降低睾酮的药物对性犯罪累犯的影响。

IF 8.9 2区 医学 Q1 Medicine
Dialogues in Clinical Neuroscience Pub Date : 2024-01-01 Epub Date: 2024-06-05 DOI:10.1080/19585969.2024.2359923
Julia Sauter, Laura M Lingenti, Martin Rettenberger, Daniel Turner, Peer Briken, Tatjana Voß
{"title":"降低睾酮的药物对性犯罪累犯的影响。","authors":"Julia Sauter, Laura M Lingenti, Martin Rettenberger, Daniel Turner, Peer Briken, Tatjana Voß","doi":"10.1080/19585969.2024.2359923","DOIUrl":null,"url":null,"abstract":"<p><strong>Introduction: </strong>Treatment of individuals who have committed sexual offences with Testosterone-Lowering Medication (TLM) is a comparatively intrusive kind of intervention, which regularly takes place in coercive contexts. Thus, the question of efficacy, but also the question of who should be treated, when and for how long, are of great importance.</p><p><strong>Methods: </strong>Recidivism rates of TLM-treated high-risk individuals (+TLM; <i>n</i> = 54) were compared with high-risk individuals treated with psychotherapy only in the same forensic outpatient clinic (-TLM; <i>n</i> = 79).</p><p><strong>Results: </strong>Group differences suggested a higher initial risk of + TLM (e.g. higher ris-assessment, previous convictions). Despite the increased risk, after an average time at risk of six years, +TLM recidivated significantly less often and significantly later than - TLM (27.8% vs. 51.9%). Such an effect was also found for violent (1.9% vs. 15.2%), but not for sexual (5.6% vs. 10.1%) and serious recidivism (5.6% vs. 10.1%), which could be explained partly by the small number of cases. In the course of treatment, TLM proved to be a significant variable for a positive process, whereas a high risk-assessment score indicated a rather negative course. In total, <i>n</i> = 19 individuals had stopped their TLM treatment, of these 31.6% recidivated.</p><p><strong>Conclusion: </strong>The results support the efficacy of TLM, particularly in the group of high-risk offenders.</p>","PeriodicalId":54343,"journal":{"name":"Dialogues in Clinical Neuroscience","volume":"26 1","pages":"28-37"},"PeriodicalIF":8.9000,"publicationDate":"2024-01-01","publicationTypes":"Journal Article","fieldsOfStudy":null,"isOpenAccess":false,"openAccessPdf":"https://www.ncbi.nlm.nih.gov/pmc/articles/PMC11155425/pdf/","citationCount":"0","resultStr":"{\"title\":\"The impact of testosterone-lowering medication on recidivism in individuals convicted of sexual offenses.\",\"authors\":\"Julia Sauter, Laura M Lingenti, Martin Rettenberger, Daniel Turner, Peer Briken, Tatjana Voß\",\"doi\":\"10.1080/19585969.2024.2359923\",\"DOIUrl\":null,\"url\":null,\"abstract\":\"<p><strong>Introduction: </strong>Treatment of individuals who have committed sexual offences with Testosterone-Lowering Medication (TLM) is a comparatively intrusive kind of intervention, which regularly takes place in coercive contexts. Thus, the question of efficacy, but also the question of who should be treated, when and for how long, are of great importance.</p><p><strong>Methods: </strong>Recidivism rates of TLM-treated high-risk individuals (+TLM; <i>n</i> = 54) were compared with high-risk individuals treated with psychotherapy only in the same forensic outpatient clinic (-TLM; <i>n</i> = 79).</p><p><strong>Results: </strong>Group differences suggested a higher initial risk of + TLM (e.g. higher ris-assessment, previous convictions). Despite the increased risk, after an average time at risk of six years, +TLM recidivated significantly less often and significantly later than - TLM (27.8% vs. 51.9%). Such an effect was also found for violent (1.9% vs. 15.2%), but not for sexual (5.6% vs. 10.1%) and serious recidivism (5.6% vs. 10.1%), which could be explained partly by the small number of cases. In the course of treatment, TLM proved to be a significant variable for a positive process, whereas a high risk-assessment score indicated a rather negative course. In total, <i>n</i> = 19 individuals had stopped their TLM treatment, of these 31.6% recidivated.</p><p><strong>Conclusion: </strong>The results support the efficacy of TLM, particularly in the group of high-risk offenders.</p>\",\"PeriodicalId\":54343,\"journal\":{\"name\":\"Dialogues in Clinical Neuroscience\",\"volume\":\"26 1\",\"pages\":\"28-37\"},\"PeriodicalIF\":8.9000,\"publicationDate\":\"2024-01-01\",\"publicationTypes\":\"Journal Article\",\"fieldsOfStudy\":null,\"isOpenAccess\":false,\"openAccessPdf\":\"https://www.ncbi.nlm.nih.gov/pmc/articles/PMC11155425/pdf/\",\"citationCount\":\"0\",\"resultStr\":null,\"platform\":\"Semanticscholar\",\"paperid\":null,\"PeriodicalName\":\"Dialogues in Clinical Neuroscience\",\"FirstCategoryId\":\"3\",\"ListUrlMain\":\"https://doi.org/10.1080/19585969.2024.2359923\",\"RegionNum\":2,\"RegionCategory\":\"医学\",\"ArticlePicture\":[],\"TitleCN\":null,\"AbstractTextCN\":null,\"PMCID\":null,\"EPubDate\":\"2024/6/5 0:00:00\",\"PubModel\":\"Epub\",\"JCR\":\"Q1\",\"JCRName\":\"Medicine\",\"Score\":null,\"Total\":0}","platform":"Semanticscholar","paperid":null,"PeriodicalName":"Dialogues in Clinical Neuroscience","FirstCategoryId":"3","ListUrlMain":"https://doi.org/10.1080/19585969.2024.2359923","RegionNum":2,"RegionCategory":"医学","ArticlePicture":[],"TitleCN":null,"AbstractTextCN":null,"PMCID":null,"EPubDate":"2024/6/5 0:00:00","PubModel":"Epub","JCR":"Q1","JCRName":"Medicine","Score":null,"Total":0}
引用次数: 0

