从颅骨减压切除术到颅骨成形术:利用英格兰医院病例统计资料进行的回顾性观察研究。

IF 1.6 Q2 SURGERY
BMJ Surgery Interventions Health Technologies Pub Date : 2024-06-03 eCollection Date: 2024-01-01 DOI:10.1136/bmjsit-2023-000253
Harry Mee, J M Harris, T Korhonen, F Anwar, A J Wahba, Michael Martin, G Whiting, E Viaroli, I Timofeev, A Helmy, Angelos G Kolias, Peter J Hutchinson
{"title":"从颅骨减压切除术到颅骨成形术:利用英格兰医院病例统计资料进行的回顾性观察研究。","authors":"Harry Mee, J M Harris, T Korhonen, F Anwar, A J Wahba, Michael Martin, G Whiting, E Viaroli, I Timofeev, A Helmy, Angelos G Kolias, Peter J Hutchinson","doi":"10.1136/bmjsit-2023-000253","DOIUrl":null,"url":null,"abstract":"<p><strong>Objectives: </strong>To investigate the longitudinal trends of decompressive craniectomy (DC) following traumatic brain injury (TBI) or stroke and explore whether the timing of cranial reconstruction affected revision or removal rates using Hospital Episode Statistics (HES) between 2014 and 2019.</p><p><strong>Design: </strong>Retrospective observational cohort study using HES. The time frame definitions mirror those often used in clinical practice.</p><p><strong>Setting: </strong>HES data from neurosurgical centres in England.</p><p><strong>Participants: </strong>HES data related to decompressive craniectomy procedures and cranioplasty following TBI or stroke between 2014 and 2019.</p><p><strong>Main outcome measures: </strong>The primary outcome was the timing and rate of revision/removal compared with cranioplasty within <12 weeks to ≥12 weeks.</p><p><strong>Results: </strong>There were 4627 DC procedures, of which 1847 (40%) were due to head injury, 1116 (24%) were due to stroke, 728 (16%) were due to other cerebrovascular diagnoses, 317 (7%) had mixed diagnosis and 619 (13%) had no pre-specified diagnoses. The number of DC procedures performed per year ranged from 876 in 2014-2015 to 967 in 2018-2019. There were 4466 cranioplasty procedures, with 309 (7%) revisions and/or removals during the first postoperative year. There was a 33% increase in the overall number of cranioplasty procedures performed within 12 weeks, and there were 1823 patients who underwent both craniectomy and cranioplasty during the study period, with 1436 (79%) having a cranioplasty within 1 year. However, relating to the timing of cranial reconstruction, there was no evidence of any difference in the rate of revision or removal surgery in the early timing group (6.5%) compared with standard care (7.9%) (adjusted HR 0.93, 95% CIs 0.61 to 1.43; p=0.75).</p><p><strong>Conclusions: </strong>Overall number of craniectomies and the subsequent requirements for cranioplasty increased steadily during the study period. However, relating to the timing of cranial reconstruction, there was no evidence of an overall difference in the rate of revision or removal surgery in the early timing group.</p>","PeriodicalId":33349,"journal":{"name":"BMJ Surgery Interventions Health Technologies","volume":"6 1","pages":"e000253"},"PeriodicalIF":1.6000,"publicationDate":"2024-06-03","publicationTypes":"Journal Article","fieldsOfStudy":null,"isOpenAccess":false,"openAccessPdf":"https://www.ncbi.nlm.nih.gov/pmc/articles/PMC11149159/pdf/","citationCount":"0","resultStr":"{\"title\":\"Decompressive craniectomy to cranioplasty: a retrospective observational study using Hospital Episode Statistics in England.