大鼠接触有机磷后尿液中 11 种代谢物的定量。

IF 2.9 Q3 MEDICINE, RESEARCH & EXPERIMENTAL
Michael A Leninsky, Vladislav E Sobolev, Margarita O Sokolova, Natalya G Voitenko, Nikita V Skvortsov
{"title":"大鼠接触有机磷后尿液中 11 种代谢物的定量。","authors":"Michael A Leninsky, Vladislav E Sobolev, Margarita O Sokolova, Natalya G Voitenko, Nikita V Skvortsov","doi":"10.1186/s42826-024-00209-3","DOIUrl":null,"url":null,"abstract":"<p><strong>Background: </strong>The aim of the study was to develop a technique for quantitative determination of rat urine metabolites by HPLC-MS/MS, which can be used to search for biomarkers of acute intoxication with organophosphates (OPs).</p><p><strong>Results: </strong>The content of metabolites in the urine of rats exposed to a single dose of paraoxon (POX1x); interval, twice daily administration of paraoxon (POX2x); exposure to 2-(o-cresyl)-4H-1, 3, 2-benzodioxaphosphorin-2-oxide and paraoxon (CBPOX) was investigated. New data were obtained on the content in the urine of intact rats as well as rats in 3 models of OP poisoning: 3-methylhistidine, threonine, creatine, creatinine, lactic acid, acetylcarnitine, inosine, hypoxanthine, adenine, 3-hydroxymethyl-butyrate and 2-hydroxymethyl-butyrate.</p><p><strong>Conclusions: </strong>The proposed assay procedure is a simple and reliable tool for urine metabolomic studies. Within 1-3 days after OP exposure in all three models of acute intoxication, the concentration of metabolites in rat urine, with the exception of adenine, changes similarly and symmetrically, regardless of the method of poisoning modeling, in all three models of acute intoxication. Further studies are needed to determine the specificity and reliability of using urinary metabolite concentration changes as potential biomarkers of acute organophosphate intoxication.</p>","PeriodicalId":17993,"journal":{"name":"Laboratory Animal Research","volume":"40 1","pages":"23"},"PeriodicalIF":2.9000,"publicationDate":"2024-06-06","publicationTypes":"Journal Article","fieldsOfStudy":null,"isOpenAccess":false,"openAccessPdf":"https://www.ncbi.nlm.nih.gov/pmc/articles/PMC11155157/pdf/","citationCount":"0","resultStr":"{\"title\":\"Quantification of 11 metabolites in rat urine after exposure to organophosphates.\",\"authors\":\"Michael A Leninsky, Vladislav E Sobolev, Margarita O Sokolova, Natalya G Voitenko, Nikita V Skvortsov\",\"doi\":\"10.1186/s42826-024-00209-3\",\"DOIUrl\":null,\"url\":null,\"abstract\":\"<p><strong>Background: </strong>The aim of the study was to develop a technique for quantitative determination of rat urine metabolites by HPLC-MS/MS, which can be used to search for biomarkers of acute intoxication with organophosphates (OPs).</p><p><strong>Results: </strong>The content of metabolites in the urine of rats exposed to a single dose of paraoxon (POX1x); interval, twice daily administration of paraoxon (POX2x); exposure to 2-(o-cresyl)-4H-1, 3, 2-benzodioxaphosphorin-2-oxide and paraoxon (CBPOX) was investigated. New data were obtained on the content in the urine of intact rats as well as rats in 3 models of OP poisoning: 3-methylhistidine, threonine, creatine, creatinine, lactic acid, acetylcarnitine, inosine, hypoxanthine, adenine, 3-hydroxymethyl-butyrate and 2-hydroxymethyl-butyrate.</p><p><strong>Conclusions: </strong>The proposed assay procedure is a simple and reliable tool for urine metabolomic studies. Within 1-3 days after OP exposure in all three models of acute intoxication, the concentration of metabolites in rat urine, with the exception of adenine, changes similarly and symmetrically, regardless of the method of poisoning modeling, in all three models of acute intoxication. Further studies are needed to determine the specificity and reliability of using urinary metabolite concentration changes as potential biomarkers of acute organophosphate intoxication.</p>\",\"PeriodicalId\":17993,\"journal\":{\"name\":\"Laboratory Animal Research\",\"volume\":\"40 1\",\"pages\":\"23\"},\"PeriodicalIF\":2.9000,\"publicationDate\":\"2024-06-06\",\"publicationTypes\":\"Journal Article\",\"fieldsOfStudy\":null,\"isOpenAccess\":false,\"openAccessPdf\":\"https://www.ncbi.nlm.nih.gov/pmc/articles/PMC11155157/pdf/\",\"citationCount\":\"0\",\"resultStr\":null,\"platform\":\"Semanticscholar\",\"paperid\":null,\"PeriodicalName\":\"Laboratory Animal Research\",\"FirstCategoryId\":\"1085\",\"ListUrlMain\":\"https://doi.org/10.1186/s42826-024-00209-3\",\"RegionNum\":0,\"RegionCategory\":null,\"ArticlePicture\":[],\"TitleCN\":null,\"AbstractTextCN\":null,\"PMCID\":null,\"EPubDate\":\"\",\"PubModel\":\"\",\"JCR\":\"Q3\",\"JCRName\":\"MEDICINE, RESEARCH & EXPERIMENTAL\",\"Score\":null,\"Total\":0}","platform":"Semanticscholar","paperid":null,"PeriodicalName":"Laboratory Animal Research","FirstCategoryId":"1085","ListUrlMain":"https://doi.org/10.1186/s42826-024-00209-3","RegionNum":0,"RegionCategory":null,"ArticlePicture":[],"TitleCN":null,"AbstractTextCN":null,"PMCID":null,"EPubDate":"","PubModel":"","JCR":"Q3","JCRName":"MEDICINE, RESEARCH & EXPERIMENTAL","Score":null,"Total":0}
引用次数: 0

