血脂调节药物靶点与糖尿病视网膜病变之间的遗传关联:药物靶点孟德尔随机化研究》。

IF 5.9 Q1 BIOCHEMISTRY & MOLECULAR BIOLOGY
Journal of Lipids Pub Date : 2024-05-09 eCollection Date: 2024-01-01 DOI:10.1155/2024/5324127
Shengnan Chen, Ming Zhang, Peng Yang, Jianbin Guo, Lin Liu, Zhi Yang, Kai Nan
{"title":"血脂调节药物靶点与糖尿病视网膜病变之间的遗传关联:药物靶点孟德尔随机化研究》。","authors":"Shengnan Chen, Ming Zhang, Peng Yang, Jianbin Guo, Lin Liu, Zhi Yang, Kai Nan","doi":"10.1155/2024/5324127","DOIUrl":null,"url":null,"abstract":"<p><strong>Background: </strong>Diabetic retinopathy (DR) is a diabetic microvascular complication and a leading cause of vision loss. However, there is a lack of effective strategies to reduce the risk of DR currently. The present study is aimed at assessing the causal effect of lipid-regulating targets on DR risk using a two-sample Mendelian randomization (MR) study.</p><p><strong>Method: </strong>Genetic variants within or near drug target genes, including eight lipid-regulating targets for LDL-C (HMGCR, PCSK9, and NPC1L1), HDL-C (CETP, SCARB1, and PPARG), and TG (PPARA and LPL), were selected as exposures. The exposure data were obtained from the IEU OpenGWAS project. The outcome dataset related to DR was obtained from the FinnGen research project. Inverse-variance-weighted MR (IVW-MR) was used to calculate the effect estimates by each target. Sensitivity analyses were performed to verify the robustness of the results.</p><p><strong>Results: </strong>There was suggestive evidence that PCSK9-mediated LDL-C levels were positively associated with DR, with OR (95% CI) of 1.34 (1.02-1.77). No significant association was found between the expression of HMGCR- and NPC1L1-mediated LDL-C levels; CETP-, SCARB1-, and PPARG-mediated HDL-C levels; PPARA- and LPL-mediated TG levels; and DR risk.</p><p><strong>Conclusions: </strong>This is the first study to reveal a genetically causal relationship between lipid-regulating drug targets and DR risk. PCSK9-mediated LDL-C levels maybe positively associated with DR risk at the genetic level. This study provides suggestive evidence that PCSK9 inhibition may reduce the risk of DR.</p>","PeriodicalId":16274,"journal":{"name":"Journal of Lipids","volume":"2024 ","pages":"5324127"},"PeriodicalIF":5.9000,"publicationDate":"2024-05-09","publicationTypes":"Journal Article","fieldsOfStudy":null,"isOpenAccess":false,"openAccessPdf":"https://www.ncbi.nlm.nih.gov/pmc/articles/PMC11098603/pdf/","citationCount":"0","resultStr":"{\"title\":\"Genetic Association between Lipid-Regulating Drug Targets and Diabetic Retinopathy: A Drug Target Mendelian Randomization Study.\",\"authors\":\"Shengnan Chen, Ming Zhang, Peng Yang, Jianbin Guo, Lin Liu, Zhi Yang, Kai Nan\",\"doi\":\"10.1155/2024/5324127\",\"DOIUrl\":null,\"url\":null,\"abstract\":\"<p><strong>Background: </strong>Diabetic retinopathy (DR) is a diabetic microvascular complication and a leading cause of vision loss. However, there is a lack of effective strategies to reduce the risk of DR currently. The present study is aimed at assessing the causal effect of lipid-regulating targets on DR risk using a two-sample Mendelian randomization (MR) study.</p><p><strong>Method: </strong>Genetic variants within or near drug target genes, including eight lipid-regulating targets for LDL-C (HMGCR, PCSK9, and NPC1L1), HDL-C (CETP, SCARB1, and PPARG), and TG (PPARA and LPL), were selected as exposures. The exposure data were obtained from the IEU OpenGWAS project. The outcome dataset related to DR was obtained from the FinnGen research project. Inverse-variance-weighted MR (IVW-MR) was used to calculate the effect estimates by each target. Sensitivity analyses were performed to verify the robustness of the results.</p><p><strong>Results: </strong>There was suggestive evidence that PCSK9-mediated LDL-C levels were positively associated with DR, with OR (95% CI) of 1.34 (1.02-1.77). No significant association was found between the expression of HMGCR- and NPC1L1-mediated LDL-C levels; CETP-, SCARB1-, and PPARG-mediated HDL-C levels; PPARA- and LPL-mediated TG levels; and DR risk.</p><p><strong>Conclusions: </strong>This is the first study to reveal a genetically causal relationship between lipid-regulating drug targets and DR risk. PCSK9-mediated LDL-C levels maybe positively associated with DR risk at the genetic level. This study provides suggestive evidence that PCSK9 inhibition may reduce the risk of DR.</p>\",\"PeriodicalId\":16274,\"journal\":{\"name\":\"Journal of Lipids\",\"volume\":\"2024 \",\"pages\":\"5324127\"},\"PeriodicalIF\":5.9000,\"publicationDate\":\"2024-05-09\",\"publicationTypes\":\"Journal Article\",\"fieldsOfStudy\":null,\"isOpenAccess\":false,\"openAccessPdf\":\"https://www.ncbi.nlm.nih.gov/pmc/articles/PMC11098603/pdf/\",\"citationCount\":\"0\",\"resultStr\":null,\"platform\":\"Semanticscholar\",\"paperid\":null,\"PeriodicalName\":\"Journal of Lipids\",\"FirstCategoryId\":\"1085\",\"ListUrlMain\":\"https://doi.org/10.1155/2024/5324127\",\"RegionNum\":0,\"RegionCategory\":null,\"ArticlePicture\":[],\"TitleCN\":null,\"AbstractTextCN\":null,\"PMCID\":null,\"EPubDate\":\"2024/1/1 0:00:00\",\"PubModel\":\"eCollection\",\"JCR\":\"Q1\",\"JCRName\":\"BIOCHEMISTRY & MOLECULAR BIOLOGY\",\"Score\":null,\"Total\":0}","platform":"Semanticscholar","paperid":null,"PeriodicalName":"Journal of Lipids","FirstCategoryId":"1085","ListUrlMain":"https://doi.org/10.1155/2024/5324127","RegionNum":0,"RegionCategory":null,"ArticlePicture":[],"TitleCN":null,"AbstractTextCN":null,"PMCID":null,"EPubDate":"2024/1/1 0:00:00","PubModel":"eCollection","JCR":"Q1","JCRName":"BIOCHEMISTRY & MOLECULAR BIOLOGY","Score":null,"Total":0}
引用次数: 0

