焚化后污水污泥及其灰烬中磷的种类与处理工艺的关系。

IF 4.3 4区 环境科学与生态学 Q3 ENGINEERING, ENVIRONMENTAL
Waste Management & Research Pub Date : 2025-03-01 Epub Date: 2024-05-31 DOI:10.1177/0734242X241252913
Charlotte Nilsson, Stefan Karlsson, Bert Allard, Thomas von Kronhelm
{"title":"焚化后污水污泥及其灰烬中磷的种类与处理工艺的关系。","authors":"Charlotte Nilsson, Stefan Karlsson, Bert Allard, Thomas von Kronhelm","doi":"10.1177/0734242X241252913","DOIUrl":null,"url":null,"abstract":"<p><p>Phosphorus (P) is a key component in agricultural fertilizers, but it is also a scarce resource, why its recycling has been thoroughly investigated and one promising resources is sewage sludge. Because of stricter regulations in terms of sludge disposal, thermal treatment (e.g. incineration) has become an attractive option. The incineration process alters the chemical speciation of P in favour to calcium-associated (apatite, apatite phosphorus (AP)) species, which is preferred for P recovery. In order to achieve qualitatively transformation, it is important to identify limiting or promoting factors. This study reports on the impact of iron, aluminium and calcium on the transformation of iron- and aluminium-phosphate (NAIP) to AP species, assessed by studying sludge and ash from 10 municipal wastewater treatment plants in Sweden. The effect of iron and aluminium added in the treatment processes was also evaluated. The obtained results show that high calcium concentration favours formation of AP species in both sludge and ashes, whereas high concentration of iron and aluminium favours formation of NAIP species in the sludge. The transformation from NAIP to AP species is hampered by aluminium, irrespectively of its origin, whereas no such correlations could be seen for iron. Therefore, in order to enable efficient P recovery from sewage sludge ash, the amount of aluminium added in the treatment process, as well as its concentration in influent streams to the treatment plants, must be limited.</p>","PeriodicalId":23671,"journal":{"name":"Waste Management & Research","volume":" ","pages":"378-385"},"PeriodicalIF":4.3000,"publicationDate":"2025-03-01","publicationTypes":"Journal Article","fieldsOfStudy":null,"isOpenAccess":false,"openAccessPdf":"https://www.ncbi.nlm.nih.gov/pmc/articles/PMC11874579/pdf/","citationCount":"0","resultStr":"{\"title\":\"Phosphorus speciation in sewage sludge and their ashes after incineration as a function of treatment processes.\",\"authors\":\"Charlotte Nilsson, Stefan Karlsson, Bert Allard, Thomas von Kronhelm\",\"doi\":\"10.1177/0734242X241252913\",\"DOIUrl\":null,\"url\":null,\"abstract\":\"<p><p>Phosphorus (P) is a key component in agricultural fertilizers, but it is also a scarce resource, why its recycling has been thoroughly investigated and one promising resources is sewage sludge. Because of stricter regulations in terms of sludge disposal, thermal treatment (e.g. incineration) has become an attractive option. The incineration process alters the chemical speciation of P in favour to calcium-associated (apatite, apatite phosphorus (AP)) species, which is preferred for P recovery. In order to achieve qualitatively transformation, it is important to identify limiting or promoting factors. This study reports on the impact of iron, aluminium and calcium on the transformation of iron- and aluminium-phosphate (NAIP) to AP species, assessed by studying sludge and ash from 10 municipal wastewater treatment plants in Sweden. The effect of iron and aluminium added in the treatment processes was also evaluated. The obtained results show that high calcium concentration favours formation of AP species in both sludge and ashes, whereas high concentration of iron and aluminium favours formation of NAIP species in the sludge. The transformation from NAIP to AP species is hampered by aluminium, irrespectively of its origin, whereas no such correlations could be seen for iron. Therefore, in order to enable efficient P recovery from sewage sludge ash, the amount of aluminium added in the treatment process, as well as its concentration in influent streams to the treatment plants, must be limited.</p>\",\"PeriodicalId\":23671,\"journal\":{\"name\":\"Waste Management & Research\",\"volume\":\" \",\"pages\":\"378-385\"},\"PeriodicalIF\":4.3000,\"publicationDate\":\"2025-03-01\",\"publicationTypes\":\"Journal Article\",\"fieldsOfStudy\":null,\"isOpenAccess\":false,\"openAccessPdf\":\"https://www.ncbi.nlm.nih.gov/pmc/articles/PMC11874579/pdf/\",\"citationCount\":\"0\",\"resultStr\":null,\"platform\":\"Semanticscholar\",\"paperid\":null,\"PeriodicalName\":\"Waste Management & Research\",\"FirstCategoryId\":\"93\",\"ListUrlMain\":\"https://doi.org/10.1177/0734242X241252913\",\"RegionNum\":4,\"RegionCategory\":\"环境科学与生态学\",\"ArticlePicture\":[],\"TitleCN\":null,\"AbstractTextCN\":null,\"PMCID\":null,\"EPubDate\":\"2024/5/31 0:00:00\",\"PubModel\":\"Epub\",\"JCR\":\"Q3\",\"JCRName\":\"ENGINEERING, ENVIRONMENTAL\",\"Score\":null,\"Total\":0}","platform":"Semanticscholar","paperid":null,"PeriodicalName":"Waste Management & Research","FirstCategoryId":"93","ListUrlMain":"https://doi.org/10.1177/0734242X241252913","RegionNum":4,"RegionCategory":"环境科学与生态学","ArticlePicture":[],"TitleCN":null,"AbstractTextCN":null,"PMCID":null,"EPubDate":"2024/5/31 0:00:00","PubModel":"Epub","JCR":"Q3","JCRName":"ENGINEERING, ENVIRONMENTAL","Score":null,"Total":0}
引用次数: 0

