基线中性粒细胞与淋巴细胞比率是预测住院支气管扩张症恶化风险反应的指标。

IF 1.4 Q3 RESPIRATORY SYSTEM
European Clinical Respiratory Journal Pub Date : 2024-06-27 eCollection Date: 2024-01-01 DOI:10.1080/20018525.2024.2372901
Wang Chun Kwok, James Chung Man Ho, David Chi Leung Lam, Mary Sau Man Ip, Terence Chi Chun Tam
{"title":"基线中性粒细胞与淋巴细胞比率是预测住院支气管扩张症恶化风险反应的指标。","authors":"Wang Chun Kwok, James Chung Man Ho, David Chi Leung Lam, Mary Sau Man Ip, Terence Chi Chun Tam","doi":"10.1080/20018525.2024.2372901","DOIUrl":null,"url":null,"abstract":"<p><strong>Background: </strong>Bronchiectasis is a disease with predominantly neutrophilic inflammation. As a readily available biomarker, there is little evidence to support the use of blood neutrophil-to-lymphocyte ratio (NLR) to predict bronchiectasis exacerbation severe enough to warrant hospitalization.</p><p><strong>Methods: </strong>A registry-based retrospective cohort study was conducted at a in Hong Kong. Chinese patients with non-cystic fibrosis (CF) bronchiectasis were retrospectively reviewed and subsequently followed up to investigate the association of NLR and the need for hospitalization for bronchiectasis exacerbation. Data on the NLR for patients in a clinically stable state in 2018 were collected and patients followed up from 1 January 2019 to 31 December 2022. The primary outcome was the need for hospitalization due to bronchiectasis exacerbation over the next 4 years.</p><p><strong>Results: </strong>We reviewed 473 Chinese patients with non-CF bronchiectasis, of whom 94 required hospitalization for bronchiectasis exacerbation during the 4-year follow-up period. Multi-variable logistic regression adjusted for E-FACED score (Exacerbation, Forced expiratory volume in 1 s (FEV<sub>1</sub>), Age, Chronic colonization, Extension, and Dyspnea score), gender, age, smoking status, and presence of co-existing chronic obstructive pulmonary disease (COPD) was conducted to compare patients with highest and lowest quartile NLR. Results revealed that those with NLR at the highest quartile were at increased risk of hospitalization for bronchiectasis exacerbation with an adjusted odds ratio (aOR) of 2.02 (95% confidence interval = 1.00-4.12, <i>p</i> = 0.05).</p><p><strong>Conclusion: </strong>Blood NLR may serve as a marker to predict the need for hospitalization due to bronchiectasis exacerbation.</p>","PeriodicalId":11872,"journal":{"name":"European Clinical Respiratory Journal","volume":"11 1","pages":"2372901"},"PeriodicalIF":1.4000,"publicationDate":"2024-06-27","publicationTypes":"Journal Article","fieldsOfStudy":null,"isOpenAccess":false,"openAccessPdf":"https://www.ncbi.nlm.nih.gov/pmc/articles/PMC11212557/pdf/","citationCount":"0","resultStr":"{\"title\":\"Baseline neutrophil-to-lymphocyte ratio as a predictor of response to hospitalized bronchiectasis exacerbation risks.\",\"authors\":\"Wang Chun Kwok, James Chung Man Ho, David Chi Leung Lam, Mary Sau Man Ip, Terence Chi Chun Tam\",\"doi\":\"10.1080/20018525.2024.2372901\",\"DOIUrl\":null,\"url\":null,\"abstract\":\"<p><strong>Background: </strong>Bronchiectasis is a disease with predominantly neutrophilic inflammation. As a readily available biomarker, there is little evidence to support the use of blood neutrophil-to-lymphocyte ratio (NLR) to predict bronchiectasis exacerbation severe enough to warrant hospitalization.</p><p><strong>Methods: </strong>A registry-based retrospective cohort study was conducted at a in Hong Kong. Chinese patients with non-cystic fibrosis (CF) bronchiectasis were retrospectively reviewed and subsequently followed up to investigate the association of NLR and the need for hospitalization for bronchiectasis exacerbation. Data on the NLR for patients in a clinically stable state in 2018 were collected and patients followed up from 1 January 2019 to 31 December 2022. The primary outcome was the need for hospitalization due to bronchiectasis exacerbation over the next 4 years.</p><p><strong>Results: </strong>We reviewed 473 Chinese patients with non-CF bronchiectasis, of whom 94 required hospitalization for bronchiectasis exacerbation during the 4-year follow-up period. Multi-variable logistic regression adjusted for E-FACED score (Exacerbation, Forced expiratory volume in 1 s (FEV<sub>1</sub>), Age, Chronic colonization, Extension, and Dyspnea score), gender, age, smoking status, and presence of co-existing chronic obstructive pulmonary disease (COPD) was conducted to compare patients with highest and lowest quartile NLR. Results revealed that those with NLR at the highest quartile were at increased risk of hospitalization for bronchiectasis exacerbation with an adjusted odds ratio (aOR) of 2.02 (95% confidence interval = 1.00-4.12, <i>p</i> = 0.05).</p><p><strong>Conclusion: </strong>Blood NLR may serve as a marker to predict the need for hospitalization due to bronchiectasis exacerbation.</p>\",\"PeriodicalId\":11872,\"journal\":{\"name\":\"European Clinical Respiratory Journal\",\"volume\":\"11 1\",\"pages\":\"2372901\"},\"PeriodicalIF\":1.4000,\"publicationDate\":\"2024-06-27\",\"publicationTypes\":\"Journal Article\",\"fieldsOfStudy\":null,\"isOpenAccess\":false,\"openAccessPdf\":\"https://www.ncbi.nlm.nih.gov/pmc/articles/PMC11212557/pdf/\",\"citationCount\":\"0\",\"resultStr\":null,\"platform\":\"Semanticscholar\",\"paperid\":null,\"PeriodicalName\":\"European Clinical Respiratory Journal\",\"FirstCategoryId\":\"1085\",\"ListUrlMain\":\"https://doi.org/10.1080/20018525.2024.2372901\",\"RegionNum\":0,\"RegionCategory\":null,\"ArticlePicture\":[],\"TitleCN\":null,\"AbstractTextCN\":null,\"PMCID\":null,\"EPubDate\":\"2024/1/1 0:00:00\",\"PubModel\":\"eCollection\",\"JCR\":\"Q3\",\"JCRName\":\"RESPIRATORY SYSTEM\",\"Score\":null,\"Total\":0}","platform":"Semanticscholar","paperid":null,"PeriodicalName":"European Clinical Respiratory Journal","FirstCategoryId":"1085","ListUrlMain":"https://doi.org/10.1080/20018525.2024.2372901","RegionNum":0,"RegionCategory":null,"ArticlePicture":[],"TitleCN":null,"AbstractTextCN":null,"PMCID":null,"EPubDate":"2024/1/1 0:00:00","PubModel":"eCollection","JCR":"Q3","JCRName":"RESPIRATORY SYSTEM","Score":null,"Total":0}
引用次数: 0