摘要

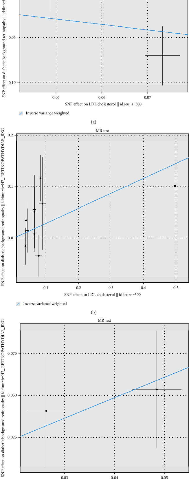
背景:糖尿病视网膜病变(DR)是一种糖尿病微血管并发症,也是导致视力丧失的主要原因。然而,目前尚缺乏降低糖尿病视网膜病变风险的有效策略。本研究旨在利用双样本孟德尔随机化(MR)研究评估血脂调节靶点对 DR 风险的因果效应:方法:选择药物靶基因内或附近的遗传变异作为暴露。这些基因包括 LDL-C(HMGCR、PCSK9 和 NPC1L1)、HDL-C(CETP、SCARB1 和 PPARG)和 TG(PPARA 和 LPL)的八个血脂调节靶基因。暴露数据来自 IEU OpenGWAS 项目。与DR相关的结果数据集来自FinnGen研究项目。反方差加权磁共振(IVW-MR)用于计算每个目标的效应估计值。为验证结果的稳健性,还进行了敏感性分析:有提示性证据表明,PCSK9 介导的 LDL-C 水平与 DR 呈正相关,OR(95% CI)为 1.34(1.02-1.77)。HMGCR和NPC1L1介导的LDL-C水平、CETP、SCARB1和PPARG介导的HDL-C水平、PPARA和LPL介导的TG水平的表达与DR风险之间没有发现明显的关联:这是第一项揭示血脂调节药物靶点与 DR 风险之间遗传因果关系的研究。PCSK9介导的低密度脂蛋白胆固醇(LDL-C)水平可能在基因水平上与DR风险呈正相关。本研究提供了抑制 PCSK9 可降低 DR 风险的提示性证据。
本文章由计算机程序翻译,如有差异,请以英文原文为准。

