血浆肾素和肾素活性在预测脓毒性休克、低灌注或低血压患者死亡率和肾脏预后方面的诊断准确性:一项多中心、前瞻性、观察性研究。

IF 3.9 2区 医学 Q1 MEDICAL LABORATORY TECHNOLOGY
Annals of Laboratory Medicine Pub Date : 2024-11-01 Epub Date: 2024-06-24 DOI:10.3343/alm.2023.0425
Gun Tak Lee, Byuk Sung Ko, Da Seul Kim, Minha Kim, Jong Eun Park, Sung Yeon Hwang, Daun Jeong, Chi Ryang Chung, Hyunggoo Kang, Jaehoon Oh, Tae Ho Lim, Bora Chae, Won Young Kim, Tae Gun Shin
{"title":"血浆肾素和肾素活性在预测脓毒性休克、低灌注或低血压患者死亡率和肾脏预后方面的诊断准确性:一项多中心、前瞻性、观察性研究。","authors":"Gun Tak Lee, Byuk Sung Ko, Da Seul Kim, Minha Kim, Jong Eun Park, Sung Yeon Hwang, Daun Jeong, Chi Ryang Chung, Hyunggoo Kang, Jaehoon Oh, Tae Ho Lim, Bora Chae, Won Young Kim, Tae Gun Shin","doi":"10.3343/alm.2023.0425","DOIUrl":null,"url":null,"abstract":"<p><strong>Background: </strong>Lactate is a commonly used biomarker for sepsis, although it has limitations in certain cases, suggesting the need for novel biomarkers. We evaluated the diagnostic accuracy of plasma renin concentration and renin activity for mortality and kidney outcomes in patients with sepsis with hypoperfusion or hypotension.</p><p><strong>Methods: </strong>This was a multicenter, prospective, observational study of 117 patients with septic shock treated at three tertiary emergency departments between September 2021 and October 2022. The accuracy of renin activity, renin, and lactate concentrations in predicting 28-day mortality, acute kidney injury (AKI), and renal replacement requirement was assessed using the area under the ROC curve (AUC) analysis.</p><p><strong>Results: </strong>The AUCs of initial renin activity, renin, and lactate concentrations for predicting 28-day mortality were 0.66 (95% confidence interval [CI], 0.55-0.77), 0.63 (95% CI, 0.52-0.75), and 0.65 (95% CI, 0.53-0.77), respectively, and those at 24 hrs were 0.74 (95% CI, 0.62-0.86), 0.70 (95% CI, 0.56-0.83), and 0.67 (95% CI, 0.54-0.79). Renin concentrations and renin activity outperformed initial lactate concentrations in predicting AKI within 14 days. The AUCs of renin and lactate concentrations were 0.71 (95% CI, 0.61-0.80) and 0.57 (95% CI, 0.46-0.67), respectively (<i>P</i>=0.030). The AUC of renin activity (0.70; 95% CI, 0.60-0.80) was also higher than that of lactate concentration (<i>P</i>=0.044).</p><p><strong>Conclusions: </strong>Renin concentration and renin activity show comparable performance to lactate concentration in predicting 28-day mortality in patients with septic shock but superior performance in predicting AKI.</p>","PeriodicalId":8421,"journal":{"name":"Annals of Laboratory Medicine","volume":" ","pages":"497-506"},"PeriodicalIF":3.9000,"publicationDate":"2024-11-01","publicationTypes":"Journal Article","fieldsOfStudy":null,"isOpenAccess":false,"openAccessPdf":"https://www.ncbi.nlm.nih.gov/pmc/articles/PMC11375189/pdf/","citationCount":"0","resultStr":"{\"title\":\"Diagnostic Accuracy of Plasma Renin Concentration and Renin Activity in Predicting Mortality and Kidney Outcomes in Patients With Septic Shock and Hypoperfusion or Hypotension: A Multicenter, Prospective, Observational Study.\",\"authors\":\"Gun Tak Lee, Byuk Sung Ko, Da Seul Kim, Minha Kim, Jong Eun Park, Sung Yeon Hwang, Daun Jeong, Chi Ryang Chung, Hyunggoo Kang, Jaehoon Oh, Tae Ho Lim, Bora Chae, Won Young Kim, Tae Gun Shin\",\"doi\":\"10.3343/alm.2023.0425\",\"DOIUrl\":null,\"url\":null,\"abstract\":\"<p><strong>Background: </strong>Lactate is a commonly used biomarker for sepsis, although it has limitations in certain cases, suggesting the need for novel biomarkers. We evaluated the diagnostic accuracy of plasma renin concentration and renin activity for mortality and kidney outcomes in patients with sepsis with hypoperfusion or hypotension.</p><p><strong>Methods: </strong>This was a multicenter, prospective, observational study of 117 patients with septic shock treated at three tertiary emergency departments between September 2021 and October 2022. The accuracy of renin activity, renin, and lactate concentrations in predicting 28-day mortality, acute kidney injury (AKI), and renal replacement requirement was assessed using the area under the ROC curve (AUC) analysis.</p><p><strong>Results: </strong>The AUCs of initial renin activity, renin, and lactate concentrations for predicting 28-day mortality were 0.66 (95% confidence interval [CI], 0.55-0.77), 0.63 (95% CI, 0.52-0.75), and 0.65 (95% CI, 0.53-0.77), respectively, and those at 24 hrs were 0.74 (95% CI, 0.62-0.86), 0.70 (95% CI, 0.56-0.83), and 0.67 (95% CI, 0.54-0.79). Renin concentrations and renin activity outperformed initial lactate concentrations in predicting AKI within 14 days. The AUCs of renin and lactate concentrations were 0.71 (95% CI, 0.61-0.80) and 0.57 (95% CI, 0.46-0.67), respectively (<i>P</i>=0.030). The AUC of renin activity (0.70; 95% CI, 0.60-0.80) was also higher than that of lactate concentration (<i>P</i>=0.044).</p><p><strong>Conclusions: </strong>Renin concentration and renin activity show comparable performance to lactate concentration in predicting 28-day mortality in patients with septic shock but superior performance in predicting AKI.</p>\",\"PeriodicalId\":8421,\"journal\":{\"name\":\"Annals of Laboratory Medicine\",\"volume\":\" \",\"pages\":\"497-506\"},\"PeriodicalIF\":3.9000,\"publicationDate\":\"2024-11-01\",\"publicationTypes\":\"Journal Article\",\"fieldsOfStudy\":null,\"isOpenAccess\":false,\"openAccessPdf\":\"https://www.ncbi.nlm.nih.gov/pmc/articles/PMC11375189/pdf/\",\"citationCount\":\"0\",\"resultStr\":null,\"platform\":\"Semanticscholar\",\"paperid\":null,\"PeriodicalName\":\"Annals of Laboratory Medicine\",\"FirstCategoryId\":\"3\",\"ListUrlMain\":\"https://doi.org/10.3343/alm.2023.0425\",\"RegionNum\":2,\"RegionCategory\":\"医学\",\"ArticlePicture\":[],\"TitleCN\":null,\"AbstractTextCN\":null,\"PMCID\":null,\"EPubDate\":\"2024/6/24 0:00:00\",\"PubModel\":\"Epub\",\"JCR\":\"Q1\",\"JCRName\":\"MEDICAL LABORATORY TECHNOLOGY\",\"Score\":null,\"Total\":0}","platform":"Semanticscholar","paperid":null,"PeriodicalName":"Annals of Laboratory Medicine","FirstCategoryId":"3","ListUrlMain":"https://doi.org/10.3343/alm.2023.0425","RegionNum":2,"RegionCategory":"医学","ArticlePicture":[],"TitleCN":null,"AbstractTextCN":null,"PMCID":null,"EPubDate":"2024/6/24 0:00:00","PubModel":"Epub","JCR":"Q1","JCRName":"MEDICAL LABORATORY TECHNOLOGY","Score":null,"Total":0}
引用次数: 0

