体重调整后腰围指数与非亚洲人全因死亡率的关系:一项基于全国人口的队列研究。

IF 3.8 2区 医学 Q1 NUTRITION & DIETETICS
Ting Cao, Ruijie Xie, Jiusong Wang, Meimei Xiao, Haiyang Wu, Xiaozhu Liu, Songlin Xie, Yanming Chen, Mingjiang Liu, Ya Zhang
{"title":"体重调整后腰围指数与非亚洲人全因死亡率的关系:一项基于全国人口的队列研究。","authors":"Ting Cao, Ruijie Xie, Jiusong Wang, Meimei Xiao, Haiyang Wu, Xiaozhu Liu, Songlin Xie, Yanming Chen, Mingjiang Liu, Ya Zhang","doi":"10.1186/s12937-024-00947-z","DOIUrl":null,"url":null,"abstract":"<p><strong>Introduction: </strong>The Weight-Adjusted Waist Index (WWI) is a new indicator of obesity that is associated with all-cause mortality in Asian populations. Our study aimed to investigate the linear and non-linear associations between WWI and all-cause mortality in non-Asian populations in the United States, and whether WWI was superior to traditional obesity indicators as a predictor of all-cause mortality.</p><p><strong>Methods: </strong>We conducted a cohort study using data from the 2011-2018 National Health and Nutrition Examination Survey (NHANES), involving 18,592 participants. We utilized Cox proportional hazard models to assess the association between WWI, BMI, WC, and the risk of all-cause mortality, and performed subgroup analyses and interaction tests. We also employed a receiver operating characteristics (ROC) curve study to evaluate the effectiveness of WWI, BMI, and WC in predicting all-cause mortality.</p><p><strong>Results: </strong>After adjusting for confounders, WWI, BMI, and WC were positively associated with all-cause mortality. The performance of WWI, BMI, and WC in predicting all-cause mortality yielded AUCs of 0.697, 0.524, and 0.562, respectively. The data also revealed a U-shaped relationship between WWI and all-cause mortality. Race and cancer modified the relationship between WWI and all-cause mortality, with the relationship being negatively correlated in African Americans and cancer patients.</p><p><strong>Conclusions: </strong>In non-Asian populations in the United States, there is a U-shaped relationship between WWI and all-cause mortality, and WWI outperforms BMI and WC as a predictor of all-cause mortality. These findings may contribute to a better understanding and prediction of the relationship between obesity and mortality, and provide support for effective obesity management strategies.</p>","PeriodicalId":19203,"journal":{"name":"Nutrition Journal","volume":"23 1","pages":"62"},"PeriodicalIF":3.8000,"publicationDate":"2024-06-12","publicationTypes":"Journal Article","fieldsOfStudy":null,"isOpenAccess":false,"openAccessPdf":"https://www.ncbi.nlm.nih.gov/pmc/articles/PMC11167926/pdf/","citationCount":"0","resultStr":"{\"title\":\"Association of weight-adjusted waist index with all-cause mortality among non-Asian individuals: a national population-based cohort study.\",\"authors\":\"Ting Cao, Ruijie Xie, Jiusong Wang, Meimei Xiao, Haiyang Wu, Xiaozhu Liu, Songlin Xie, Yanming Chen, Mingjiang Liu, Ya Zhang\",\"doi\":\"10.1186/s12937-024-00947-z\",\"DOIUrl\":null,\"url\":null,\"abstract\":\"<p><strong>Introduction: </strong>The Weight-Adjusted Waist Index (WWI) is a new indicator of obesity that is associated with all-cause mortality in Asian populations. Our study aimed to investigate the linear and non-linear associations between WWI and all-cause mortality in non-Asian populations in the United States, and whether WWI was superior to traditional obesity indicators as a predictor of all-cause mortality.</p><p><strong>Methods: </strong>We conducted a cohort study using data from the 2011-2018 National Health and Nutrition Examination Survey (NHANES), involving 18,592 participants. We utilized Cox proportional hazard models to assess the association between WWI, BMI, WC, and the risk of all-cause mortality, and performed subgroup analyses and interaction tests. We also employed a receiver operating characteristics (ROC) curve study to evaluate the effectiveness of WWI, BMI, and WC in predicting all-cause mortality.</p><p><strong>Results: </strong>After adjusting for confounders, WWI, BMI, and WC were positively associated with all-cause mortality. The performance of WWI, BMI, and WC in predicting all-cause mortality yielded AUCs of 0.697, 0.524, and 0.562, respectively. The data also revealed a U-shaped relationship between WWI and all-cause mortality. Race and cancer modified the relationship between WWI and all-cause mortality, with the relationship being negatively correlated in African Americans and cancer patients.</p><p><strong>Conclusions: </strong>In non-Asian populations in the United States, there is a U-shaped relationship between WWI and all-cause mortality, and WWI outperforms BMI and WC as a predictor of all-cause mortality. These findings may contribute to a better understanding and prediction of the relationship between obesity and mortality, and provide support for effective obesity management strategies.</p>\",\"PeriodicalId\":19203,\"journal\":{\"name\":\"Nutrition Journal\",\"volume\":\"23 1\",\"pages\":\"62\"},\"PeriodicalIF\":3.8000,\"publicationDate\":\"2024-06-12\",\"publicationTypes\":\"Journal Article\",\"fieldsOfStudy\":null,\"isOpenAccess\":false,\"openAccessPdf\":\"https://www.ncbi.nlm.nih.gov/pmc/articles/PMC11167926/pdf/\",\"citationCount\":\"0\",\"resultStr\":null,\"platform\":\"Semanticscholar\",\"paperid\":null,\"PeriodicalName\":\"Nutrition Journal\",\"FirstCategoryId\":\"3\",\"ListUrlMain\":\"https://doi.org/10.1186/s12937-024-00947-z\",\"RegionNum\":2,\"RegionCategory\":\"医学\",\"ArticlePicture\":[],\"TitleCN\":null,\"AbstractTextCN\":null,\"PMCID\":null,\"EPubDate\":\"\",\"PubModel\":\"\",\"JCR\":\"Q1\",\"JCRName\":\"NUTRITION & DIETETICS\",\"Score\":null,\"Total\":0}","platform":"Semanticscholar","paperid":null,"PeriodicalName":"Nutrition Journal","FirstCategoryId":"3","ListUrlMain":"https://doi.org/10.1186/s12937-024-00947-z","RegionNum":2,"RegionCategory":"医学","ArticlePicture":[],"TitleCN":null,"AbstractTextCN":null,"PMCID":null,"EPubDate":"","PubModel":"","JCR":"Q1","JCRName":"NUTRITION & DIETETICS","Score":null,"Total":0}
引用次数: 0

