空腹血糖介导的全身炎症反应指数和中性粒细胞与高密度脂蛋白比率与急性缺血性脑卒中患者 90 天预后的关系。

IF 4 3区 医学 Q2 CLINICAL NEUROLOGY
Neuroepidemiology Pub Date : 2025-01-01 Epub Date: 2024-05-15 DOI:10.1159/000539132
Aimei Zhang, Yuan Zhu, Junqi Liao, Dan Wu, Xiaohui Yan, Jingyi Chen, Qiuhua He, Fantao Song, Li Li, Yunze Li, Zhaoyao Chen, Wenlei Li, Qin Yang, Zhuyuan Fang, Minghua Wu
{"title":"空腹血糖介导的全身炎症反应指数和中性粒细胞与高密度脂蛋白比率与急性缺血性脑卒中患者 90 天预后的关系。","authors":"Aimei Zhang, Yuan Zhu, Junqi Liao, Dan Wu, Xiaohui Yan, Jingyi Chen, Qiuhua He, Fantao Song, Li Li, Yunze Li, Zhaoyao Chen, Wenlei Li, Qin Yang, Zhuyuan Fang, Minghua Wu","doi":"10.1159/000539132","DOIUrl":null,"url":null,"abstract":"<p><strong>Introduction: </strong>The contribution of individual and combined inflammatory markers for the prognosis of acute ischemic stroke (AIS) remains elusive. This study investigated the effect of systemic inflammatory response index (SIRI), and neutrophil to high-density lipoprotein ratio (NHR), which is mediated by fasting blood glucose (FBG), on 90-day prognosis of patients with AIS.</p><p><strong>Methods: </strong>In this pre-specified substudy of an observational cohort study, 2,828 patients with AIS were enrolled from the Nanjing Stroke Registry between January 2017 and July 2021. Peripheral venous blood was collected from patients fasting for at least 8 h within 24 h of admission to gather information on the following parameters: neutrophil count, lymphocyte count, monocyte count, HDL level, and fasting blood glucose level. Then, the SIRI and NHR values were calculated. Following this, the correlation among SIRI, NHR, and modified Rankin Scale (mRS) scores 90 days after onset was examined via univariate and multivariate logistic analyses. Lastly, mediation analysis was performed to examine the relationship between systematic inflammatory response and study outcomes mediated by FBG.</p><p><strong>Results: </strong>SIRI and NHR were both negatively correlated with clinical outcomes (p < 0.05). Logistic regression analysis revealed that SIRI and NHR were independently associated with poor outcomes after adjusting for potential confounders. Subgroup analyses further validated these correlations. Meanwhile, mediation analysis corroborated that FBG partially mediated the associations between SIRI and a poor prognosis at 90 days (indirect effect estimate = 0.0038, bootstrap 95% CI 0.001-0.008; direct effect estimate = 0.1719, bootstrap 95% CI 0.1258-0.2179). Besides, FBG also played a mediating role between NHR and poor outcomes (indirect effect estimate = 0.0066, bootstrap 95% CI 0.002-0.120; direct effect estimate = 0.1308, bootstrap 95% CI 0.0934-0.1681).</p><p><strong>Conclusion: </strong>Our study demonstrated that SIRI and NHR are positively associated with poor clinical and mortality outcomes at 90 days in AIS patients, which was partially mediated by FBG.</p><p><strong>Introduction: </strong>The contribution of individual and combined inflammatory markers for the prognosis of acute ischemic stroke (AIS) remains elusive. This study investigated the effect of systemic inflammatory response index (SIRI), and neutrophil to high-density lipoprotein ratio (NHR), which is mediated by fasting blood glucose (FBG), on 90-day prognosis of patients with AIS.</p><p><strong>Methods: </strong>In this pre-specified substudy of an observational cohort study, 2,828 patients with AIS were enrolled from the Nanjing Stroke Registry between January 2017 and July 2021. Peripheral venous blood was collected from patients fasting for at least 8 h within 24 h of admission to gather information on the following parameters: neutrophil count, lymphocyte count, monocyte count, HDL level, and fasting blood glucose level. Then, the SIRI and NHR values were calculated. Following this, the correlation among SIRI, NHR, and modified Rankin Scale (mRS) scores 90 days after onset was examined via univariate and multivariate logistic analyses. Lastly, mediation analysis was performed to examine the relationship between systematic inflammatory response and study outcomes mediated by FBG.