深海生活:圣劳伦斯河口和海湾秋冬季节北极鲂的生态生理状况。

IF 2 3区 环境科学与生态学 Q2 MARINE & FRESHWATER BIOLOGY
Journal of Plankton Research Pub Date : 2024-05-16 eCollection Date: 2024-05-01 DOI:10.1093/plankt/fbae022
Gesche Winkler, Jory Cabrol, Réjean Tremblay
{"title":"深海生活:圣劳伦斯河口和海湾秋冬季节北极鲂的生态生理状况。","authors":"Gesche Winkler, Jory Cabrol, Réjean Tremblay","doi":"10.1093/plankt/fbae022","DOIUrl":null,"url":null,"abstract":"<p><p>Mysids, besides krill, play a significant role in energy transfer and carbon sequestration. The ecology of coastal species is better understood than that of deep dwelling species such as <i>Boreomysis arctica</i>. The objectives of this study were to quantify spatiotemporal variations in body condition and the trophic level of <i>B. arctica</i> in autumn and winter, under sea-ice conditions in the St. Lawrence system, using a multimarker approach. We sampled along a 1000 km transect. Mean abundances in winter were higher in the estuary compared to the Gulf of St. Lawrence. Body condition, measured as total lipid content, was higher in winter than in autumn. Lipids of <i>B. arctica</i> were mainly composed of wax esters, thereby <i>B. arctica</i> is richer in energetic lipids compared to the three dominant krill species. We also observed seasonal differences in the trophic level of <i>B. arctica,</i> revealing carnivorous behavior in autumn compared to omnivory in winter<i>.</i> High intra-specific variability in both energetic strategy and feeding behavior was found that is potentially due to opportunistic feeding. Energy rich reserves suggest that <i>B. arctica</i> could act as a valuable prey for both benthic and pelagic consumers and thus playing a key role in bentho-pelagic energy transfer.</p>","PeriodicalId":16800,"journal":{"name":"Journal of Plankton Research","volume":"46 3","pages":"348-356"},"PeriodicalIF":2.0000,"publicationDate":"2024-05-16","publicationTypes":"Journal Article","fieldsOfStudy":null,"isOpenAccess":false,"openAccessPdf":"https://www.ncbi.nlm.nih.gov/pmc/articles/PMC11142453/pdf/","citationCount":"0","resultStr":"{\"title\":\"Living at depth: ecophysiological condition of <i>Boreomysis arctica</i> in autumn and winter in the St. Lawrence estuary and gulf.\",\"authors\":\"Gesche Winkler, Jory Cabrol, Réjean Tremblay\",\"doi\":\"10.1093/plankt/fbae022\",\"DOIUrl\":null,\"url\":null,\"abstract\":\"<p><p>Mysids, besides krill, play a significant role in energy transfer and carbon sequestration. The ecology of coastal species is better understood than that of deep dwelling species such as <i>Boreomysis arctica</i>. The objectives of this study were to quantify spatiotemporal variations in body condition and the trophic level of <i>B. arctica</i> in autumn and winter, under sea-ice conditions in the St. Lawrence system, using a multimarker approach. We sampled along a 1000 km transect. Mean abundances in winter were higher in the estuary compared to the Gulf of St. Lawrence. Body condition, measured as total lipid content, was higher in winter than in autumn. Lipids of <i>B. arctica</i> were mainly composed of wax esters, thereby <i>B. arctica</i> is richer in energetic lipids compared to the three dominant krill species. We also observed seasonal differences in the trophic level of <i>B. arctica,</i> revealing carnivorous behavior in autumn compared to omnivory in winter<i>.</i> High intra-specific variability in both energetic strategy and feeding behavior was found that is potentially due to opportunistic feeding. Energy rich reserves suggest that <i>B. arctica</i> could act as a valuable prey for both benthic and pelagic consumers and thus playing a key role in bentho-pelagic energy transfer.</p>\",\"PeriodicalId\":16800,\"journal\":{\"name\":\"Journal of Plankton Research\",\"volume\":\"46 3\",\"pages\":\"348-356\"},\"PeriodicalIF\":2.0000,\"publicationDate\":\"2024-05-16\",\"publicationTypes\":\"Journal Article\",\"fieldsOfStudy\":null,\"isOpenAccess\":false,\"openAccessPdf\":\"https://www.ncbi.nlm.nih.gov/pmc/articles/PMC11142453/pdf/\",\"citationCount\":\"0\",\"resultStr\":null,\"platform\":\"Semanticscholar\",\"paperid\":null,\"PeriodicalName\":\"Journal of Plankton Research\",\"FirstCategoryId\":\"93\",\"ListUrlMain\":\"https://doi.org/10.1093/plankt/fbae022\",\"RegionNum\":3,\"RegionCategory\":\"环境科学与生态学\",\"ArticlePicture\":[],\"TitleCN\":null,\"AbstractTextCN\":null,\"PMCID\":null,\"EPubDate\":\"2024/5/1 0:00:00\",\"PubModel\":\"eCollection\",\"JCR\":\"Q2\",\"JCRName\":\"MARINE & FRESHWATER BIOLOGY\",\"Score\":null,\"Total\":0}","platform":"Semanticscholar","paperid":null,"PeriodicalName":"Journal of Plankton Research","FirstCategoryId":"93","ListUrlMain":"https://doi.org/10.1093/plankt/fbae022","RegionNum":3,"RegionCategory":"环境科学与生态学","ArticlePicture":[],"TitleCN":null,"AbstractTextCN":null,"PMCID":null,"EPubDate":"2024/5/1 0:00:00","PubModel":"eCollection","JCR":"Q2","JCRName":"MARINE & FRESHWATER BIOLOGY","Score":null,"Total":0}
引用次数: 0