摘要

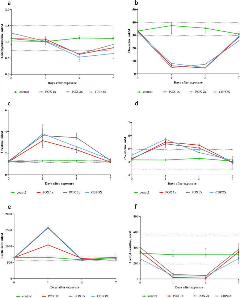
研究背景研究的目的是开发一种通过 HPLC-MS/MS 对大鼠尿液代谢物进行定量测定的技术,该技术可用于寻找有机磷(OPs)急性中毒的生物标志物:结果:研究了大鼠尿液中代谢物的含量,这些大鼠分别暴露于单次剂量的对氧磷(POX1x);间歇性、每天两次的对氧磷(POX2x);暴露于2-(邻甲酚基)-4H-1, 3, 2-苯并二氧磷-2-氧化物和对氧磷(CBPOX)。研究获得了关于完整大鼠以及 3 种 OP 中毒模型大鼠尿液中 3-甲基组氨酸、苏氨酸、肌酸、肌酐、乳酸、乙酰卡尼汀、肌苷、次黄嘌呤、腺嘌呤、3-羟甲基丁酸盐和 2-羟甲基丁酸盐含量的新数据:建议的检测程序是进行尿液代谢组学研究的一种简单而可靠的工具。在所有三种急性中毒模型中,在接触 OP 后的 1-3 天内,除腺嘌呤外,大鼠尿液中代谢物的浓度都会发生类似且对称的变化,与中毒模型的方法无关。要确定使用尿液代谢物浓度变化作为急性有机磷中毒的潜在生物标志物的特异性和可靠性,还需要进一步的研究。
本文章由计算机程序翻译,如有差异,请以英文原文为准。

Quantification of 11 metabolites in rat urine after exposure to organophosphates.

Quantification of 11 metabolites in rat urine after exposure to organophosphates.

Quantification of 11 metabolites in rat urine after exposure to organophosphates.

Quantification of 11 metabolites in rat urine after exposure to organophosphates.

Background: The aim of the study was to develop a technique for quantitative determination of rat urine metabolites by HPLC-MS/MS, which can be used to search for biomarkers of acute intoxication with organophosphates (OPs).

Results: The content of metabolites in the urine of rats exposed to a single dose of paraoxon (POX1x); interval, twice daily administration of paraoxon (POX2x); exposure to 2-(o-cresyl)-4H-1, 3, 2-benzodioxaphosphorin-2-oxide and paraoxon (CBPOX) was investigated. New data were obtained on the content in the urine of intact rats as well as rats in 3 models of OP poisoning: 3-methylhistidine, threonine, creatine, creatinine, lactic acid, acetylcarnitine, inosine, hypoxanthine, adenine, 3-hydroxymethyl-butyrate and 2-hydroxymethyl-butyrate.

Conclusions: The proposed assay procedure is a simple and reliable tool for urine metabolomic studies. Within 1-3 days after OP exposure in all three models of acute intoxication, the concentration of metabolites in rat urine, with the exception of adenine, changes similarly and symmetrically, regardless of the method of poisoning modeling, in all three models of acute intoxication. Further studies are needed to determine the specificity and reliability of using urinary metabolite concentration changes as potential biomarkers of acute organophosphate intoxication.

求助全文
通过发布文献求助,成功后即可免费获取论文全文。 去求助
来源期刊
CiteScore
4.40
自引率
0.00%
发文量
32
审稿时长
8 weeks
×
引用
GB/T 7714-2015
复制
MLA
复制
APA
复制
导出至
BibTeX EndNote RefMan NoteFirst NoteExpress
×
提示
您的信息不完整,为了账户安全,请先补充。
现在去补充
×
提示
您因"违规操作"
具体请查看互助需知
我知道了
×
提示
确定
请完成安全验证×
copy
已复制链接
快去分享给好友吧!
我知道了
右上角分享
点击右上角分享
0
联系我们:info@booksci.cn Book学术提供免费学术资源搜索服务,方便国内外学者检索中英文文献。致力于提供最便捷和优质的服务体验。 Copyright © 2023 布克学术 All rights reserved.
京ICP备2023020795号-1
ghs 京公网安备 11010802042870号
Book学术文献互助
Book学术文献互助群
群 号:604180095
Book学术官方微信