\",\"authors\":\"Harry Mee, J M Harris, T Korhonen, F Anwar, A J Wahba, Michael Martin, G Whiting, E Viaroli, I Timofeev, A Helmy, Angelos G Kolias, Peter J Hutchinson\",\"doi\":\"10.1136/bmjsit-2023-000253\",\"DOIUrl\":null,\"url\":null,\"abstract\":\"<p><strong>Objectives: </strong>To investigate the longitudinal trends of decompressive craniectomy (DC) following traumatic brain injury (TBI) or stroke and explore whether the timing of cranial reconstruction affected revision or removal rates using Hospital Episode Statistics (HES) between 2014 and 2019.</p><p><strong>Design: </strong>Retrospective observational cohort study using HES. The time frame definitions mirror those often used in clinical practice.</p><p><strong>Setting: </strong>HES data from neurosurgical centres in England.</p><p><strong>Participants: </strong>HES data related to decompressive craniectomy procedures and cranioplasty following TBI or stroke between 2014 and 2019.</p><p><strong>Main outcome measures: </strong>The primary outcome was the timing and rate of revision/removal compared with cranioplasty within <12 weeks to ≥12 weeks.</p><p><strong>Results: </strong>There were 4627 DC procedures, of which 1847 (40%) were due to head injury, 1116 (24%) were due to stroke, 728 (16%) were due to other cerebrovascular diagnoses, 317 (7%) had mixed diagnosis and 619 (13%) had no pre-specified diagnoses. The number of DC procedures performed per year ranged from 876 in 2014-2015 to 967 in 2018-2019. There were 4466 cranioplasty procedures, with 309 (7%) revisions and/or removals during the first postoperative year. There was a 33% increase in the overall number of cranioplasty procedures performed within 12 weeks, and there were 1823 patients who underwent both craniectomy and cranioplasty during the study period, with 1436 (79%) having a cranioplasty within 1 year. However, relating to the timing of cranial reconstruction, there was no evidence of any difference in the rate of revision or removal surgery in the early timing group (6.5%) compared with standard care (7.9%) (adjusted HR 0.93, 95% CIs 0.61 to 1.43; p=0.75).</p><p><strong>Conclusions: </strong>Overall number of craniectomies and the subsequent requirements for cranioplasty increased steadily during the study period. However, relating to the timing of cranial reconstruction, there was no evidence of an overall difference in the rate of revision or removal surgery in the early timing group.</p>\",\"PeriodicalId\":33349,\"journal\":{\"name\":\"BMJ Surgery Interventions Health Technologies\",\"volume\":\"6 1\",\"pages\":\"e000253\"},\"PeriodicalIF\":1.6000,\"publicationDate\":\"2024-06-03\",\"publicationTypes\":\"Journal Article\",\"fieldsOfStudy\":null,\"isOpenAccess\":false,\"openAccessPdf\":\"https://www.ncbi.nlm.nih.gov/pmc/articles/PMC11149159/pdf/\",\"citationCount\":\"0\",\"resultStr\":null,\"platform\":\"Semanticscholar\",\"paperid\":null,\"PeriodicalName\":\"BMJ Surgery Interventions Health Technologies\",\"FirstCategoryId\":\"1085\",\"ListUrlMain\":\"https://doi.org/10.1136/bmjsit-2023-000253\",\"RegionNum\":0,\"RegionCategory\":null,\"ArticlePicture\":[],\"TitleCN\":null,\"AbstractTextCN\":null,\"PMCID\":null,\"EPubDate\":\"2024/1/1 0:00:00\",\"PubModel\":\"eCollection\",\"JCR\":\"Q2\",\"JCRName\":\"SURGERY\",\"Score\":null,\"Total\":0}","platform":"Semanticscholar","paperid":null,"PeriodicalName":"BMJ Surgery Interventions Health Technologies","FirstCategoryId":"1085","ListUrlMain":"https://doi.org/10.1136/bmjsit-2023-000253","RegionNum":0,"RegionCategory":null,"ArticlePicture":[],"TitleCN":null,"AbstractTextCN":null,"PMCID":null,"EPubDate":"2024/1/1 0:00:00","PubModel":"eCollection","JCR":"Q2","JCRName":"SURGERY","Score":null,"Total":0}
引用次数: 0

