大鼠模型中不同位置输尿管手术结扎对肾脏随时间变化的影响

IF 2.3 Q3 UROLOGY & NEPHROLOGY
Advances in Urology Pub Date : 2024-06-06 eCollection Date: 2024-01-01 DOI:10.1155/2024/6611081
Abdolreza Mohammadi, Leila Zareian Baghdadabad, Parisa Zahmatkesh, Hedieh Moradi Tabriz, Alireza Khajavi, Gholamreza Mesbah, Parsa Nikoofar, Seyed Mohammad Kazem Aghamir
{"title":"大鼠模型中不同位置输尿管手术结扎对肾脏随时间变化的影响","authors":"Abdolreza Mohammadi, Leila Zareian Baghdadabad, Parisa Zahmatkesh, Hedieh Moradi Tabriz, Alireza Khajavi, Gholamreza Mesbah, Parsa Nikoofar, Seyed Mohammad Kazem Aghamir","doi":"10.1155/2024/6611081","DOIUrl":null,"url":null,"abstract":"<p><strong>Purpose: </strong>To evaluate the effects of the surgical ligation of the ureter in different locations on the kidney over time in the rat model.</p><p><strong>Methods: </strong>A total of 155 rats were enrolled and randomly divided into the case (<i>n</i> = 150) and control (<i>n</i> = 5) groups. The case group included three separate groups (fifty rats in each group) that underwent surgical ureteral ligation at the proximal, middle, and distal ureter. The laboratory tests, and tumor necrosis factor <i>α</i> (TNF-<i>α</i>), were measured in groups. The pathological evaluation for glomerular changes, tubular dilation, interstitial fibrosis, and interstitial infiltration of the inflammatory cells following the obstruction was performed (severity of tubular atrophy categorized too mild (+), moderate (++), and severe (+++)). To compare the continuous variables between the groups and between the measurement times, the analysis of variance (ANOVA) was used.</p><p><strong>Results: </strong>Our results revealed that the creatinine four weeks after the obstruction was significantly higher in the proximal group obstruction (<i>p</i> value: 0.046). The three groups had no significant differences regarding urine creatinine, serum sodium, and serum TNF (<i>p</i> value: 0.261). Obstruction did not change the glomerular morphology in three intervention groups after six weeks. The commencing of severe tubular atrophy in proximal, middle, and distal ureteral obstruction was at weeks three, four, and six, respectively.</p><p><strong>Conclusion: </strong>The location of ureteral obstruction is also crucial in deciding to intervene to relieve the complete ureteral obstruction. Severe tubular damage occurs in weeks three, four, and six in proximal, middle, and distal ureteral obstruction, respectively.</p>","PeriodicalId":7490,"journal":{"name":"Advances in Urology","volume":"2024 ","pages":"6611081"},"PeriodicalIF":2.3000,"publicationDate":"2024-06-06","publicationTypes":"Journal Article","fieldsOfStudy":null,"isOpenAccess":false,"openAccessPdf":"https://www.ncbi.nlm.nih.gov/pmc/articles/PMC11221982/pdf/","citationCount":"0","resultStr":"{\"title\":\"Effects of the Surgical Ligation of the Ureter in Different Locations on the Kidney over Time in the Rat Model.\",\"authors\":\"Abdolreza Mohammadi, Leila Zareian Baghdadabad, Parisa Zahmatkesh, Hedieh Moradi Tabriz, Alireza Khajavi, Gholamreza Mesbah, Parsa Nikoofar, Seyed Mohammad Kazem Aghamir\",\"doi\":\"10.1155/2024/6611081\",\"DOIUrl\":null,\"url\":null,\"abstract\":\"<p><strong>Purpose: </strong>To evaluate the effects of the surgical ligation of the ureter in different locations on the kidney over time in the rat model.</p><p><strong>Methods: </strong>A total of 155 rats were enrolled and randomly divided into the case (<i>n</i> = 150) and control (<i>n</i> = 5) groups. The case group included three separate groups (fifty rats in each group) that underwent surgical ureteral ligation at the proximal, middle, and distal ureter. The laboratory tests, and tumor necrosis factor <i>α</i> (TNF-<i>α</i>), were measured in groups. The pathological evaluation for glomerular changes, tubular dilation, interstitial fibrosis, and interstitial infiltration of the inflammatory cells following the obstruction was performed (severity of tubular atrophy categorized too mild (+), moderate (++), and severe (+++)). To compare the continuous variables between the groups and between the measurement times, the analysis of variance (ANOVA) was used.</p><p><strong>Results: </strong>Our results revealed that the creatinine four weeks after the obstruction was significantly higher in the proximal group obstruction (<i>p</i> value: 0.046). The three groups had no significant differences regarding urine creatinine, serum sodium, and serum TNF (<i>p</i> value: 0.261). Obstruction did not change the glomerular morphology in three intervention groups after six weeks. The commencing of severe tubular atrophy in proximal, middle, and distal ureteral obstruction was at weeks three, four, and six, respectively.</p><p><strong>Conclusion: </strong>The location of ureteral obstruction is also crucial in deciding to intervene to relieve the complete ureteral obstruction. Severe tubular damage occurs in weeks three, four, and six in proximal, middle, and distal ureteral obstruction, respectively.</p>\",\"PeriodicalId\":7490,\"journal\":{\"name\":\"Advances in Urology\",\"volume\":\"2024 \",\"pages\":\"6611081\"},\"PeriodicalIF\":2.3000,\"publicationDate\":\"2024-06-06\",\"publicationTypes\":\"Journal Article\",\"fieldsOfStudy\":null,\"isOpenAccess\":false,\"openAccessPdf\":\"https://www.ncbi.nlm.nih.gov/pmc/articles/PMC11221982/pdf/\",\"citationCount\":\"0\",\"resultStr\":null,\"platform\":\"Semanticscholar\",\"paperid\":null,\"PeriodicalName\":\"Advances in Urology\",\"FirstCategoryId\":\"1085\",\"ListUrlMain\":\"https://doi.org/10.1155/2024/6611081\",\"RegionNum\":0,\"RegionCategory\":null,\"ArticlePicture\":[],\"TitleCN\":null,\"AbstractTextCN\":null,\"PMCID\":null,\"EPubDate\":\"2024/1/1 0:00:00\",\"PubModel\":\"eCollection\",\"JCR\":\"Q3\",\"JCRName\":\"UROLOGY & NEPHROLOGY\",\"Score\":null,\"Total\":0}","platform":"Semanticscholar","paperid":null,"PeriodicalName":"Advances in Urology","FirstCategoryId":"1085","ListUrlMain":"https://doi.org/10.1155/2024/6611081","RegionNum":0,"RegionCategory":null,"ArticlePicture":[],"TitleCN":null,"AbstractTextCN":null,"PMCID":null,"EPubDate":"2024/1/1 0:00:00","PubModel":"eCollection","JCR":"Q3","JCRName":"UROLOGY & NEPHROLOGY","Score":null,"Total":0}
引用次数: 0