</p><p><strong>Results: </strong>SIRI and NHR were both negatively correlated with clinical outcomes (p < 0.05). Logistic regression analysis revealed that SIRI and NHR were independently associated with poor outcomes after adjusting for potential confounders. Subgroup analyses further validated these correlations. Meanwhile, mediation analysis corroborated that FBG partially mediated the associations between SIRI and a poor prognosis at 90 days (indirect effect estimate = 0.0038, bootstrap 95% CI 0.001-0.008; direct effect estimate = 0.1719, bootstrap 95% CI 0.1258-0.2179). Besides, FBG also played a mediating role between NHR and poor outcomes (indirect effect estimate = 0.0066, bootstrap 95% CI 0.002-0.120; direct effect estimate = 0.1308, bootstrap 95% CI 0.0934-0.1681).</p><p><strong>Conclusion: </strong>Our study demonstrated that SIRI and NHR are positively associated with poor clinical and mortality outcomes at 90 days in AIS patients, which was partially mediated by FBG.</p>","PeriodicalId":54730,"journal":{"name":"Neuroepidemiology","volume":" ","pages":"31-42"},"PeriodicalIF":4.0000,"publicationDate":"2025-01-01","publicationTypes":"Journal Article","fieldsOfStudy":null,"isOpenAccess":false,"openAccessPdf":"https://www.ncbi.nlm.nih.gov/pmc/articles/PMC11797957/pdf/","citationCount":"0","resultStr":"{\"title\":\"The Association of Systemic Inflammatory Response Index and Neutrophil-to-High-Density Lipoprotein Ratio Mediated by Fasting Blood Glucose with 90-Day Prognosis in Acute Ischemic Stroke Patients.\",\"authors\":\"Aimei Zhang, Yuan Zhu, Junqi Liao, Dan Wu, Xiaohui Yan, Jingyi Chen, Qiuhua He, Fantao Song, Li Li, Yunze Li, Zhaoyao Chen, Wenlei Li, Qin Yang, Zhuyuan Fang, Minghua Wu\",\"doi\":\"10.1159/000539132\",\"DOIUrl\":null,\"url\":null,\"abstract\":\"<p><strong>Introduction: </strong>The contribution of individual and combined inflammatory markers for the prognosis of acute ischemic stroke (AIS) remains elusive. This study investigated the effect of systemic inflammatory response index (SIRI), and neutrophil to high-density lipoprotein ratio (NHR), which is mediated by fasting blood glucose (FBG), on 90-day prognosis of patients with AIS.</p><p><strong>Methods: </strong>In this pre-specified substudy of an observational cohort study, 2,828 patients with AIS were enrolled from the Nanjing Stroke Registry between January 2017 and July 2021. Peripheral venous blood was collected from patients fasting for at least 8 h within 24 h of admission to gather information on the following parameters: neutrophil count, lymphocyte count, monocyte count, HDL level, and fasting blood glucose level. Then, the SIRI and NHR values were calculated. Following this, the correlation among SIRI, NHR, and modified Rankin Scale (mRS) scores 90 days after onset was examined via univariate and multivariate logistic analyses. Lastly, mediation analysis was performed to examine the relationship between systematic inflammatory response and study outcomes mediated by FBG.</p><p><strong>Results: </strong>SIRI and NHR were both negatively correlated with clinical outcomes (p < 0.05). Logistic regression analysis revealed that SIRI and NHR were independently associated with poor outcomes after adjusting for potential confounders. Subgroup analyses further validated these correlations. Meanwhile, mediation analysis corroborated that FBG partially mediated the associations between SIRI and a poor prognosis at 90 days (indirect effect estimate = 0.0038, bootstrap 95% CI 0.001-0.008; direct effect estimate = 0.1719, bootstrap 95% CI 0.1258-0.2179). Besides, FBG also played a mediating role between NHR and poor outcomes (indirect effect estimate = 0.0066, bootstrap 95% CI 0.002-0.120; direct effect estimate = 0.1308, bootstrap 95% CI 0.0934-0.1681).