摘要

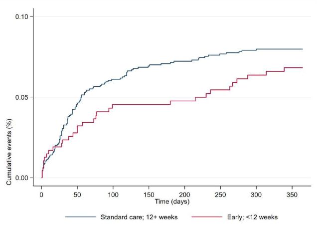
目的调查创伤性脑损伤(TBI)或中风后颅骨减压切除术(DC)的纵向趋势,并利用 2014 年至 2019 年期间的医院病例统计(HES)探讨颅骨重建的时机是否会影响修正或切除率:设计:使用 HES 进行回顾性观察队列研究。时间框架定义反映了临床实践中经常使用的定义:英国神经外科中心的 HES 数据:2014年至2019年期间与创伤性脑损伤或中风后减压开颅手术和颅骨成形术相关的HES数据:主要结果:与颅骨成形术相比,主要结果是修正/切除的时间和比率:共有4627例直流手术,其中1847例(40%)是由于头部损伤,1116例(24%)是由于中风,728例(16%)是由于其他脑血管诊断,317例(7%)是混合诊断,619例(13%)没有预先指定的诊断。每年进行的直流手术数量从 2014-2015 年的 876 例到 2018-2019 年的 967 例不等。颅骨成形术共有 4466 例,其中 309 例(7%)在术后第一年进行了翻修和/或切除。在12周内进行的颅骨成形术总数增加了33%,在研究期间,有1823名患者同时接受了颅骨切除术和颅骨成形术,其中1436人(79%)在1年内进行了颅骨成形术。然而,在颅骨重建的时机方面,没有证据表明早期时机组(6.5%)与标准护理组(7.9%)的翻修或切除手术率存在差异(调整后HR为0.93,95% CIs为0.61至1.43;P=0.75):结论:在研究期间,颅骨切除术的总体数量和随后的颅骨成形术需求稳步增长。结论:在研究期间,颅骨切除术的总体数量和随后的颅骨成形术需求稳步增加,但就颅骨重建的时机而言,没有证据表明早期时机组的翻修或切除手术率存在总体差异。
本文章由计算机程序翻译,如有差异,请以英文原文为准。

Decompressive craniectomy to cranioplasty: a retrospective observational study using Hospital Episode Statistics in England.

Decompressive craniectomy to cranioplasty: a retrospective observational study using Hospital Episode Statistics in England.

Decompressive craniectomy to cranioplasty: a retrospective observational study using Hospital Episode Statistics in England.

Decompressive craniectomy to cranioplasty: a retrospective observational study using Hospital Episode Statistics in England.

Objectives: To investigate the longitudinal trends of decompressive craniectomy (DC) following traumatic brain injury (TBI) or stroke and explore whether the timing of cranial reconstruction affected revision or removal rates using Hospital Episode Statistics (HES) between 2014 and 2019.

Design: Retrospective observational cohort study using HES. The time frame definitions mirror those often used in clinical practice.

Setting: HES data from neurosurgical centres in England.

Participants: HES data related to decompressive craniectomy procedures and cranioplasty following TBI or stroke between 2014 and 2019.

Main outcome measures: The primary outcome was the timing and rate of revision/removal compared with cranioplasty within <12 weeks to ≥12 weeks.

Results: There were 4627 DC procedures, of which 1847 (40%) were due to head injury, 1116 (24%) were due to stroke, 728 (16%) were due to other cerebrovascular diagnoses, 317 (7%) had mixed diagnosis and 619 (13%) had no pre-specified diagnoses. The number of DC procedures performed per year ranged from 876 in 2014-2015 to 967 in 2018-2019. There were 4466 cranioplasty procedures, with 309 (7%) revisions and/or removals during the first postoperative year. There was a 33% increase in the overall number of cranioplasty procedures performed within 12 weeks, and there were 1823 patients who underwent both craniectomy and cranioplasty during the study period, with 1436 (79%) having a cranioplasty within 1 year. However, relating to the timing of cranial reconstruction, there was no evidence of any difference in the rate of revision or removal surgery in the early timing group (6.5%) compared with standard care (7.9%) (adjusted HR 0.93, 95% CIs 0.61 to 1.43; p=0.75).

Conclusions: Overall number of craniectomies and the subsequent requirements for cranioplasty increased steadily during the study period. However, relating to the timing of cranial reconstruction, there was no evidence of an overall difference in the rate of revision or removal surgery in the early timing group.

求助全文
通过发布文献求助,成功后即可免费获取论文全文。 去求助
来源期刊
CiteScore
2.80
自引率
0.00%
发文量
22
审稿时长
17 weeks
×
引用
GB/T 7714-2015
复制
MLA
复制
APA
复制
导出至
BibTeX EndNote RefMan NoteFirst NoteExpress
×
提示
您的信息不完整,为了账户安全,请先补充。
现在去补充
×
提示
您因"违规操作"
具体请查看互助需知
我知道了
×
提示
确定
请完成安全验证×
copy
已复制链接
快去分享给好友吧!
我知道了
右上角分享
点击右上角分享
0
联系我们:info@booksci.cn Book学术提供免费学术资源搜索服务,方便国内外学者检索中英文文献。致力于提供最便捷和优质的服务体验。 Copyright © 2023 布克学术 All rights reserved.
京ICP备2023020795号-1
ghs 京公网安备 11010802042870号
Book学术文献互助
Book学术文献互助群
群 号:604180095
Book学术官方微信