摘要

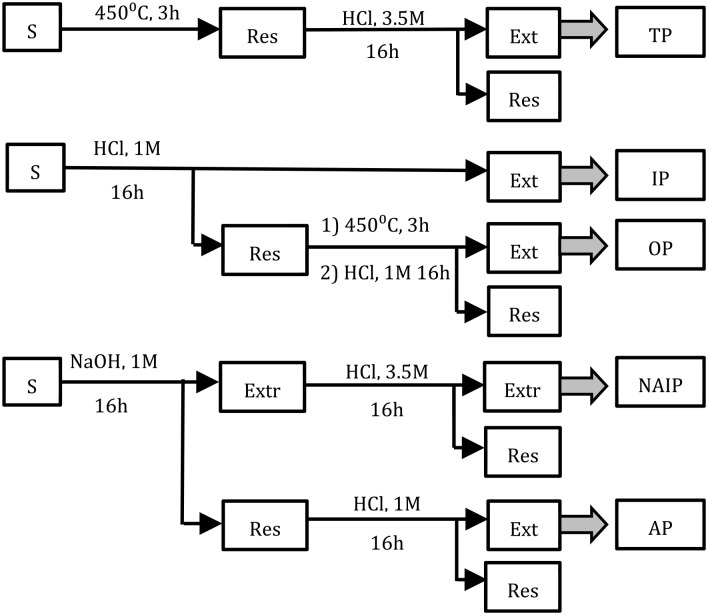
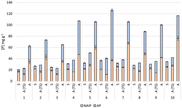
磷(P)是农用肥料的主要成分,但同时也是一种稀缺资源,因此人们对磷的回收利用进行了深入研究,其中一种很有前景的资源就是污水污泥。由于污泥处置方面的法规越来越严格,热处理(如焚烧)已成为一种有吸引力的选择。焚烧过程会改变磷的化学成分,使其更倾向于与钙相关的物质(磷灰石、磷灰石磷(AP)),而这正是回收磷的首选。为了实现质的转变,必须确定限制或促进因素。本研究通过对瑞典 10 家城市污水处理厂的污泥和灰烬进行研究,评估了铁、铝和钙对铁铝磷酸盐(NAIP)向磷酸盐转化的影响。此外,还对处理过程中添加的铁和铝的影响进行了评估。结果表明,高浓度的钙有利于污泥和灰烬中 AP 物种的形成,而高浓度的铁和铝则有利于污泥中 NAIP 物种的形成。铝(无论其来源如何)会阻碍 NAIP 向 AP 物种的转化,而铁则没有这种相关性。因此,为了从污水污泥灰中有效地回收磷,必须限制处理过程中添加的铝量以及铝在污水处理厂进水流中的浓度。
本文章由计算机程序翻译,如有差异,请以英文原文为准。