Genetic Association between Lipid-Regulating Drug Targets and Diabetic Retinopathy: A Drug Target Mendelian Randomization Study.

Genetic Association between Lipid-Regulating Drug Targets and Diabetic Retinopathy: A Drug Target Mendelian Randomization Study.

Genetic Association between Lipid-Regulating Drug Targets and Diabetic Retinopathy: A Drug Target Mendelian Randomization Study.

Genetic Association between Lipid-Regulating Drug Targets and Diabetic Retinopathy: A Drug Target Mendelian Randomization Study.

Background: Diabetic retinopathy (DR) is a diabetic microvascular complication and a leading cause of vision loss. However, there is a lack of effective strategies to reduce the risk of DR currently. The present study is aimed at assessing the causal effect of lipid-regulating targets on DR risk using a two-sample Mendelian randomization (MR) study.

Method: Genetic variants within or near drug target genes, including eight lipid-regulating targets for LDL-C (HMGCR, PCSK9, and NPC1L1), HDL-C (CETP, SCARB1, and PPARG), and TG (PPARA and LPL), were selected as exposures. The exposure data were obtained from the IEU OpenGWAS project. The outcome dataset related to DR was obtained from the FinnGen research project. Inverse-variance-weighted MR (IVW-MR) was used to calculate the effect estimates by each target. Sensitivity analyses were performed to verify the robustness of the results.

Results: There was suggestive evidence that PCSK9-mediated LDL-C levels were positively associated with DR, with OR (95% CI) of 1.34 (1.02-1.77). No significant association was found between the expression of HMGCR- and NPC1L1-mediated LDL-C levels; CETP-, SCARB1-, and PPARG-mediated HDL-C levels; PPARA- and LPL-mediated TG levels; and DR risk.

Conclusions: This is the first study to reveal a genetically causal relationship between lipid-regulating drug targets and DR risk. PCSK9-mediated LDL-C levels maybe positively associated with DR risk at the genetic level. This study provides suggestive evidence that PCSK9 inhibition may reduce the risk of DR.

求助全文
通过发布文献求助,成功后即可免费获取论文全文。 去求助
来源期刊
Journal of Lipids
Journal of Lipids BIOCHEMISTRY & MOLECULAR BIOLOGY-
自引率
0.00%
发文量
7
审稿时长
12 weeks
期刊介绍: Journal of Lipids is a peer-reviewed, Open Access journal that publishes original research articles and review articles related to all aspects of lipids, including their biochemistry, synthesis, function in health and disease, and nutrition. As an interdisciplinary journal, Journal of Lipids aims to provide a forum for scientists, physicians, nutritionists, and other relevant health professionals.
×
引用
GB/T 7714-2015
复制
MLA
复制
APA
复制
导出至
BibTeX EndNote RefMan NoteFirst NoteExpress
×
提示
您的信息不完整,为了账户安全,请先补充。
现在去补充
×
提示
您因"违规操作"
具体请查看互助需知
我知道了
×
提示
确定
请完成安全验证×
copy
已复制链接
快去分享给好友吧!
我知道了
右上角分享
点击右上角分享
0
联系我们:info@booksci.cn Book学术提供免费学术资源搜索服务,方便国内外学者检索中英文文献。致力于提供最便捷和优质的服务体验。 Copyright © 2023 布克学术 All rights reserved.
京ICP备2023020795号-1
ghs 京公网安备 11010802042870号
Book学术文献互助
Book学术文献互助群
群 号:604180095
Book学术官方微信