摘要

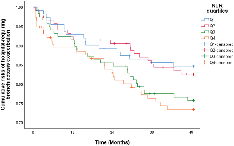
背景:支气管扩张症是一种以中性粒细胞炎症为主的疾病:支气管扩张症是一种以中性粒细胞炎症为主的疾病。血液中性粒细胞与淋巴细胞比值(NLR)作为一种现成的生物标志物,几乎没有证据支持其用于预测严重到需要住院治疗的支气管扩张加重情况:方法: 在香港一家医院开展了一项基于登记的回顾性队列研究。方法:在香港一家医院开展了一项以登记为基础的回顾性队列研究,对中国非囊性纤维化(CF)支气管扩张症患者进行了回顾性审查和后续随访,以调查NLR与支气管扩张症恶化住院需求的关联。收集了2018年临床状态稳定患者的NLR数据,并从2019年1月1日至2022年12月31日对患者进行了随访。主要结果是未来4年因支气管扩张加重而住院的需求:我们对473名中国非慢性支气管扩张症患者进行了随访,其中94人在4年随访期间因支气管扩张症加重而需要住院治疗。对 E-FACED 评分(恶化、1 秒内用力呼气容积(FEV1)、年龄、慢性定植、扩展和呼吸困难评分)、性别、年龄、吸烟状况和是否合并慢性阻塞性肺病(COPD)进行了多变量逻辑回归调整,以比较 NLR 最高和最低四分位数的患者。结果显示,NLR最高四分位数的患者因支气管扩张住院的风险增加,调整后的几率比(aOR)为2.02(95%置信区间=1.00-4.12,P=0.05):血液NLR可作为预测支气管扩张加重住院需求的标志物。
本文章由计算机程序翻译,如有差异,请以英文原文为准。

