通过超声心动图评估心房颤动患者的左心室充盈压。

IF 2.4 Q2 CARDIAC & CARDIOVASCULAR SYSTEMS
Faraz H Khan, Debbie Zhao, Jong-Won Ha, Sherif F Nagueh, Jens-Uwe Voigt, Allan L Klein, Einar Gude, Kaspar Broch, Nicholas Chan, Gina M Quill, Robert N Doughty, Alistair Young, Ji-Won Seo, Eusebio García-Izquierdo, Vanessa Moñivas-Palomero, Susana Mingo-Santos, Tom Kai Ming Wang, Stephanie Bezy, Nobuyuki Ohte, Helge Skulstad, Carmen C Beladan, Bogdan A Popescu, Shohei Kikuchi, Vasileios Panis, Erwan Donal, Espen W Remme, Martyn P Nash, Otto A Smiseth
{"title":"通过超声心动图评估心房颤动患者的左心室充盈压。","authors":"Faraz H Khan, Debbie Zhao, Jong-Won Ha, Sherif F Nagueh, Jens-Uwe Voigt, Allan L Klein, Einar Gude, Kaspar Broch, Nicholas Chan, Gina M Quill, Robert N Doughty, Alistair Young, Ji-Won Seo, Eusebio García-Izquierdo, Vanessa Moñivas-Palomero, Susana Mingo-Santos, Tom Kai Ming Wang, Stephanie Bezy, Nobuyuki Ohte, Helge Skulstad, Carmen C Beladan, Bogdan A Popescu, Shohei Kikuchi, Vasileios Panis, Erwan Donal, Espen W Remme, Martyn P Nash, Otto A Smiseth","doi":"10.1186/s44156-024-00048-x","DOIUrl":null,"url":null,"abstract":"<p><strong>Background: </strong>Echocardiography is widely used to evaluate left ventricular (LV) diastolic function in patients suspected of heart failure. For patients in sinus rhythm, a combination of several echocardiographic parameters can differentiate between normal and elevated LV filling pressure with good accuracy. However, there is no established echocardiographic approach for the evaluation of LV filling pressure in patients with atrial fibrillation. The objective of the present study was to determine if a combination of several echocardiographic and clinical parameters may be used to evaluate LV filling pressure in patients with atrial fibrillation.</p><p><strong>Results: </strong>In a multicentre study of 148 atrial fibrillation patients, several echocardiographic parameters were tested against invasively measured LV filling pressure as the reference method. No single parameter had sufficiently strong association with LV filling pressure to be recommended for clinical use. Based on univariate regression analysis in the present study, and evidence from existing literature, we developed a two-step algorithm for differentiation between normal and elevated LV filling pressure, defining values ≥ 15 mmHg as elevated. The parameters in the first step included the ratio between mitral early flow velocity and septal mitral annular velocity (septal E/e'), mitral E velocity, deceleration time of E, and peak tricuspid regurgitation velocity. Patients who could not be classified in the first step were tested in a second step by applying supplementary parameters, which included left atrial reservoir strain, pulmonary venous systolic/diastolic velocity ratio, and body mass index. This two-step algorithm classified patients as having either normal or elevated LV filling pressure with 75% accuracy and with 85% feasibility. Accuracy in EF ≥ 50% and EF < 50% was similar (75% and 76%).</p><p><strong>Conclusions: </strong>In patients with atrial fibrillation, no single echocardiographic parameter was sufficiently reliable to be used clinically to identify elevated LV filling pressure. An algorithm that combined several echocardiographic parameters and body mass index, however, was able to classify patients as having normal or elevated LV filling pressure with moderate accuracy and high feasibility.</p>","PeriodicalId":45749,"journal":{"name":"Echo Research and Practice","volume":"11 1","pages":"14"},"PeriodicalIF":2.4000,"publicationDate":"2024-06-03","publicationTypes":"Journal Article","fieldsOfStudy":null,"isOpenAccess":false,"openAccessPdf":"https://www.ncbi.nlm.nih.gov/pmc/articles/PMC11145766/pdf/","citationCount":"0","resultStr":"{\"title\":\"Evaluation of left ventricular filling pressure by echocardiography in patients with atrial fibrillation.\",\"authors\":\"Faraz H Khan, Debbie Zhao, Jong-Won Ha, Sherif F Nagueh, Jens-Uwe Voigt, Allan L Klein, Einar Gude, Kaspar Broch, Nicholas Chan, Gina M Quill, Robert N Doughty, Alistair Young, Ji-Won Seo, Eusebio García-Izquierdo, Vanessa Moñivas-Palomero, Susana Mingo-Santos, Tom Kai Ming Wang, Stephanie Bezy, Nobuyuki Ohte, Helge Skulstad, Carmen C Beladan, Bogdan A Popescu, Shohei Kikuchi, Vasileios Panis, Erwan Donal, Espen W Remme, Martyn P Nash, Otto A Smiseth\",\"doi\":\"10.1186/s44156-024-00048-x\",\"DOIUrl\":null,\"url\":null,\"abstract\":\"<p><strong>Background: </strong>Echocardiography is widely used to evaluate left ventricular (LV) diastolic function in patients suspected of heart failure. For patients in sinus rhythm, a combination of several echocardiographic parameters can differentiate between normal and elevated LV filling pressure with good accuracy. However, there is no established echocardiographic approach for the evaluation of LV filling pressure in patients with atrial fibrillation. The objective of the present study was to determine if a combination of several echocardiographic and clinical parameters may be used to evaluate LV filling pressure in patients with atrial fibrillation.</p><p><strong>Results: </strong>In a multicentre study of 148 atrial fibrillation patients, several echocardiographic parameters were tested against invasively measured LV filling pressure as the reference method. No single parameter had sufficiently strong association with LV filling pressure to be recommended for clinical use. Based on univariate regression analysis in the present study, and evidence from existing literature, we developed a two-step algorithm for differentiation between normal and elevated LV filling pressure, defining values ≥ 15 mmHg as elevated. The parameters in the first step included the ratio between mitral early flow velocity and septal mitral annular velocity (septal E/e'), mitral E velocity, deceleration time of E, and peak tricuspid regurgitation velocity. Patients who could not be classified in the first step were tested in a second step by applying supplementary parameters, which included left atrial reservoir strain, pulmonary venous systolic/diastolic velocity ratio, and body mass index. This two-step algorithm classified patients as having either normal or elevated LV filling pressure with 75% accuracy and with 85% feasibility. Accuracy in EF ≥ 50% and EF < 50% was similar (75% and 76%).</p><p><strong>Conclusions: </strong>In patients with atrial fibrillation, no single echocardiographic parameter was sufficiently reliable to be used clinically to identify elevated LV filling pressure. An algorithm that combined several echocardiographic parameters and body mass index, however, was able to classify patients as having normal or elevated LV filling pressure with moderate accuracy and high feasibility.</p>\",\"PeriodicalId\":45749,\"journal\":{\"name\":\"Echo Research and Practice\",\"volume\":\"11 1\",\"pages\":\"14\"},\"PeriodicalIF\":2.4000,\"publicationDate\":\"2024-06-03\",\"publicationTypes\":\"Journal Article\",\"fieldsOfStudy\":null,\"isOpenAccess\":false,\"openAccessPdf\":\"https://www.ncbi.nlm.nih.gov/pmc/articles/PMC11145766/pdf/\",\"citationCount\":\"0\",\"resultStr\":null,\"platform\":\"Semanticscholar\",\"paperid\":null,\"PeriodicalName\":\"Echo Research and Practice\",\"FirstCategoryId\":\"1085\",\"ListUrlMain\":\"https://doi.org/10.1186/s44156-024-00048-x\",\"RegionNum\":0,\"RegionCategory\":null,\"ArticlePicture\":[],\"TitleCN\":null,\"AbstractTextCN\":null,\"PMCID\":null,\"EPubDate\":\"\",\"PubModel\":\"\",\"JCR\":\"Q2\",\"JCRName\":\"CARDIAC & CARDIOVASCULAR SYSTEMS\",\"Score\":null,\"Total\":0}","platform":"Semanticscholar","paperid":null,"PeriodicalName":"Echo Research and Practice","FirstCategoryId":"1085","ListUrlMain":"https://doi.org/10.1186/s44156-024-00048-x","RegionNum":0,"RegionCategory":null,"ArticlePicture":[],"TitleCN":null,"AbstractTextCN":null,"PMCID":null,"EPubDate":"","PubModel":"","JCR":"Q2","JCRName":"CARDIAC & CARDIOVASCULAR SYSTEMS","Score":null,"Total":0}
引用次数: 0

