生物制剂对严重哮喘患者的实际疗效:KoSAR分析。

IF 4.3 2区 医学 Q2 ALLERGY
So-Young Park, Sun-Kyung Lee, Woo-Jung Song, Min-Hye Kim, Ga-Young Ban, Joo-Hee Kim, Byung-Keun Kim, Jae-Woo Kwon, Kyoung-Hee Sohn, Hwa Young Lee, Jae-Woo Jung, Chan-Sun Park, Sung-Yoon Kang, Min Suk Yang, Jae Hyun Lee, An-Soo Jang, So Ri Kim, Taehoon Lee, Chin Kook Rhee, Heung-Woo Park, Sang-Hoon Kim, Yoon-Seok Chang, Young-Il Koh, Byung-Jae Lee, Hae-Sim Park, Sang-Heon Kim, You Sook Cho
{"title":"生物制剂对严重哮喘患者的实际疗效:KoSAR分析。","authors":"So-Young Park, Sun-Kyung Lee, Woo-Jung Song, Min-Hye Kim, Ga-Young Ban, Joo-Hee Kim, Byung-Keun Kim, Jae-Woo Kwon, Kyoung-Hee Sohn, Hwa Young Lee, Jae-Woo Jung, Chan-Sun Park, Sung-Yoon Kang, Min Suk Yang, Jae Hyun Lee, An-Soo Jang, So Ri Kim, Taehoon Lee, Chin Kook Rhee, Heung-Woo Park, Sang-Hoon Kim, Yoon-Seok Chang, Young-Il Koh, Byung-Jae Lee, Hae-Sim Park, Sang-Heon Kim, You Sook Cho","doi":"10.4168/aair.2024.16.3.253","DOIUrl":null,"url":null,"abstract":"<p><strong>Purpose: </strong>Severe asthma is associated with high morbidity and healthcare utilization; however, treatment options for these patients are limited. This study aimed to determine the therapeutic effects of biologics in clinical practice.</p><p><strong>Methods: </strong>This multicenter, retrospective cohort study included 136 patients who received biologics for at least 4 months between September 2017 and July 2022 at 25 medical centers affiliated with the Korean Severe Asthma Registry (KoSAR). The study evaluated the treatment effects, including acute exacerbation rates, maintenance of oral corticosteroid dosages, lung function, quality of life, blood eosinophil count, and fractional exhaled nitric oxide (FeNO) levels, by comparing measurements before and after 4 months of biologic treatment. Responses for each medication was evaluated based on the Global Evaluation of Treatment Effectiveness score, and any adverse reactions were summarized.</p><p><strong>Results: </strong>With the administration of biologics over the course of 4 months, there was a reduction in asthma acute exacerbations, a significant improvement in lung function, and a significant decrease in daily maintenance dose of oral steroid. Blood eosinophil counts decreased in the mepolizumab and reslizumab groups, while FeNO levels decreased only in the dupilumab group. The Asthma Control Test, Quality of Life Questionnaire for Adult Korean Asthmatics, and the EuroQol-visual analogue scale scores showed a significant improvement. Most patients (80.15%) responded to the biologic treatment. Meanwhile, non-responders often had chronic rhinosinusitis as a comorbidity, exhibited lower lung function, and required higher doses of oral steroids. No severe adverse events were reported.</p><p><strong>Conclusions: </strong>Biologics are highly effective in Korean patients with Type 2 severe asthma, significantly reducing acute exacerbation rates and doses of oral corticosteroids, while also improving lung function. Therefore, it seems beneficial to administer biologics without any restrictions to patients exhibiting Type 2 severe asthma.</p>","PeriodicalId":7547,"journal":{"name":"Allergy, Asthma & Immunology Research","volume":"16 3","pages":"253-266"},"PeriodicalIF":4.3000,"publicationDate":"2024-05-01","publicationTypes":"Journal Article","fieldsOfStudy":null,"isOpenAccess":false,"openAccessPdf":"https://www.ncbi.nlm.nih.gov/pmc/articles/PMC11199155/pdf/","citationCount":"0","resultStr":"{\"title\":\"Real-World Effectiveness of Biologics in Patients With Severe Asthma: Analysis of the KoSAR.