摘要

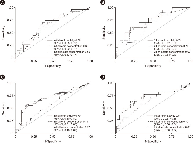
背景:乳酸是脓毒症常用的生物标志物,但在某些情况下有局限性,这表明需要新型生物标志物。我们评估了血浆肾素浓度和肾素活性对伴有低灌注或低血压的脓毒症患者死亡率和肾脏预后的诊断准确性:这是一项多中心、前瞻性、观察性研究,研究对象是2021年9月至2022年10月期间在三个三级急诊科接受治疗的117名脓毒性休克患者。采用ROC曲线下面积(AUC)分析法评估了肾素活性、肾素和乳酸浓度在预测28天死亡率、急性肾损伤(AKI)和肾替代需求方面的准确性:初始肾素活性、肾素和乳酸盐浓度预测 28 天死亡率的 AUC 分别为 0.66(95% 置信区间 [CI],0.55-0.77)、0.63(95% CI,0.52-0.75)和 0.65(95% CI,0.53-0.77),24 小时的预测值分别为 0.74(95% CI,0.62-0.86)、0.70(95% CI,0.56-0.83)和 0.67(95% CI,0.54-0.79)。在预测 14 天内 AKI 方面,肾素浓度和肾素活性优于初始乳酸浓度。肾素浓度和乳酸浓度的AUC分别为0.71(95% CI,0.61-0.80)和0.57(95% CI,0.46-0.67)(P=0.030)。肾素活性的AUC(0.70;95% CI,0.60-0.80)也高于乳酸浓度的AUC(P=0.044):结论:肾素浓度和肾素活性在预测脓毒性休克患者28天死亡率方面的表现与乳酸浓度相当,但在预测AKI方面表现更优。
本文章由计算机程序翻译,如有差异,请以英文原文为准。