摘要

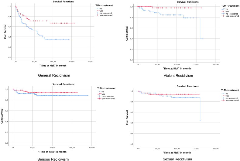
导言:使用降低睾丸激素药物(TLM)治疗性犯罪者是一种侵入性较强的干预措施,经常在胁迫的情况下进行。因此,疗效问题,以及谁应该接受治疗、何时接受治疗、治疗多长时间等问题都非常重要:将接受过 TLM 治疗的高危人群(+TLM;n = 54)与在同一法医门诊中仅接受心理治疗的高危人群(-TLM;n = 79)的再犯率进行比较:结果:群体差异表明,+TLM 的初始风险较高(例如,风险评估较高、有前科)。尽管风险增加,但在平均六年的风险时间后,"+TLM "的再犯率明显低于"-TLM"(27.8% 对 51.9%),且明显晚于"-TLM"。在暴力再犯(1.9% 对 15.2%)方面也发现了这种效果,但在性再犯(5.6% 对 10.1%)和严重再犯(5.6% 对 10.1%)方面没有发现这种效果,部分原因可能是案例数量较少。在治疗过程中,TLM 被证明是积极治疗过程的重要变量,而高风险评估分数则表明治疗过程相当消极。共有 19 人停止了 TLM 治疗,其中 31.6% 的人重新犯罪:结论:研究结果表明,TLM 疗法是有效的,尤其是在高风险罪犯群体中。
本文章由计算机程序翻译,如有差异,请以英文原文为准。

The impact of testosterone-lowering medication on recidivism in individuals convicted of sexual offenses.

The impact of testosterone-lowering medication on recidivism in individuals convicted of sexual offenses.

Introduction: Treatment of individuals who have committed sexual offences with Testosterone-Lowering Medication (TLM) is a comparatively intrusive kind of intervention, which regularly takes place in coercive contexts. Thus, the question of efficacy, but also the question of who should be treated, when and for how long, are of great importance.

Methods: Recidivism rates of TLM-treated high-risk individuals (+TLM; n = 54) were compared with high-risk individuals treated with psychotherapy only in the same forensic outpatient clinic (-TLM; n = 79).

Results: Group differences suggested a higher initial risk of + TLM (e.g. higher ris-assessment, previous convictions). Despite the increased risk, after an average time at risk of six years, +TLM recidivated significantly less often and significantly later than - TLM (27.8% vs. 51.9%). Such an effect was also found for violent (1.9% vs. 15.2%), but not for sexual (5.6% vs. 10.1%) and serious recidivism (5.6% vs. 10.1%), which could be explained partly by the small number of cases. In the course of treatment, TLM proved to be a significant variable for a positive process, whereas a high risk-assessment score indicated a rather negative course. In total, n = 19 individuals had stopped their TLM treatment, of these 31.6% recidivated.

Conclusion: The results support the efficacy of TLM, particularly in the group of high-risk offenders.

求助全文
通过发布文献求助,成功后即可免费获取论文全文。 去求助
来源期刊
Dialogues in Clinical Neuroscience
Dialogues in Clinical Neuroscience Medicine-Psychiatry and Mental Health
CiteScore
19.30
自引率
1.20%
发文量
1
期刊介绍: Dialogues in Clinical Neuroscience (DCNS) endeavors to bridge the gap between clinical neuropsychiatry and the neurosciences by offering state-of-the-art information and original insights into pertinent clinical, biological, and therapeutic aspects. As an open access journal, DCNS ensures accessibility to its content for all interested parties. Each issue is curated to include expert reviews, original articles, and brief reports, carefully selected to offer a comprehensive understanding of the evolving landscape in clinical neuroscience. Join us in advancing knowledge and fostering dialogue in this dynamic field.
×
引用
GB/T 7714-2015
复制
MLA
复制
APA
复制
导出至
BibTeX EndNote RefMan NoteFirst NoteExpress
×
提示
您的信息不完整,为了账户安全,请先补充。
现在去补充
×
提示
您因"违规操作"
具体请查看互助需知
我知道了
×
提示
确定
请完成安全验证×
copy
已复制链接
快去分享给好友吧!
我知道了
右上角分享
点击右上角分享
0
联系我们:info@booksci.cn Book学术提供免费学术资源搜索服务,方便国内外学者检索中英文文献。致力于提供最便捷和优质的服务体验。 Copyright © 2023 布克学术 All rights reserved.
京ICP备2023020795号-1
ghs 京公网安备 11010802042870号
Book学术文献互助
Book学术文献互助群
群 号:604180095
Book学术官方微信