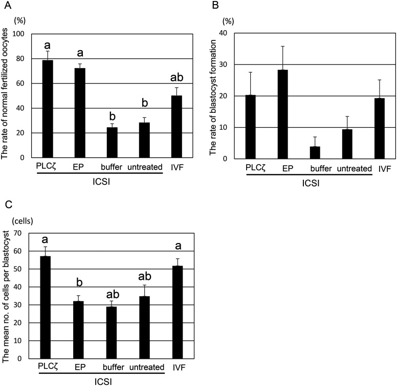
用磷脂酶 Cζ mRNA 激活卵母细胞可诱导细胞内 Ca2+ 重复升高,并提高质内精子注射后猪胚胎的质量。

IF 2.2 4区 生物学 Q2 AGRICULTURE, DAIRY & ANIMAL SCIENCE
Journal of Reproduction and Development Pub Date : 2024-08-07 Epub Date: 2024-06-09 DOI:10.1262/jrd.2023-105
Michiko Nakai, Shun-Ichi Suzuki, Dai-Ichiro Fuchimoto, Shoichiro Sembon, Kazuhiro Kikuchi
{"title":"用磷脂酶 Cζ mRNA 激活卵母细胞可诱导细胞内 Ca2+ 重复升高,并提高质内精子注射后猪胚胎的质量。","authors":"Michiko Nakai, Shun-Ichi Suzuki, Dai-Ichiro Fuchimoto, Shoichiro Sembon, Kazuhiro Kikuchi","doi":"10.1262/jrd.2023-105","DOIUrl":null,"url":null,"abstract":"<p><p>For the intracytoplasmic sperm injection (ICSI) procedure in pigs, an electrical pulse (EP) has been used as an effective method for oocyte stimulation, but unlike sperm, EP is unable to induce Ca<sup>2+</sup> oscillations. In this study, we investigated the effects of generating artificial Ca<sup>2+</sup> oscillations with phospholipase Cζ (PLCζ) mRNA, a candidate sperm factor, on fertilization, embryonic development, and gene expression after ICSI. Firstly, the concentration of PLCζ mRNA of a fixed volume (1.0 pl) that would induce a pattern of Ca<sup>2+</sup> rise similar to that of in vitro fertilized (IVF) sperm was examined and determined to be 300 ng/μl. Secondly, the effects of oocyte stimulation methods on fertilization and embryonic development were investigated. ICSI-oocytes were activated by EP (EP group) or by PLCζ mRNA (PLCζ group). Furthermore, IVF-oocytes (IVF group) and ICSI-oocytes with and without an injection of buffer (buffer and untreated groups, respectively) were used as controls. It was found that the rates of normal fertilization in the PLCζ and EP groups were significantly higher than those in the buffer and untreated groups. The blastocyst formation rates did not differ among the groups. The embryo quality in the EP group was inferior to those in the PLCζ and IVF groups. Additionally, the expression level of a proapoptosis-related gene (Caspase-3) in the EP group was significantly higher than those in the PLCζ and IVF groups. Our data suggest that oocyte activation by PLCζ mRNA has the effect of improving embryo quality.</p>","PeriodicalId":16942,"journal":{"name":"Journal of Reproduction and Development","volume":" ","pages":"229-237"},"PeriodicalIF":2.2000,"publicationDate":"2024-08-07","publicationTypes":"Journal Article","fieldsOfStudy":null,"isOpenAccess":false,"openAccessPdf":"https://www.ncbi.nlm.nih.gov/pmc/articles/PMC11310388/pdf/","citationCount":"0","resultStr":"{\"title\":\"Oocyte activation with phospholipase Cζ mRNA induces repetitive intracellular Ca<sup>2+</sup> rises and improves the quality of pig embryos after intracytoplasmic sperm injection.\",\"authors\":\"Michiko Nakai, Shun-Ichi Suzuki, Dai-Ichiro Fuchimoto, Shoichiro Sembon, Kazuhiro Kikuchi\",\"doi\":\"10.1262/jrd.2023-105\",\"DOIUrl\":null,\"url\":null,\"abstract\":\"<p><p>For the intracytoplasmic sperm injection (ICSI) procedure in pigs, an electrical pulse (EP) has been used as an effective method for oocyte stimulation, but unlike sperm, EP is unable to induce Ca<sup>2+</sup> oscillations. In this study, we investigated the effects of generating artificial Ca<sup>2+</sup> oscillations with phospholipase Cζ (PLCζ) mRNA, a candidate sperm factor, on fertilization, embryonic development, and gene expression after ICSI. Firstly, the concentration of PLCζ mRNA of a fixed volume (1.0 pl) that would induce a pattern of Ca<sup>2+</sup> rise similar to that of in vitro fertilized (IVF) sperm was examined and determined to be 300 ng/μl. Secondly, the effects of oocyte stimulation methods on fertilization and embryonic development were investigated. ICSI-oocytes were activated by EP (EP group) or by PLCζ mRNA (PLCζ group). Furthermore, IVF-oocytes (IVF group) and ICSI-oocytes with and without an injection of buffer (buffer and untreated groups, respectively) were used as controls. It was found that the rates of normal fertilization in the PLCζ and EP groups were significantly higher than those in the buffer and untreated groups. The blastocyst formation rates did not differ among the groups. The embryo quality in the EP group was inferior to those in the PLCζ and IVF groups. Additionally, the expression level of a proapoptosis-related gene (Caspase-3) in the EP group was significantly higher than those in the PLCζ and IVF groups. Our data suggest that oocyte activation by PLCζ mRNA has the effect of improving embryo quality.</p>\",\"PeriodicalId\":16942,\"journal\":{\"name\":\"Journal of Reproduction and Development\",\"volume\":\" \",\"pages\":\"229-237\"},\"PeriodicalIF\":2.2000,\"publicationDate\":\"2024-08-07\",\"publicationTypes\":\"Journal Article\",\"fieldsOfStudy\":null,\"isOpenAccess\":false,\"openAccessPdf\":\"https://www.ncbi.nlm.nih.gov/pmc/articles/PMC11310388/pdf/\",\"citationCount\":\"0\",\"resultStr\":null,\"platform\":\"Semanticscholar\",\"paperid\":null,\"PeriodicalName\":\"Journal of Reproduction and Development\",\"FirstCategoryId\":\"99\",\"ListUrlMain\":\"https://doi.org/10.1262/jrd.2023-105\",\"RegionNum\":4,\"RegionCategory\":\"生物学\",\"ArticlePicture\":[],\"TitleCN\":null,\"AbstractTextCN\":null,\"PMCID\":null,\"EPubDate\":\"2024/6/9 0:00:00\",\"PubModel\":\"Epub\",\"JCR\":\"Q2\",\"JCRName\":\"AGRICULTURE, DAIRY & ANIMAL SCIENCE\",\"Score\":null,\"Total\":0}","platform":"Semanticscholar","paperid":null,"PeriodicalName":"Journal of Reproduction and Development","FirstCategoryId":"99","ListUrlMain":"https://doi.org/10.1262/jrd.2023-105","RegionNum":4,"RegionCategory":"生物学","ArticlePicture":[],"TitleCN":null,"AbstractTextCN":null,"PMCID":null,"EPubDate":"2024/6/9 0:00:00","PubModel":"Epub","JCR":"Q2","JCRName":"AGRICULTURE, DAIRY & ANIMAL SCIENCE","Score":null,"Total":0}
引用次数: 0