\",\"authors\":\"So-Young Park, Sun-Kyung Lee, Woo-Jung Song, Min-Hye Kim, Ga-Young Ban, Joo-Hee Kim, Byung-Keun Kim, Jae-Woo Kwon, Kyoung-Hee Sohn, Hwa Young Lee, Jae-Woo Jung, Chan-Sun Park, Sung-Yoon Kang, Min Suk Yang, Jae Hyun Lee, An-Soo Jang, So Ri Kim, Taehoon Lee, Chin Kook Rhee, Heung-Woo Park, Sang-Hoon Kim, Yoon-Seok Chang, Young-Il Koh, Byung-Jae Lee, Hae-Sim Park, Sang-Heon Kim, You Sook Cho\",\"doi\":\"10.4168/aair.2024.16.3.253\",\"DOIUrl\":null,\"url\":null,\"abstract\":\"<p><strong>Purpose: </strong>Severe asthma is associated with high morbidity and healthcare utilization; however, treatment options for these patients are limited. This study aimed to determine the therapeutic effects of biologics in clinical practice.</p><p><strong>Methods: </strong>This multicenter, retrospective cohort study included 136 patients who received biologics for at least 4 months between September 2017 and July 2022 at 25 medical centers affiliated with the Korean Severe Asthma Registry (KoSAR). The study evaluated the treatment effects, including acute exacerbation rates, maintenance of oral corticosteroid dosages, lung function, quality of life, blood eosinophil count, and fractional exhaled nitric oxide (FeNO) levels, by comparing measurements before and after 4 months of biologic treatment. Responses for each medication was evaluated based on the Global Evaluation of Treatment Effectiveness score, and any adverse reactions were summarized.</p><p><strong>Results: </strong>With the administration of biologics over the course of 4 months, there was a reduction in asthma acute exacerbations, a significant improvement in lung function, and a significant decrease in daily maintenance dose of oral steroid. Blood eosinophil counts decreased in the mepolizumab and reslizumab groups, while FeNO levels decreased only in the dupilumab group. The Asthma Control Test, Quality of Life Questionnaire for Adult Korean Asthmatics, and the EuroQol-visual analogue scale scores showed a significant improvement. Most patients (80.15%) responded to the biologic treatment. Meanwhile, non-responders often had chronic rhinosinusitis as a comorbidity, exhibited lower lung function, and required higher doses of oral steroids. No severe adverse events were reported.</p><p><strong>Conclusions: </strong>Biologics are highly effective in Korean patients with Type 2 severe asthma, significantly reducing acute exacerbation rates and doses of oral corticosteroids, while also improving lung function. Therefore, it seems beneficial to administer biologics without any restrictions to patients exhibiting Type 2 severe asthma.</p>\",\"PeriodicalId\":7547,\"journal\":{\"name\":\"Allergy, Asthma & Immunology Research\",\"volume\":\"16 3\",\"pages\":\"253-266\"},\"PeriodicalIF\":4.3000,\"publicationDate\":\"2024-05-01\",\"publicationTypes\":\"Journal Article\",\"fieldsOfStudy\":null,\"isOpenAccess\":false,\"openAccessPdf\":\"https://www.ncbi.nlm.nih.gov/pmc/articles/PMC11199155/pdf/\",\"citationCount\":\"0\",\"resultStr\":null,\"platform\":\"Semanticscholar\",\"paperid\":null,\"PeriodicalName\":\"Allergy, Asthma & Immunology Research\",\"FirstCategoryId\":\"3\",\"ListUrlMain\":\"https://doi.org/10.4168/aair.2024.16.3.253\",\"RegionNum\":2,\"RegionCategory\":\"医学\",\"ArticlePicture\":[],\"TitleCN\":null,\"AbstractTextCN\":null,\"PMCID\":null,\"EPubDate\":\"\",\"PubModel\":\"\",\"JCR\":\"Q2\",\"JCRName\":\"ALLERGY\",\"Score\":null,\"Total\":0}","platform":"Semanticscholar","paperid":null,"PeriodicalName":"Allergy, Asthma & Immunology Research","FirstCategoryId":"3","ListUrlMain":"https://doi.org/10.4168/aair.2024.16.3.253","RegionNum":2,"RegionCategory":"医学","ArticlePicture":[],"TitleCN":null,"AbstractTextCN":null,"PMCID":null,"EPubDate":"","PubModel":"","JCR":"Q2","JCRName":"ALLERGY","Score":null,"Total":0}
引用次数: 0