Phosphorus speciation in sewage sludge and their ashes after incineration as a function of treatment processes.

Phosphorus speciation in sewage sludge and their ashes after incineration as a function of treatment processes.

Phosphorus speciation in sewage sludge and their ashes after incineration as a function of treatment processes.

Phosphorus speciation in sewage sludge and their ashes after incineration as a function of treatment processes.

Phosphorus (P) is a key component in agricultural fertilizers, but it is also a scarce resource, why its recycling has been thoroughly investigated and one promising resources is sewage sludge. Because of stricter regulations in terms of sludge disposal, thermal treatment (e.g. incineration) has become an attractive option. The incineration process alters the chemical speciation of P in favour to calcium-associated (apatite, apatite phosphorus (AP)) species, which is preferred for P recovery. In order to achieve qualitatively transformation, it is important to identify limiting or promoting factors. This study reports on the impact of iron, aluminium and calcium on the transformation of iron- and aluminium-phosphate (NAIP) to AP species, assessed by studying sludge and ash from 10 municipal wastewater treatment plants in Sweden. The effect of iron and aluminium added in the treatment processes was also evaluated. The obtained results show that high calcium concentration favours formation of AP species in both sludge and ashes, whereas high concentration of iron and aluminium favours formation of NAIP species in the sludge. The transformation from NAIP to AP species is hampered by aluminium, irrespectively of its origin, whereas no such correlations could be seen for iron. Therefore, in order to enable efficient P recovery from sewage sludge ash, the amount of aluminium added in the treatment process, as well as its concentration in influent streams to the treatment plants, must be limited.

求助全文
通过发布文献求助,成功后即可免费获取论文全文。 去求助
来源期刊
Waste Management & Research
Waste Management & Research 环境科学-工程:环境
CiteScore
8.50
自引率
7.70%
发文量
232
审稿时长
4.1 months
期刊介绍: Waste Management & Research (WM&R) publishes peer-reviewed articles relating to both the theory and practice of waste management and research. Published on behalf of the International Solid Waste Association (ISWA) topics include: wastes (focus on solids), processes and technologies, management systems and tools, and policy and regulatory frameworks, sustainable waste management designs, operations, policies or practices.
×
引用
GB/T 7714-2015
复制
MLA
复制
APA
复制
导出至
BibTeX EndNote RefMan NoteFirst NoteExpress
×
提示
您的信息不完整,为了账户安全,请先补充。
现在去补充
×
提示
您因"违规操作"
具体请查看互助需知
我知道了
×
提示
确定
请完成安全验证×
copy
已复制链接
快去分享给好友吧!
我知道了
右上角分享
点击右上角分享
0
联系我们:info@booksci.cn Book学术提供免费学术资源搜索服务,方便国内外学者检索中英文文献。致力于提供最便捷和优质的服务体验。 Copyright © 2023 布克学术 All rights reserved.
京ICP备2023020795号-1
ghs 京公网安备 11010802042870号
Book学术文献互助
Book学术文献互助群
群 号:604180095
Book学术官方微信