摘要

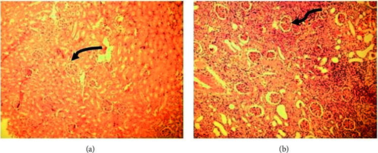
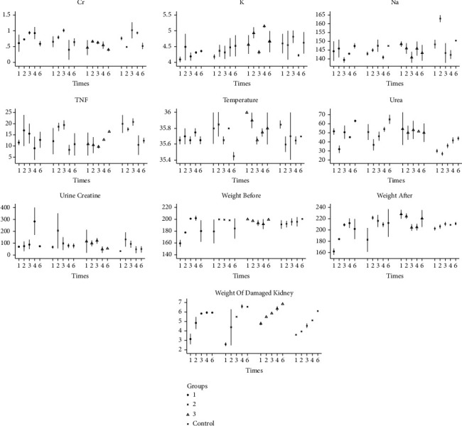
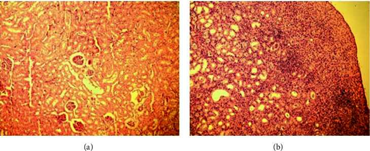
目的:在大鼠模型中评估不同位置的输尿管结扎手术对肾脏的长期影响:方法:共招募 155 只大鼠,随机分为病例组(n = 150)和对照组(n = 5)。病例组包括三组(每组 50 只),分别在输尿管近端、中间和远端进行手术结扎。各组均进行了实验室检查和肿瘤坏死因子α(TNF-α)测定。对梗阻后的肾小球变化、肾小管扩张、肾间质纤维化和炎症细胞间质浸润进行病理评估(肾小管萎缩的严重程度分为轻度(+)、中度(++)和重度(+++))。为了比较组间和测量时间间的连续变量,采用了方差分析(ANOVA):结果显示,近端阻塞组患者阻塞四周后的肌酐明显更高(P 值:0.046)。三组在尿肌酐、血清钠和血清 TNF 方面无明显差异(P 值:0.261)。六周后,阻塞没有改变三个干预组的肾小球形态。输尿管近端、中间和远端梗阻的肾小管开始严重萎缩的时间分别为第三周、四周和六周:结论:输尿管梗阻的位置也是决定是否干预以缓解完全性输尿管梗阻的关键。输尿管近端、中间和远端梗阻的严重肾小管损伤分别发生在第 3、4 和 6 周。
本文章由计算机程序翻译,如有差异,请以英文原文为准。

