体育锻炼与压力导致的儿童抑制控制神经认知障碍的关系

Q1 Psychology
Chronic Stress Pub Date : 2024-06-11 eCollection Date: 2024-01-01 DOI:10.1177/24705470241261581
Sebastian Ludyga, Manuel Hanke, Anja Schwarz, Rahel Leuenberger, Fabienne Bruggisser, Vera Nina Looser, Markus Gerber
{"title":"体育锻炼与压力导致的儿童抑制控制神经认知障碍的关系","authors":"Sebastian Ludyga, Manuel Hanke, Anja Schwarz, Rahel Leuenberger, Fabienne Bruggisser, Vera Nina Looser, Markus Gerber","doi":"10.1177/24705470241261581","DOIUrl":null,"url":null,"abstract":"<p><strong>Background: </strong>Evaluation stress can impair inhibitory control, limiting the ability of children to perform cognitively. However, evidence on protective factors is lacking as stress-induced cognitive impairments are poorly understood. High physical activity has been related to better inhibitory control and has the potential to buffer the response to a stressor. We investigated the association of physical activity and stress-induced changes in inhibitory control as well as its underlying cognitive control processes (i.e., conflict monitoring and resolution).</p><p><strong>Method: </strong>Participants (10 to 13 y) with either low (<i>N </i>= 55) or high moderate-to-vigorous physical activity (<i>N </i>= 55) completed the Trier Social Stress Test for Children (TSST-C) and a control task in a randomized order. During both conditions, salivary cortisol was collected. Additionally, a computerized Stroop task was administered before and after the experimental conditions. The N200 and positive slow wave (PSW) components of event-related potentials elicited by the Stroop task were recorded using electroencephalography.</p><p><strong>Results: </strong>In comparison to the control task, the TSST-C elicited a pre-to post-test decrease of accuracy on incompatible trials. Path-analyses further revealed that this decrease was related to low physical activity and a reduced PSW amplitude. However, both the N200 and PSW amplitudes did not mediate the relation between physical activity groups and performance on the Stroop task.</p><p><strong>Conclusion: </strong>In children, evaluation stress decreases inhibitory control partly due to a reduced effectiveness of conflict resolution processes. Only children with high physical activity maintain inhibitory control after facing the stressor. However, this protective effect cannot be attributed to changes in conflict monitoring and resolution.</p>","PeriodicalId":52315,"journal":{"name":"Chronic Stress","volume":"8 ","pages":"24705470241261581"},"PeriodicalIF":0.0000,"publicationDate":"2024-06-11","publicationTypes":"Journal Article","fieldsOfStudy":null,"isOpenAccess":false,"openAccessPdf":"https://www.ncbi.nlm.nih.gov/pmc/articles/PMC11168053/pdf/","citationCount":"0","resultStr":"{\"title\":\"The Association of Physical Activity and Stress-induced Neurocognitive Impairments in Inhibitory Control in Children.\",\"authors\":\"Sebastian Ludyga, Manuel Hanke, Anja Schwarz, Rahel Leuenberger, Fabienne Bruggisser, Vera Nina Looser, Markus Gerber\",\"doi\":\"10.1177/24705470241261581\",\"DOIUrl\":null,\"url\":null,\"abstract\":\"<p><strong>Background: </strong>Evaluation stress can impair inhibitory control, limiting the ability of children to perform cognitively. However, evidence on protective factors is lacking as stress-induced cognitive impairments are poorly understood. High physical activity has been related to better inhibitory control and has the potential to buffer the response to a stressor. We investigated the association of physical activity and stress-induced changes in inhibitory control as well as its underlying cognitive control processes (i.e., conflict monitoring and resolution).</p><p><strong>Method: </strong>Participants (10 to 13 y) with either low (<i>N </i>= 55) or high moderate-to-vigorous physical activity (<i>N </i>= 55) completed the Trier Social Stress Test for Children (TSST-C) and a control task in a randomized order. During both conditions, salivary cortisol was collected. Additionally, a computerized Stroop task was administered before and after the experimental conditions. The N200 and positive slow wave (PSW) components of event-related potentials elicited by the Stroop task were recorded using electroencephalography.</p><p><strong>Results: </strong>In comparison to the control task, the TSST-C elicited a pre-to post-test decrease of accuracy on incompatible trials. Path-analyses further revealed that this decrease was related to low physical activity and a reduced PSW amplitude. However, both the N200 and PSW amplitudes did not mediate the relation between physical activity groups and performance on the Stroop task.</p><p><strong>Conclusion: </strong>In children, evaluation stress decreases inhibitory control partly due to a reduced effectiveness of conflict resolution processes. Only children with high physical activity maintain inhibitory control after facing the stressor. However, this protective effect cannot be attributed to changes in conflict monitoring and resolution.</p>\",\"PeriodicalId\":52315,\"journal\":{\"name\":\"Chronic Stress\",\"volume\":\"8 \",\"pages\":\"24705470241261581\"},\"PeriodicalIF\":0.0000,\"publicationDate\":\"2024-06-11\",\"publicationTypes\":\"Journal Article\",\"fieldsOfStudy\":null,\"isOpenAccess\":false,\"openAccessPdf\":\"https://www.ncbi.nlm.nih.gov/pmc/articles/PMC11168053/pdf/\",\"citationCount\":\"0\",\"resultStr\":null,\"platform\":\"Semanticscholar\",\"paperid\":null,\"PeriodicalName\":\"Chronic Stress\",\"FirstCategoryId\":\"1085\",\"ListUrlMain\":\"https://doi.org/10.1177/24705470241261581\",\"RegionNum\":0,\"RegionCategory\":null,\"ArticlePicture\":[],\"TitleCN\":null,\"AbstractTextCN\":null,\"PMCID\":null,\"EPubDate\":\"2024/1/1 0:00:00\",\"PubModel\":\"eCollection\",\"JCR\":\"Q1\",\"JCRName\":\"Psychology\",\"Score\":null,\"Total\":0}","platform":"Semanticscholar","paperid":null,"PeriodicalName":"Chronic Stress","FirstCategoryId":"1085","ListUrlMain":"https://doi.org/10.1177/24705470241261581","RegionNum":0,"RegionCategory":null,"ArticlePicture":[],"TitleCN":null,"AbstractTextCN":null,"PMCID":null,"EPubDate":"2024/1/1 0:00:00","PubModel":"eCollection","JCR":"Q1","JCRName":"Psychology","Score":null,"Total":0}
引用次数: 0