摘要

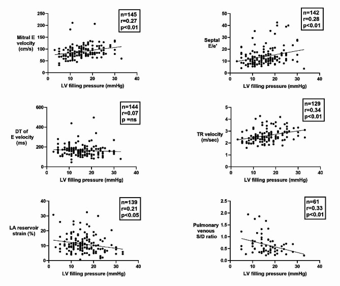
背景:超声心动图被广泛用于评估疑似心衰患者的左心室舒张功能。对于窦性心律的患者,结合几种超声心动图参数可准确区分左心室充盈压的正常和升高。然而,目前还没有一种成熟的超声心动图方法可用于评估心房颤动患者的左心室充盈压。本研究的目的是确定是否可以将几种超声心动图和临床参数相结合来评估心房颤动患者的左心室充盈压:结果:在一项对 148 名心房颤动患者进行的多中心研究中,采用有创测得的左心室充盈压作为参考方法,对多个超声心动图参数进行了测试。没有一个参数与左心室充盈压有足够强的关联性,因此不能推荐用于临床。根据本研究中的单变量回归分析和现有文献中的证据,我们开发了一种两步法来区分左心室充盈压的正常和升高,将值≥ 15 mmHg 定义为升高。第一步的参数包括二尖瓣早期血流速度与室间隔二尖瓣瓣环速度之比(室间隔 E/e')、二尖瓣 E 峰速度、E 峰减速时间和三尖瓣反流峰值速度。第一步无法分类的患者将在第二步中通过应用补充参数进行测试,补充参数包括左心房贮器应变、肺静脉收缩/舒张速度比和体重指数。这种两步算法将患者分为左心室充盈压正常或升高,准确率为 75%,可行性为 85%。EF≥50%和EF结论的准确性:在心房颤动患者中,没有一种超声心动图参数足够可靠,可用于临床识别左心室充盈压升高。然而,一种结合了多种超声心动图参数和体重指数的算法能够将患者分为左心室充盈压正常和升高两种类型,其准确性和可行性均处于中等水平。
本文章由计算机程序翻译,如有差异,请以英文原文为准。