Effects of the Surgical Ligation of the Ureter in Different Locations on the Kidney over Time in the Rat Model.

Effects of the Surgical Ligation of the Ureter in Different Locations on the Kidney over Time in the Rat Model.

Effects of the Surgical Ligation of the Ureter in Different Locations on the Kidney over Time in the Rat Model.

Effects of the Surgical Ligation of the Ureter in Different Locations on the Kidney over Time in the Rat Model.

Purpose: To evaluate the effects of the surgical ligation of the ureter in different locations on the kidney over time in the rat model.

Methods: A total of 155 rats were enrolled and randomly divided into the case (n = 150) and control (n = 5) groups. The case group included three separate groups (fifty rats in each group) that underwent surgical ureteral ligation at the proximal, middle, and distal ureter. The laboratory tests, and tumor necrosis factor α (TNF-α), were measured in groups. The pathological evaluation for glomerular changes, tubular dilation, interstitial fibrosis, and interstitial infiltration of the inflammatory cells following the obstruction was performed (severity of tubular atrophy categorized too mild (+), moderate (++), and severe (+++)). To compare the continuous variables between the groups and between the measurement times, the analysis of variance (ANOVA) was used.

Results: Our results revealed that the creatinine four weeks after the obstruction was significantly higher in the proximal group obstruction (p value: 0.046). The three groups had no significant differences regarding urine creatinine, serum sodium, and serum TNF (p value: 0.261). Obstruction did not change the glomerular morphology in three intervention groups after six weeks. The commencing of severe tubular atrophy in proximal, middle, and distal ureteral obstruction was at weeks three, four, and six, respectively.

Conclusion: The location of ureteral obstruction is also crucial in deciding to intervene to relieve the complete ureteral obstruction. Severe tubular damage occurs in weeks three, four, and six in proximal, middle, and distal ureteral obstruction, respectively.

求助全文
通过发布文献求助,成功后即可免费获取论文全文。 去求助
来源期刊
Advances in Urology
Advances in Urology UROLOGY & NEPHROLOGY-
CiteScore
2.90
自引率
0.00%
发文量
17
审稿时长
15 weeks
期刊介绍: Advances in Urology is a peer-reviewed, open access journal that publishes state-of-the-art reviews and original research papers of wide interest in all fields of urology. The journal strives to provide publication of important manuscripts to the widest possible audience worldwide, without the constraints of expensive, hard-to-access, traditional bound journals. Advances in Urology is designed to improve publication access of both well-established urologic scientists and less well-established writers, by allowing interested scientists worldwide to participate fully.
×
引用
GB/T 7714-2015
复制
MLA
复制
APA
复制
导出至
BibTeX EndNote RefMan NoteFirst NoteExpress
×
提示
您的信息不完整,为了账户安全,请先补充。
现在去补充
×
提示
您因"违规操作"
具体请查看互助需知
我知道了
×
提示
确定
请完成安全验证×
copy
已复制链接
快去分享给好友吧!
我知道了
右上角分享
点击右上角分享
0
联系我们:info@booksci.cn Book学术提供免费学术资源搜索服务,方便国内外学者检索中英文文献。致力于提供最便捷和优质的服务体验。 Copyright © 2023 布克学术 All rights reserved.
京ICP备2023020795号-1
ghs 京公网安备 11010802042870号
Book学术文献互助
Book学术文献互助群
群 号:604180095
Book学术官方微信