摘要

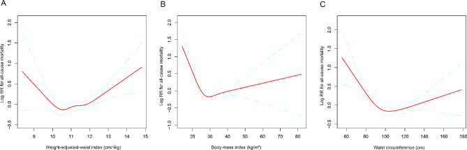
简介体重调整腰围指数(WWI)是一项新的肥胖指标,与亚裔人群的全因死亡率有关。我们的研究旨在调查WWI与美国非亚裔人群全因死亡率之间的线性和非线性关系,以及WWI作为全因死亡率的预测指标是否优于传统肥胖指标:我们利用 2011-2018 年美国国家健康与营养调查(NHANES)的数据开展了一项队列研究,共涉及 18,592 名参与者。我们利用 Cox 比例危险模型评估了 WWI、BMI、WC 与全因死亡风险之间的关联,并进行了亚组分析和交互检验。我们还采用了接收器操作特征(ROC)曲线研究来评估WWI、BMI和WC在预测全因死亡率方面的有效性:结果:调整混杂因素后,WWI、BMI 和 WC 与全因死亡率呈正相关。WWI、BMI 和 WC 预测全因死亡率的 AUC 分别为 0.697、0.524 和 0.562。数据还显示,WWI 与全因死亡率之间呈 U 型关系。种族和癌症改变了WWI与全因死亡率之间的关系,非裔美国人和癌症患者的WWI与全因死亡率呈负相关:结论:在美国非亚裔人群中,WWI 与全因死亡率之间呈 U 型关系,WWI 作为全因死亡率的预测指标优于 BMI 和 WC。这些发现有助于更好地理解和预测肥胖与死亡率之间的关系,并为有效的肥胖管理策略提供支持。
本文章由计算机程序翻译,如有差异,请以英文原文为准。

Association of weight-adjusted waist index with all-cause mortality among non-Asian individuals: a national population-based cohort study.