摘要

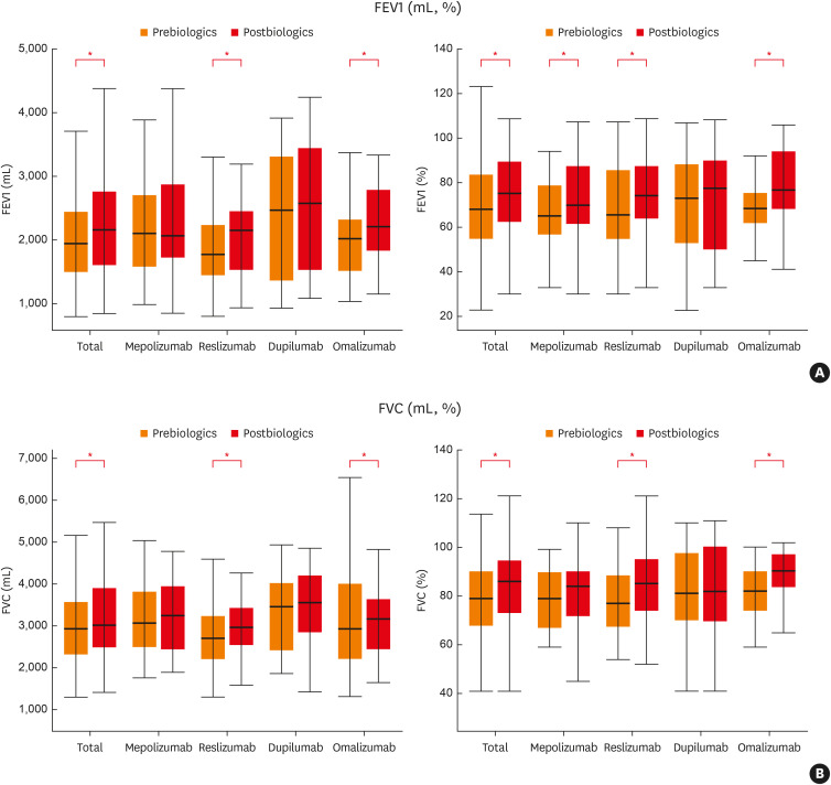
目的:重症哮喘与高发病率和高医疗利用率有关;然而,这些患者的治疗选择却很有限。本研究旨在确定生物制剂在临床实践中的治疗效果:这项多中心、回顾性队列研究纳入了 2017 年 9 月至 2022 年 7 月期间在韩国严重哮喘登记处(KoSAR)下属 25 个医疗中心接受生物制剂治疗至少 4 个月的 136 名患者。该研究通过比较生物制剂治疗 4 个月前后的测量结果,评估了治疗效果,包括急性加重率、口服皮质类固醇剂量的维持、肺功能、生活质量、血液嗜酸性粒细胞计数和部分呼出一氧化氮(FeNO)水平。根据治疗效果总体评价评分对每种药物的疗效进行评估,并对任何不良反应进行总结:结果:使用生物制剂治疗 4 个月后,哮喘急性加重的情况有所减少,肺功能明显改善,口服类固醇的每日维持剂量显著减少。mepolizumab组和reslizumab组的血液嗜酸性粒细胞计数下降,而只有dupilumab组的 FeNO水平下降。哮喘控制测试、韩国成人哮喘患者生活质量问卷和欧洲哮喘患者视觉模拟量表评分均有显著改善。大多数患者(80.15%)对生物制剂治疗产生了反应。同时,无应答者通常合并慢性鼻炎,肺功能较低,需要更高的口服类固醇剂量。没有严重不良反应的报告:生物制剂对韩国 2 型重症哮喘患者非常有效,可显著降低急性加重率和口服皮质类固醇的剂量,同时还能改善肺功能。因此,对 2 型重症哮喘患者不加任何限制地使用生物制剂似乎是有益的。
本文章由计算机程序翻译,如有差异,请以英文原文为准。

Real-World Effectiveness of Biologics in Patients With Severe Asthma: Analysis of the KoSAR.