</p><p><strong>Conclusion: </strong>Our study demonstrated that SIRI and NHR are positively associated with poor clinical and mortality outcomes at 90 days in AIS patients, which was partially mediated by FBG.</p><p><strong>Introduction: </strong>The contribution of individual and combined inflammatory markers for the prognosis of acute ischemic stroke (AIS) remains elusive. This study investigated the effect of systemic inflammatory response index (SIRI), and neutrophil to high-density lipoprotein ratio (NHR), which is mediated by fasting blood glucose (FBG), on 90-day prognosis of patients with AIS.</p><p><strong>Methods: </strong>In this pre-specified substudy of an observational cohort study, 2,828 patients with AIS were enrolled from the Nanjing Stroke Registry between January 2017 and July 2021. Peripheral venous blood was collected from patients fasting for at least 8 h within 24 h of admission to gather information on the following parameters: neutrophil count, lymphocyte count, monocyte count, HDL level, and fasting blood glucose level. Then, the SIRI and NHR values were calculated. Following this, the correlation among SIRI, NHR, and modified Rankin Scale (mRS) scores 90 days after onset was examined via univariate and multivariate logistic analyses. Lastly, mediation analysis was performed to examine the relationship between systematic inflammatory response and study outcomes mediated by FBG.</p><p><strong>Results: </strong>SIRI and NHR were both negatively correlated with clinical outcomes (p < 0.05). Logistic regression analysis revealed that SIRI and NHR were independently associated with poor outcomes after adjusting for potential confounders. Subgroup analyses further validated these correlations. Meanwhile, mediation analysis corroborated that FBG partially mediated the associations between SIRI and a poor prognosis at 90 days (indirect effect estimate = 0.0038, bootstrap 95% CI 0.001-0.008; direct effect estimate = 0.1719, bootstrap 95% CI 0.1258-0.2179). Besides, FBG also played a mediating role between NHR and poor outcomes (indirect effect estimate = 0.0066, bootstrap 95% CI 0.002-0.120; direct effect estimate = 0.1308, bootstrap 95% CI 0.0934-0.1681).</p><p><strong>Conclusion: </strong>Our study demonstrated that SIRI and NHR are positively associated with poor clinical and mortality outcomes at 90 days in AIS patients, which was partially mediated by FBG.</p>\",\"PeriodicalId\":54730,\"journal\":{\"name\":\"Neuroepidemiology\",\"volume\":\" \",\"pages\":\"31-42\"},\"PeriodicalIF\":4.0000,\"publicationDate\":\"2025-01-01\",\"publicationTypes\":\"Journal Article\",\"fieldsOfStudy\":null,\"isOpenAccess\":false,\"openAccessPdf\":\"https://www.ncbi.nlm.nih.gov/pmc/articles/PMC11797957/pdf/\",\"citationCount\":\"0\",\"resultStr\":null,\"platform\":\"Semanticscholar\",\"paperid\":null,\"PeriodicalName\":\"Neuroepidemiology\",\"FirstCategoryId\":\"3\",\"ListUrlMain\":\"https://doi.org/10.1159/000539132\",\"RegionNum\":3,\"RegionCategory\":\"医学\",\"ArticlePicture\":[],\"TitleCN\":null,\"AbstractTextCN\":null,\"PMCID\":null,\"EPubDate\":\"2024/5/15 0:00:00\",\"PubModel\":\"Epub\",\"JCR\":\"Q2\",\"JCRName\":\"CLINICAL NEUROLOGY\",\"Score\":null,\"Total\":0}","platform":"Semanticscholar","paperid":null,"PeriodicalName":"Neuroepidemiology","FirstCategoryId":"3","ListUrlMain":"https://doi.org/10.1159/000539132","RegionNum":3,"RegionCategory":"医学","ArticlePicture":[],"TitleCN":null,"AbstractTextCN":null,"PMCID":null,"EPubDate":"2024/5/15 0:00:00","PubModel":"Epub","JCR":"Q2","JCRName":"CLINICAL NEUROLOGY","Score":null,"Total":0}
引用次数: 0