Association of weight-adjusted waist index with all-cause mortality among non-Asian individuals: a national population-based cohort study.

Association of weight-adjusted waist index with all-cause mortality among non-Asian individuals: a national population-based cohort study.

Association of weight-adjusted waist index with all-cause mortality among non-Asian individuals: a national population-based cohort study.

Introduction: The Weight-Adjusted Waist Index (WWI) is a new indicator of obesity that is associated with all-cause mortality in Asian populations. Our study aimed to investigate the linear and non-linear associations between WWI and all-cause mortality in non-Asian populations in the United States, and whether WWI was superior to traditional obesity indicators as a predictor of all-cause mortality.

Methods: We conducted a cohort study using data from the 2011-2018 National Health and Nutrition Examination Survey (NHANES), involving 18,592 participants. We utilized Cox proportional hazard models to assess the association between WWI, BMI, WC, and the risk of all-cause mortality, and performed subgroup analyses and interaction tests. We also employed a receiver operating characteristics (ROC) curve study to evaluate the effectiveness of WWI, BMI, and WC in predicting all-cause mortality.

Results: After adjusting for confounders, WWI, BMI, and WC were positively associated with all-cause mortality. The performance of WWI, BMI, and WC in predicting all-cause mortality yielded AUCs of 0.697, 0.524, and 0.562, respectively. The data also revealed a U-shaped relationship between WWI and all-cause mortality. Race and cancer modified the relationship between WWI and all-cause mortality, with the relationship being negatively correlated in African Americans and cancer patients.

Conclusions: In non-Asian populations in the United States, there is a U-shaped relationship between WWI and all-cause mortality, and WWI outperforms BMI and WC as a predictor of all-cause mortality. These findings may contribute to a better understanding and prediction of the relationship between obesity and mortality, and provide support for effective obesity management strategies.

求助全文
通过发布文献求助,成功后即可免费获取论文全文。 去求助
来源期刊
Nutrition Journal
Nutrition Journal NUTRITION & DIETETICS-
CiteScore
9.80
自引率
0.00%
发文量
68
审稿时长
4-8 weeks
期刊介绍: Nutrition Journal publishes surveillance, epidemiologic, and intervention research that sheds light on i) influences (e.g., familial, environmental) on eating patterns; ii) associations between eating patterns and health, and iii) strategies to improve eating patterns among populations. The journal also welcomes manuscripts reporting on the psychometric properties (e.g., validity, reliability) and feasibility of methods (e.g., for assessing dietary intake) for human nutrition research. In addition, study protocols for controlled trials and cohort studies, with an emphasis on methods for assessing dietary exposures and outcomes as well as intervention components, will be considered. Manuscripts that consider eating patterns holistically, as opposed to solely reductionist approaches that focus on specific dietary components in isolation, are encouraged. Also encouraged are papers that take a holistic or systems perspective in attempting to understand possible compensatory and differential effects of nutrition interventions. The journal does not consider animal studies. In addition to the influence of eating patterns for human health, we also invite research providing insights into the environmental sustainability of dietary practices. Again, a holistic perspective is encouraged, for example, through the consideration of how eating patterns might maximize both human and planetary health.
×
引用
GB/T 7714-2015
复制
MLA
复制
APA
复制
导出至
BibTeX EndNote RefMan NoteFirst NoteExpress
×
提示
您的信息不完整,为了账户安全,请先补充。
现在去补充
×
提示
您因"违规操作"
具体请查看互助需知
我知道了
×
提示
确定
请完成安全验证×
copy
已复制链接
快去分享给好友吧!
我知道了
右上角分享
点击右上角分享
0
联系我们:info@booksci.cn Book学术提供免费学术资源搜索服务,方便国内外学者检索中英文文献。致力于提供最便捷和优质的服务体验。 Copyright © 2023 布克学术 All rights reserved.
京ICP备2023020795号-1
ghs 京公网安备 11010802042870号
Book学术文献互助
Book学术文献互助群
群 号:604180095
Book学术官方微信