摘要

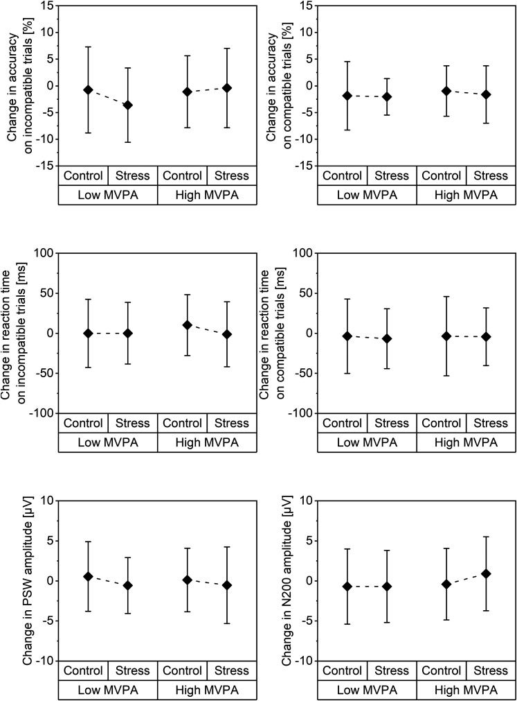
背景:评价压力会损害抑制控制,限制儿童的认知能力。然而,由于人们对压力引起的认知障碍知之甚少,因此缺乏有关保护因素的证据。高运动量与更好的抑制控制有关,并有可能缓冲对压力源的反应。我们研究了体育锻炼与压力诱发的抑制控制变化之间的关系,以及其潜在的认知控制过程(即冲突监控和解决):参与者(10 至 13 岁)的体力活动量较低(55 人)或中等至剧烈体力活动量较高(55 人),以随机顺序完成特里尔儿童社会压力测试(TSST-C)和对照任务。在这两种情况下,都收集了唾液皮质醇。此外,在实验条件前后还进行了计算机化的 Stroop 任务。通过脑电图记录了 Stroop 任务引起的事件相关电位的 N200 和正慢波(PSW)成分:结果:与对照任务相比,TSST-C 在不相容试验中引起的准确率从试验前到试验后都有所下降。路径分析进一步表明,这种下降与低体力活动和 PSW 振幅降低有关。然而,N200和PSW振幅并不能调节体力活动组别与Stroop任务表现之间的关系:结论:在儿童中,评价压力会降低抑制控制能力,部分原因是冲突解决过程的有效性降低。只有运动量大的儿童才能在面对压力后保持抑制控制能力。然而,这种保护作用不能归因于冲突监测和解决过程的变化。
本文章由计算机程序翻译,如有差异,请以英文原文为准。