Real-World Effectiveness of Biologics in Patients With Severe Asthma: Analysis of the KoSAR.

Real-World Effectiveness of Biologics in Patients With Severe Asthma: Analysis of the KoSAR.

Real-World Effectiveness of Biologics in Patients With Severe Asthma: Analysis of the KoSAR.

Purpose: Severe asthma is associated with high morbidity and healthcare utilization; however, treatment options for these patients are limited. This study aimed to determine the therapeutic effects of biologics in clinical practice.

Methods: This multicenter, retrospective cohort study included 136 patients who received biologics for at least 4 months between September 2017 and July 2022 at 25 medical centers affiliated with the Korean Severe Asthma Registry (KoSAR). The study evaluated the treatment effects, including acute exacerbation rates, maintenance of oral corticosteroid dosages, lung function, quality of life, blood eosinophil count, and fractional exhaled nitric oxide (FeNO) levels, by comparing measurements before and after 4 months of biologic treatment. Responses for each medication was evaluated based on the Global Evaluation of Treatment Effectiveness score, and any adverse reactions were summarized.

Results: With the administration of biologics over the course of 4 months, there was a reduction in asthma acute exacerbations, a significant improvement in lung function, and a significant decrease in daily maintenance dose of oral steroid. Blood eosinophil counts decreased in the mepolizumab and reslizumab groups, while FeNO levels decreased only in the dupilumab group. The Asthma Control Test, Quality of Life Questionnaire for Adult Korean Asthmatics, and the EuroQol-visual analogue scale scores showed a significant improvement. Most patients (80.15%) responded to the biologic treatment. Meanwhile, non-responders often had chronic rhinosinusitis as a comorbidity, exhibited lower lung function, and required higher doses of oral steroids. No severe adverse events were reported.

Conclusions: Biologics are highly effective in Korean patients with Type 2 severe asthma, significantly reducing acute exacerbation rates and doses of oral corticosteroids, while also improving lung function. Therefore, it seems beneficial to administer biologics without any restrictions to patients exhibiting Type 2 severe asthma.

求助全文
通过发布文献求助,成功后即可免费获取论文全文。 去求助
来源期刊
CiteScore
6.10
自引率
6.80%
发文量
53
审稿时长
>12 weeks
期刊介绍: The journal features cutting-edge original research, brief communications, and state-of-the-art reviews in the specialties of allergy, asthma, and immunology, including clinical and experimental studies and instructive case reports. Contemporary reviews summarize information on topics for researchers and physicians in the fields of allergy and immunology. As of January 2017, AAIR do not accept case reports. However, if it is a clinically important case, authors can submit it in the form of letter to the Editor. Editorials and letters to the Editor explore controversial issues and encourage further discussion among physicians dealing with allergy, immunology, pediatric respirology, and related medical fields. AAIR also features topics in practice and management and recent advances in equipment and techniques for clinicians concerned with clinical manifestations of allergies and pediatric respiratory diseases.
×
引用
GB/T 7714-2015
复制
MLA
复制
APA
复制
导出至
BibTeX EndNote RefMan NoteFirst NoteExpress
×
提示
您的信息不完整,为了账户安全,请先补充。
现在去补充
×
提示
您因"违规操作"
具体请查看互助需知
我知道了
×
提示
确定
请完成安全验证×
copy
已复制链接
快去分享给好友吧!
我知道了
右上角分享
点击右上角分享
0
联系我们:info@booksci.cn Book学术提供免费学术资源搜索服务,方便国内外学者检索中英文文献。致力于提供最便捷和优质的服务体验。 Copyright © 2023 布克学术 All rights reserved.
京ICP备2023020795号-1
ghs 京公网安备 11010802042870号
Book学术文献互助
Book学术文献互助群
群 号:604180095
Book学术官方微信