Baseline neutrophil-to-lymphocyte ratio as a predictor of response to hospitalized bronchiectasis exacerbation risks.

Baseline neutrophil-to-lymphocyte ratio as a predictor of response to hospitalized bronchiectasis exacerbation risks.

Baseline neutrophil-to-lymphocyte ratio as a predictor of response to hospitalized bronchiectasis exacerbation risks.

Baseline neutrophil-to-lymphocyte ratio as a predictor of response to hospitalized bronchiectasis exacerbation risks.

Background: Bronchiectasis is a disease with predominantly neutrophilic inflammation. As a readily available biomarker, there is little evidence to support the use of blood neutrophil-to-lymphocyte ratio (NLR) to predict bronchiectasis exacerbation severe enough to warrant hospitalization.

Methods: A registry-based retrospective cohort study was conducted at a in Hong Kong. Chinese patients with non-cystic fibrosis (CF) bronchiectasis were retrospectively reviewed and subsequently followed up to investigate the association of NLR and the need for hospitalization for bronchiectasis exacerbation. Data on the NLR for patients in a clinically stable state in 2018 were collected and patients followed up from 1 January 2019 to 31 December 2022. The primary outcome was the need for hospitalization due to bronchiectasis exacerbation over the next 4 years.

Results: We reviewed 473 Chinese patients with non-CF bronchiectasis, of whom 94 required hospitalization for bronchiectasis exacerbation during the 4-year follow-up period. Multi-variable logistic regression adjusted for E-FACED score (Exacerbation, Forced expiratory volume in 1 s (FEV1), Age, Chronic colonization, Extension, and Dyspnea score), gender, age, smoking status, and presence of co-existing chronic obstructive pulmonary disease (COPD) was conducted to compare patients with highest and lowest quartile NLR. Results revealed that those with NLR at the highest quartile were at increased risk of hospitalization for bronchiectasis exacerbation with an adjusted odds ratio (aOR) of 2.02 (95% confidence interval = 1.00-4.12, p = 0.05).

Conclusion: Blood NLR may serve as a marker to predict the need for hospitalization due to bronchiectasis exacerbation.

求助全文
通过发布文献求助,成功后即可免费获取论文全文。 去求助
来源期刊
CiteScore
3.80
自引率
0.00%
发文量
15
审稿时长
16 weeks
×
引用
GB/T 7714-2015
复制
MLA
复制
APA
复制
导出至
BibTeX EndNote RefMan NoteFirst NoteExpress
×
提示
您的信息不完整,为了账户安全,请先补充。
现在去补充
×
提示
您因"违规操作"
具体请查看互助需知
我知道了
×
提示
确定
请完成安全验证×
copy
已复制链接
快去分享给好友吧!
我知道了
右上角分享
点击右上角分享
0
联系我们:info@booksci.cn Book学术提供免费学术资源搜索服务,方便国内外学者检索中英文文献。致力于提供最便捷和优质的服务体验。 Copyright © 2023 布克学术 All rights reserved.
京ICP备2023020795号-1
ghs 京公网安备 11010802042870号
Book学术文献互助
Book学术文献互助群
群 号:604180095
Book学术官方微信