The Association of Physical Activity and Stress-induced Neurocognitive Impairments in Inhibitory Control in Children.

The Association of Physical Activity and Stress-induced Neurocognitive Impairments in Inhibitory Control in Children.

The Association of Physical Activity and Stress-induced Neurocognitive Impairments in Inhibitory Control in Children.

The Association of Physical Activity and Stress-induced Neurocognitive Impairments in Inhibitory Control in Children.

Background: Evaluation stress can impair inhibitory control, limiting the ability of children to perform cognitively. However, evidence on protective factors is lacking as stress-induced cognitive impairments are poorly understood. High physical activity has been related to better inhibitory control and has the potential to buffer the response to a stressor. We investigated the association of physical activity and stress-induced changes in inhibitory control as well as its underlying cognitive control processes (i.e., conflict monitoring and resolution).

Method: Participants (10 to 13 y) with either low (N = 55) or high moderate-to-vigorous physical activity (N = 55) completed the Trier Social Stress Test for Children (TSST-C) and a control task in a randomized order. During both conditions, salivary cortisol was collected. Additionally, a computerized Stroop task was administered before and after the experimental conditions. The N200 and positive slow wave (PSW) components of event-related potentials elicited by the Stroop task were recorded using electroencephalography.

Results: In comparison to the control task, the TSST-C elicited a pre-to post-test decrease of accuracy on incompatible trials. Path-analyses further revealed that this decrease was related to low physical activity and a reduced PSW amplitude. However, both the N200 and PSW amplitudes did not mediate the relation between physical activity groups and performance on the Stroop task.

Conclusion: In children, evaluation stress decreases inhibitory control partly due to a reduced effectiveness of conflict resolution processes. Only children with high physical activity maintain inhibitory control after facing the stressor. However, this protective effect cannot be attributed to changes in conflict monitoring and resolution.

求助全文
通过发布文献求助,成功后即可免费获取论文全文。 去求助
来源期刊
Chronic Stress
Chronic Stress Psychology-Clinical Psychology
CiteScore
7.40
自引率
0.00%
发文量
25
审稿时长
6 weeks
×
引用
GB/T 7714-2015
复制
MLA
复制
APA
复制
导出至
BibTeX EndNote RefMan NoteFirst NoteExpress
×
提示
您的信息不完整,为了账户安全,请先补充。
现在去补充
×
提示
您因"违规操作"
具体请查看互助需知
我知道了
×
提示
确定
请完成安全验证×
copy
已复制链接
快去分享给好友吧!
我知道了
右上角分享
点击右上角分享
0
联系我们:info@booksci.cn Book学术提供免费学术资源搜索服务,方便国内外学者检索中英文文献。致力于提供最便捷和优质的服务体验。 Copyright © 2023 布克学术 All rights reserved.
京ICP备2023020795号-1
ghs 京公网安备 11010802042870号
Book学术文献互助
Book学术文献互助群
群 号:604180095
Book学术官方微信