摘要

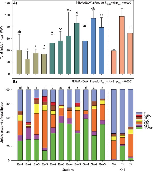
除磷虾外,糠虾在能量传递和碳封存方面也发挥着重要作用。与 Boreomysis arctica 等深居物种相比,人们对沿岸物种的生态学了解得更多。本研究的目的是采用多标记方法,量化圣劳伦斯海系秋冬季海冰条件下北极糠虾身体状况和营养级的时空变化。我们沿 1000 公里的横断面进行了采样。与圣劳伦斯湾相比,河口冬季的平均丰度更高。以总脂质含量衡量的身体状况在冬季高于秋季。北极糠虾的脂质主要由蜡酯组成,因此与三种主要磷虾相比,北极糠虾的能量脂质更为丰富。我们还观察到北极糠虾营养级的季节性差异,发现其秋季为肉食性,而冬季为杂食性。在能量策略和摄食行为方面,我们都发现了很高的种内差异,这可能是由于机会性摄食造成的。丰富的能量储备表明,北极鲣可能是底栖和中上层消费者的重要猎物,因此在底栖-中上层能量转移中发挥着关键作用。
本文章由计算机程序翻译,如有差异,请以英文原文为准。

Living at depth: ecophysiological condition of <i>Boreomysis arctica</i> in autumn and winter in the St. Lawrence estuary and gulf.

Living at depth: ecophysiological condition of <i>Boreomysis arctica</i> in autumn and winter in the St. Lawrence estuary and gulf.

Living at depth: ecophysiological condition of <i>Boreomysis arctica</i> in autumn and winter in the St. Lawrence estuary and gulf.

Living at depth: ecophysiological condition of Boreomysis arctica in autumn and winter in the St. Lawrence estuary and gulf.

Mysids, besides krill, play a significant role in energy transfer and carbon sequestration. The ecology of coastal species is better understood than that of deep dwelling species such as Boreomysis arctica. The objectives of this study were to quantify spatiotemporal variations in body condition and the trophic level of B. arctica in autumn and winter, under sea-ice conditions in the St. Lawrence system, using a multimarker approach. We sampled along a 1000 km transect. Mean abundances in winter were higher in the estuary compared to the Gulf of St. Lawrence. Body condition, measured as total lipid content, was higher in winter than in autumn. Lipids of B. arctica were mainly composed of wax esters, thereby B. arctica is richer in energetic lipids compared to the three dominant krill species. We also observed seasonal differences in the trophic level of B. arctica, revealing carnivorous behavior in autumn compared to omnivory in winter. High intra-specific variability in both energetic strategy and feeding behavior was found that is potentially due to opportunistic feeding. Energy rich reserves suggest that B. arctica could act as a valuable prey for both benthic and pelagic consumers and thus playing a key role in bentho-pelagic energy transfer.

求助全文
通过发布文献求助,成功后即可免费获取论文全文。 去求助
来源期刊
Journal of Plankton Research
Journal of Plankton Research 生物-海洋学
CiteScore
3.50
自引率
9.50%
发文量
65
审稿时长
1 months
期刊介绍: Journal of Plankton Research publishes innovative papers that significantly advance the field of plankton research, and in particular, our understanding of plankton dynamics.
×
引用
GB/T 7714-2015
复制
MLA
复制
APA
复制
导出至
BibTeX EndNote RefMan NoteFirst NoteExpress
×
提示
您的信息不完整,为了账户安全,请先补充。
现在去补充
×
提示
您因"违规操作"
具体请查看互助需知
我知道了
×
提示
确定
请完成安全验证×
copy
已复制链接
快去分享给好友吧!
我知道了
右上角分享
点击右上角分享
0
联系我们:info@booksci.cn Book学术提供免费学术资源搜索服务,方便国内外学者检索中英文文献。致力于提供最便捷和优质的服务体验。 Copyright © 2023 布克学术 All rights reserved.
京ICP备2023020795号-1
ghs 京公网安备 11010802042870号
Book学术文献互助
Book学术文献互助群
群 号:604180095
Book学术官方微信