摘要

在猪的卵胞浆内单精子显微注射(ICSI)过程中,电脉冲(EP)一直是刺激卵母细胞的有效方法,但与精子不同,EP无法诱导Ca2+振荡。在本研究中,我们研究了用磷脂酶Cζ(PLCζ)mRNA(一种候选精子因子)产生人工Ca2+振荡对ICSI后受精、胚胎发育和基因表达的影响。首先,研究了固定体积(1.0 pl)的 PLCζ mRNA 的浓度,该浓度能诱导 Ca2+ 的上升模式与体外受精(IVF)精子相似,并确定其浓度为 300 ng/μl。其次,研究了卵母细胞刺激方法对受精和胚胎发育的影响。通过 EP(EP 组)或 PLCζ mRNA(PLCζ 组)激活 ICSI 卵细胞。此外,IVF 卵母细胞(IVF 组)和注射或不注射缓冲液的 ICSI 卵母细胞(分别为缓冲液组和未处理组)被用作对照。结果发现,PLCζ 组和 EP 组的正常受精率明显高于缓冲组和未处理组。各组的囊胚形成率没有差异。EP 组的胚胎质量不如 PLCζ 组和 IVF 组。此外,EP 组促凋亡相关基因(Caspase-3)的表达水平明显高于 PLCζ 组和 IVF 组。我们的数据表明,PLCζ mRNA 对卵母细胞的激活具有改善胚胎质量的作用。
本文章由计算机程序翻译,如有差异,请以英文原文为准。

Oocyte activation with phospholipase Cζ mRNA induces repetitive intracellular Ca<sup>2+</sup> rises and improves the quality of pig embryos after intracytoplasmic sperm injection.