Diagnostic Accuracy of Plasma Renin Concentration and Renin Activity in Predicting Mortality and Kidney Outcomes in Patients With Septic Shock and Hypoperfusion or Hypotension: A Multicenter, Prospective, Observational Study.

Diagnostic Accuracy of Plasma Renin Concentration and Renin Activity in Predicting Mortality and Kidney Outcomes in Patients With Septic Shock and Hypoperfusion or Hypotension: A Multicenter, Prospective, Observational Study.

Diagnostic Accuracy of Plasma Renin Concentration and Renin Activity in Predicting Mortality and Kidney Outcomes in Patients With Septic Shock and Hypoperfusion or Hypotension: A Multicenter, Prospective, Observational Study.

Background: Lactate is a commonly used biomarker for sepsis, although it has limitations in certain cases, suggesting the need for novel biomarkers. We evaluated the diagnostic accuracy of plasma renin concentration and renin activity for mortality and kidney outcomes in patients with sepsis with hypoperfusion or hypotension.

Methods: This was a multicenter, prospective, observational study of 117 patients with septic shock treated at three tertiary emergency departments between September 2021 and October 2022. The accuracy of renin activity, renin, and lactate concentrations in predicting 28-day mortality, acute kidney injury (AKI), and renal replacement requirement was assessed using the area under the ROC curve (AUC) analysis.

Results: The AUCs of initial renin activity, renin, and lactate concentrations for predicting 28-day mortality were 0.66 (95% confidence interval [CI], 0.55-0.77), 0.63 (95% CI, 0.52-0.75), and 0.65 (95% CI, 0.53-0.77), respectively, and those at 24 hrs were 0.74 (95% CI, 0.62-0.86), 0.70 (95% CI, 0.56-0.83), and 0.67 (95% CI, 0.54-0.79). Renin concentrations and renin activity outperformed initial lactate concentrations in predicting AKI within 14 days. The AUCs of renin and lactate concentrations were 0.71 (95% CI, 0.61-0.80) and 0.57 (95% CI, 0.46-0.67), respectively (P=0.030). The AUC of renin activity (0.70; 95% CI, 0.60-0.80) was also higher than that of lactate concentration (P=0.044).

Conclusions: Renin concentration and renin activity show comparable performance to lactate concentration in predicting 28-day mortality in patients with septic shock but superior performance in predicting AKI.

求助全文
通过发布文献求助,成功后即可免费获取论文全文。 去求助
来源期刊
Annals of Laboratory Medicine
Annals of Laboratory Medicine MEDICAL LABORATORY TECHNOLOGY-
CiteScore
8.30
自引率
12.20%
发文量
100
审稿时长
6-12 weeks
期刊介绍: Annals of Laboratory Medicine is the official journal of Korean Society for Laboratory Medicine. The journal title has been recently changed from the Korean Journal of Laboratory Medicine (ISSN, 1598-6535) from the January issue of 2012. The JCR 2017 Impact factor of Ann Lab Med was 1.916.
×
引用
GB/T 7714-2015
复制
MLA
复制
APA
复制
导出至
BibTeX EndNote RefMan NoteFirst NoteExpress
×
提示
您的信息不完整,为了账户安全,请先补充。
现在去补充
×
提示
您因"违规操作"
具体请查看互助需知
我知道了
×
提示
确定
请完成安全验证×
copy
已复制链接
快去分享给好友吧!
我知道了
右上角分享
点击右上角分享
0
联系我们:info@booksci.cn Book学术提供免费学术资源搜索服务,方便国内外学者检索中英文文献。致力于提供最便捷和优质的服务体验。 Copyright © 2023 布克学术 All rights reserved.
京ICP备2023020795号-1
ghs 京公网安备 11010802042870号
Book学术文献互助
Book学术文献互助群
群 号:604180095
Book学术官方微信