摘要

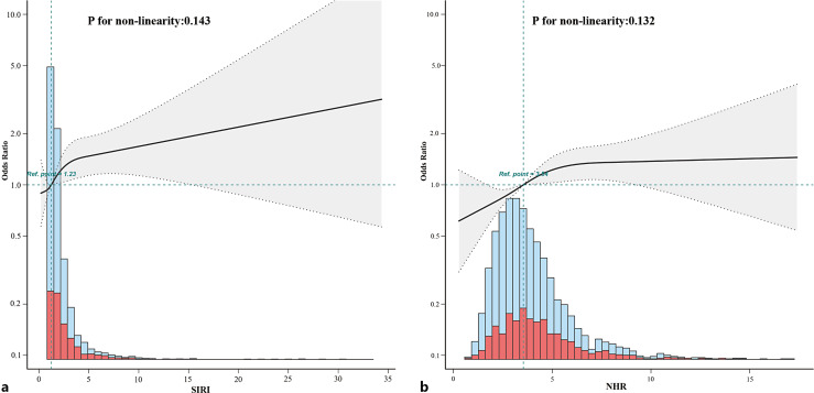
背景和目的:单个和合并的炎症标志物对急性缺血性卒中(AIS)预后的影响仍不明确。本研究探讨了全身炎症反应指数(SIRI)和中性粒细胞与高密度脂蛋白比值(NHR)(由空腹血糖(FBG)介导)对 AIS 患者 90 天预后的影响:在这项观察性队列研究的预设子研究中,2017年1月至2021年7月期间,南京卒中登记中心共登记了2828例AIS患者。患者入院24小时内空腹至少8小时,采集外周静脉血,收集以下参数信息:中性粒细胞计数、淋巴细胞计数、单核细胞计数、高密度脂蛋白水平和空腹血糖水平。然后,计算 SIRI 和 NHR 值。然后,通过单变量和多变量逻辑分析,研究发病 90 天后 SIRI、NHR 和改良 Rankin 量表(mRS)评分之间的相关性。最后,还进行了中介分析,研究系统性炎症反应与研究结果之间由 FBG 中介的关系:结果:SIRI 和 NHR 均与临床结果呈负相关(p < 0.05)。逻辑回归分析显示,在调整了潜在的混杂因素后,SIRI 和 NHR 与不良预后独立相关。亚组分析进一步验证了这些相关性。同时,中介分析证实,FBG 部分中介了 SIRI 与 90d 时不良预后之间的关系(间接效应估计值 = 0.0038,bootstrap 95% CI 0.001 至 0.008;直接效应估计值 = 0.1719,bootstrap 95% CI 0.1258 至 0.2179)。此外,FBG在NHR和不良预后之间也起着中介作用(间接效应估计值=0.0066,bootstrap 95% CI 0.002至0.120;直接效应估计值=0.1308,bootstrap 95% CI 0.0934至0.1681):我们的研究表明,SIRI和NHR与AIS患者90天后的不良临床结局和死亡率呈正相关,而FBG在一定程度上起到了中介作用。
本文章由计算机程序翻译,如有差异,请以英文原文为准。

The Association of Systemic Inflammatory Response Index and Neutrophil-to-High-Density Lipoprotein Ratio Mediated by Fasting Blood Glucose with 90-Day Prognosis in Acute Ischemic Stroke Patients.

The Association of Systemic Inflammatory Response Index and Neutrophil-to-High-Density Lipoprotein Ratio Mediated by Fasting Blood Glucose with 90-Day Prognosis in Acute Ischemic Stroke Patients.

The Association of Systemic Inflammatory Response Index and Neutrophil-to-High-Density Lipoprotein Ratio Mediated by Fasting Blood Glucose with 90-Day Prognosis in Acute Ischemic Stroke Patients.

The Association of Systemic Inflammatory Response Index and Neutrophil-to-High-Density Lipoprotein Ratio Mediated by Fasting Blood Glucose with 90-Day Prognosis in Acute Ischemic Stroke Patients.

Introduction: The contribution of individual and combined inflammatory markers for the prognosis of acute ischemic stroke (AIS) remains elusive. This study investigated the effect of systemic inflammatory response index (SIRI), and neutrophil to high-density lipoprotein ratio (NHR), which is mediated by fasting blood glucose (FBG), on 90-day prognosis of patients with AIS.

Methods: In this pre-specified substudy of an observational cohort study, 2,828 patients with AIS were enrolled from the Nanjing Stroke Registry between January 2017 and July 2021. Peripheral venous blood was collected from patients fasting for at least 8 h within 24 h of admission to gather information on the following parameters: neutrophil count, lymphocyte count, monocyte count, HDL level, and fasting blood glucose level. Then, the SIRI and NHR values were calculated. Following this, the correlation among SIRI, NHR, and modified Rankin Scale (mRS) scores 90 days after onset was examined via univariate and multivariate logistic analyses. Lastly, mediation analysis was performed to examine the relationship between systematic inflammatory response and study outcomes mediated by FBG.

