院前高危心梗患者的人口统计学特征和其他院前特征进行分析:结果:共纳入 904 例患者,平均年龄为 74.2±17.3(18-106)岁(78%>65 岁,62%为男性)。初始可电击心律是预测患者入院后存活率的最主要因素(OR=3.57,95% CI:2.26-5.63;p):预测 OHCA 患者存活率的主要因素包括初始可电击心律、男性、较短的急救响应时间以及院前除颤。这些发现表明,有必要提高公众意识并加强教育。
本文章由计算机程序翻译,如有差异,请以英文原文为准。

Associated Factors of Patients' Survival in Out of Hospital Cardiac Arrest; a Cross-sectional Study.

Associated Factors of Patients' Survival in Out of Hospital Cardiac Arrest; a Cross-sectional Study.

Associated Factors of Patients' Survival in Out of Hospital Cardiac Arrest; a Cross-sectional Study.

Associated Factors of Patients' Survival in Out of Hospital Cardiac Arrest; a Cross-sectional Study.

Introduction: Chinese populations have an increasingly high prevalence of cardiac arrest. This study aimed to investigate the prehospital associated factors of survival to hospital admission and discharge among out-of-hospital cardiac arrest (OHCA) adult cases in Macao Special Administrative Region (SAR), China.

Methods: Baseline characteristics as well as prehospital factors of OHCA patients were collected from publicly accessible medical records and Macao Fire Services Bureau, China. Demographic and other prehospital OHCA characteristics of patients who survived to hospital admission and discharge were analyzed using multivariate logistic regression analysis.

Results: A total of 904 cases with a mean age of 74.2±17.3 (range: 18-106) years were included (78%>65 years, 62% male). Initial shockable cardiac rhythm was the strongest predictor for survival to both hospital admission (OR=3.57, 95% CI: 2.26-5.63; p<0.001) and discharge (OR=12.40, 95% CI: 5.70-26.96; p<0.001). Being male (OR=1.63, 95% CI:1.08-2.46; p =0.021) and the lower emergency medical service (EMS) response time (OR=1.62, 95% CI: 1.12-2.34; p =0.010) were also associated with a 2-fold association with survival to hospital admission. In addition, access to prehospital defibrillation (OR=4.25, 95% CI: 1.78-10.12; p <0.001) had a 4-fold association with survival to hospital discharge. None of these associations substantively increased with age.

Conclusion: The major OHCA predictors of survival were initial shockable cardiac rhythm, being male, lower EMS response time, and access to prehospital defibrillation. These findings indicate a need for increased public awareness and more education.

求助全文
通过发布文献求助,成功后即可免费获取论文全文。 去求助
来源期刊
Archives of Academic Emergency Medicine
Archives of Academic Emergency Medicine Medicine-Emergency Medicine
CiteScore
8.90
自引率
7.40%
发文量
0
审稿时长
6 weeks
×
引用
GB/T 7714-2015
复制
MLA
复制
APA
复制
导出至
BibTeX EndNote RefMan NoteFirst NoteExpress
×
提示
您的信息不完整,为了账户安全,请先补充。
现在去补充
×
提示
您因"违规操作"
具体请查看互助需知
我知道了
×
提示
确定
请完成安全验证×
copy
已复制链接
快去分享给好友吧!
我知道了
右上角分享
点击右上角分享
0
联系我们:info@booksci.cn Book学术提供免费学术资源搜索服务,方便国内外学者检索中英文文献。致力于提供最便捷和优质的服务体验。 Copyright © 2023 布克学术 All rights reserved.
京ICP备2023020795号-1
ghs 京公网安备 11010802042870号
Book学术文献互助
Book学术文献互助群
群 号:604180095
Book学术官方微信