Oocyte activation with phospholipase Cζ mRNA induces repetitive intracellular Ca<sup>2+</sup> rises and improves the quality of pig embryos after intracytoplasmic sperm injection.

Oocyte activation with phospholipase Cζ mRNA induces repetitive intracellular Ca<sup>2+</sup> rises and improves the quality of pig embryos after intracytoplasmic sperm injection.

Oocyte activation with phospholipase Cζ mRNA induces repetitive intracellular Ca2+ rises and improves the quality of pig embryos after intracytoplasmic sperm injection.

For the intracytoplasmic sperm injection (ICSI) procedure in pigs, an electrical pulse (EP) has been used as an effective method for oocyte stimulation, but unlike sperm, EP is unable to induce Ca2+ oscillations. In this study, we investigated the effects of generating artificial Ca2+ oscillations with phospholipase Cζ (PLCζ) mRNA, a candidate sperm factor, on fertilization, embryonic development, and gene expression after ICSI. Firstly, the concentration of PLCζ mRNA of a fixed volume (1.0 pl) that would induce a pattern of Ca2+ rise similar to that of in vitro fertilized (IVF) sperm was examined and determined to be 300 ng/μl. Secondly, the effects of oocyte stimulation methods on fertilization and embryonic development were investigated. ICSI-oocytes were activated by EP (EP group) or by PLCζ mRNA (PLCζ group). Furthermore, IVF-oocytes (IVF group) and ICSI-oocytes with and without an injection of buffer (buffer and untreated groups, respectively) were used as controls. It was found that the rates of normal fertilization in the PLCζ and EP groups were significantly higher than those in the buffer and untreated groups. The blastocyst formation rates did not differ among the groups. The embryo quality in the EP group was inferior to those in the PLCζ and IVF groups. Additionally, the expression level of a proapoptosis-related gene (Caspase-3) in the EP group was significantly higher than those in the PLCζ and IVF groups. Our data suggest that oocyte activation by PLCζ mRNA has the effect of improving embryo quality.

求助全文
通过发布文献求助,成功后即可免费获取论文全文。 去求助
来源期刊
Journal of Reproduction and Development
Journal of Reproduction and Development 生物-奶制品与动物科学
CiteScore
3.70
自引率
11.10%
发文量
52
审稿时长
2 months
期刊介绍: Journal of Reproduction and Development (JRD) is the official journal of the Society for Reproduction and Development, published bimonthly, and welcomes original articles. JRD provides free full-text access of all the published articles on the web. The functions of the journal are managed by Editorial Board Members, such as the Editor-in-Chief, Co-Editor-inChief, Managing Editors and Editors. All manuscripts are peer-reviewed critically by two or more reviewers. Acceptance is based on scientific content and presentation of the materials. The Editors select reviewers and correspond with authors. Final decisions about acceptance or rejection of manuscripts are made by the Editor-in-Chief and Co-Editor-in-Chief.
×
引用
GB/T 7714-2015
复制
MLA
复制
APA
复制
导出至
BibTeX EndNote RefMan NoteFirst NoteExpress
×
提示
您的信息不完整,为了账户安全,请先补充。
现在去补充
×
提示
您因"违规操作"
具体请查看互助需知
我知道了
×
提示
确定
请完成安全验证×
copy
已复制链接
快去分享给好友吧!
我知道了
右上角分享
点击右上角分享
0
联系我们:info@booksci.cn Book学术提供免费学术资源搜索服务,方便国内外学者检索中英文文献。致力于提供最便捷和优质的服务体验。 Copyright © 2023 布克学术 All rights reserved.
京ICP备2023020795号-1
ghs 京公网安备 11010802042870号
Book学术文献互助
Book学术文献互助群
群 号:604180095
Book学术官方微信