Results: SIRI and NHR were both negatively correlated with clinical outcomes (p < 0.05). Logistic regression analysis revealed that SIRI and NHR were independently associated with poor outcomes after adjusting for potential confounders. Subgroup analyses further validated these correlations. Meanwhile, mediation analysis corroborated that FBG partially mediated the associations between SIRI and a poor prognosis at 90 days (indirect effect estimate = 0.0038, bootstrap 95% CI 0.001-0.008; direct effect estimate = 0.1719, bootstrap 95% CI 0.1258-0.2179). Besides, FBG also played a mediating role between NHR and poor outcomes (indirect effect estimate = 0.0066, bootstrap 95% CI 0.002-0.120; direct effect estimate = 0.1308, bootstrap 95% CI 0.0934-0.1681).

Conclusion: Our study demonstrated that SIRI and NHR are positively associated with poor clinical and mortality outcomes at 90 days in AIS patients, which was partially mediated by FBG.

Introduction: The contribution of individual and combined inflammatory markers for the prognosis of acute ischemic stroke (AIS) remains elusive. This study investigated the effect of systemic inflammatory response index (SIRI), and neutrophil to high-density lipoprotein ratio (NHR), which is mediated by fasting blood glucose (FBG), on 90-day prognosis of patients with AIS.

Methods: In this pre-specified substudy of an observational cohort study, 2,828 patients with AIS were enrolled from the Nanjing Stroke Registry between January 2017 and July 2021. Peripheral venous blood was collected from patients fasting for at least 8 h within 24 h of admission to gather information on the following parameters: neutrophil count, lymphocyte count, monocyte count, HDL level, and fasting blood glucose level. Then, the SIRI and NHR values were calculated. Following this, the correlation among SIRI, NHR, and modified Rankin Scale (mRS) scores 90 days after onset was examined via univariate and multivariate logistic analyses. Lastly, mediation analysis was performed to examine the relationship between systematic inflammatory response and study outcomes mediated by FBG.

Results: SIRI and NHR were both negatively correlated with clinical outcomes (p < 0.05). Logistic regression analysis revealed that SIRI and NHR were independently associated with poor outcomes after adjusting for potential confounders. Subgroup analyses further validated these correlations. Meanwhile, mediation analysis corroborated that FBG partially mediated the associations between SIRI and a poor prognosis at 90 days (indirect effect estimate = 0.0038, bootstrap 95% CI 0.001-0.008; direct effect estimate = 0.1719, bootstrap 95% CI 0.1258-0.2179). Besides, FBG also played a mediating role between NHR and poor outcomes (indirect effect estimate = 0.0066, bootstrap 95% CI 0.002-0.120; direct effect estimate = 0.1308, bootstrap 95% CI 0.0934-0.1681).

Conclusion: Our study demonstrated that SIRI and NHR are positively associated with poor clinical and mortality outcomes at 90 days in AIS patients, which was partially mediated by FBG.

求助全文
通过发布文献求助,成功后即可免费获取论文全文。 去求助
来源期刊
Neuroepidemiology
Neuroepidemiology 医学-公共卫生、环境卫生与职业卫生
CiteScore
9.90
自引率
1.80%
发文量
49
审稿时长
6-12 weeks
期刊介绍: ''Neuroepidemiology'' is the only internationally recognised peer-reviewed periodical devoted to descriptive, analytical and experimental studies in the epidemiology of neurologic disease. The scope of the journal expands the boundaries of traditional clinical neurology by providing new insights regarding the etiology, determinants, distribution, management and prevention of diseases of the nervous system.
×
引用
GB/T 7714-2015
复制
MLA
复制
APA
复制
导出至
BibTeX EndNote RefMan NoteFirst NoteExpress
×
提示
您的信息不完整,为了账户安全,请先补充。
现在去补充
×
提示
您因"违规操作"
具体请查看互助需知
我知道了
×
提示
确定
请完成安全验证×
copy
已复制链接
快去分享给好友吧!
我知道了
右上角分享
点击右上角分享
0
联系我们:info@booksci.cn Book学术提供免费学术资源搜索服务,方便国内外学者检索中英文文献。致力于提供最便捷和优质的服务体验。 Copyright © 2023 布克学术 All rights reserved.
京ICP备2023020795号-1
ghs 京公网安备 11010802042870号
Book学术文献互助
Book学术文献互助群
群 号:604180095
Book学术官方微信