Evaluation of left ventricular filling pressure by echocardiography in patients with atrial fibrillation.

Evaluation of left ventricular filling pressure by echocardiography in patients with atrial fibrillation.

Evaluation of left ventricular filling pressure by echocardiography in patients with atrial fibrillation.

Evaluation of left ventricular filling pressure by echocardiography in patients with atrial fibrillation.

Background: Echocardiography is widely used to evaluate left ventricular (LV) diastolic function in patients suspected of heart failure. For patients in sinus rhythm, a combination of several echocardiographic parameters can differentiate between normal and elevated LV filling pressure with good accuracy. However, there is no established echocardiographic approach for the evaluation of LV filling pressure in patients with atrial fibrillation. The objective of the present study was to determine if a combination of several echocardiographic and clinical parameters may be used to evaluate LV filling pressure in patients with atrial fibrillation.

Results: In a multicentre study of 148 atrial fibrillation patients, several echocardiographic parameters were tested against invasively measured LV filling pressure as the reference method. No single parameter had sufficiently strong association with LV filling pressure to be recommended for clinical use. Based on univariate regression analysis in the present study, and evidence from existing literature, we developed a two-step algorithm for differentiation between normal and elevated LV filling pressure, defining values ≥ 15 mmHg as elevated. The parameters in the first step included the ratio between mitral early flow velocity and septal mitral annular velocity (septal E/e'), mitral E velocity, deceleration time of E, and peak tricuspid regurgitation velocity. Patients who could not be classified in the first step were tested in a second step by applying supplementary parameters, which included left atrial reservoir strain, pulmonary venous systolic/diastolic velocity ratio, and body mass index. This two-step algorithm classified patients as having either normal or elevated LV filling pressure with 75% accuracy and with 85% feasibility. Accuracy in EF ≥ 50% and EF < 50% was similar (75% and 76%).

Conclusions: In patients with atrial fibrillation, no single echocardiographic parameter was sufficiently reliable to be used clinically to identify elevated LV filling pressure. An algorithm that combined several echocardiographic parameters and body mass index, however, was able to classify patients as having normal or elevated LV filling pressure with moderate accuracy and high feasibility.

求助全文
通过发布文献求助,成功后即可免费获取论文全文。 去求助
来源期刊
Echo Research and Practice
Echo Research and Practice CARDIAC & CARDIOVASCULAR SYSTEMS-
CiteScore
6.70
自引率
12.70%
发文量
11
审稿时长
8 weeks
期刊介绍: Echo Research and Practice aims to be the premier international journal for physicians, sonographers, nurses and other allied health professionals practising echocardiography and other cardiac imaging modalities. This open-access journal publishes quality clinical and basic research, reviews, videos, education materials and selected high-interest case reports and videos across all echocardiography modalities and disciplines, including paediatrics, anaesthetics, general practice, acute medicine and intensive care. Multi-modality studies primarily featuring the use of cardiac ultrasound in clinical practice, in association with Cardiac Computed Tomography, Cardiovascular Magnetic Resonance or Nuclear Cardiology are of interest. Topics include, but are not limited to: 2D echocardiography 3D echocardiography Comparative imaging techniques – CCT, CMR and Nuclear Cardiology Congenital heart disease, including foetal echocardiography Contrast echocardiography Critical care echocardiography Deformation imaging Doppler echocardiography Interventional echocardiography Intracardiac echocardiography Intraoperative echocardiography Prosthetic valves Stress echocardiography Technical innovations Transoesophageal echocardiography Valve disease.
×
引用
GB/T 7714-2015
复制
MLA
复制
APA
复制
导出至
BibTeX EndNote RefMan NoteFirst NoteExpress
×
提示
您的信息不完整,为了账户安全,请先补充。
现在去补充
×
提示
您因"违规操作"
具体请查看互助需知
我知道了
×
提示
确定
请完成安全验证×
copy
已复制链接
快去分享给好友吧!
我知道了
右上角分享
点击右上角分享
0
联系我们:info@booksci.cn Book学术提供免费学术资源搜索服务,方便国内外学者检索中英文文献。致力于提供最便捷和优质的服务体验。 Copyright © 2023 布克学术 All rights reserved.
京ICP备2023020795号-1
ghs 京公网安备 11010802042870号
Book学术文献互助
Book学术文献互助群
群 号:604180095
Book学术官方微信