向退休过渡是否与志愿服务有关?来自欧洲的纵向证据

IF 1.8 3区 社会学 Q2 GERONTOLOGY
Research on Aging Pub Date : 2024-10-01 Epub Date: 2024-05-10 DOI:10.1177/01640275241251786
Hans Hämäläinen, Antti O Tanskanen, Bruno Arpino, Aïda Solé-Auró, Mirkka Danielsbacka
{"title":"向退休过渡是否与志愿服务有关?来自欧洲的纵向证据","authors":"Hans Hämäläinen, Antti O Tanskanen, Bruno Arpino, Aïda Solé-Auró, Mirkka Danielsbacka","doi":"10.1177/01640275241251786","DOIUrl":null,"url":null,"abstract":"<p><p>Studies have shown that retired older adults are more likely to volunteer than their working counterparts. However, whether the transition to retirement is associated with increased volunteering frequency and whether this varies according to material and time resources of participants is unclear. We used four waves of data from the longitudinal Survey of Health, Ageing and Retirement in Europe, collected between 2011-2018 across 19 countries (<i>n</i> = 12,400 person-observations from 6200 individuals over 50). Within-person (or panel fixed-effect) regression analyses revealed that transition to retirement was associated with an increased volunteering frequency over time. This association was stronger among individuals with better health, higher education, improved financial situation and in countries with higher gross domestic product per capita. Overall, transition to retirement tends to open new ways of organizing everyday life and is associated with increased frequency of volunteering.</p>","PeriodicalId":47983,"journal":{"name":"Research on Aging","volume":" ","pages":"509-520"},"PeriodicalIF":1.8000,"publicationDate":"2024-10-01","publicationTypes":"Journal Article","fieldsOfStudy":null,"isOpenAccess":false,"openAccessPdf":"https://www.ncbi.nlm.nih.gov/pmc/articles/PMC11423552/pdf/","citationCount":"0","resultStr":"{\"title\":\"Is Transition to Retirement Associated With Volunteering? Longitudinal Evidence from Europe.\",\"authors\":\"Hans Hämäläinen, Antti O Tanskanen, Bruno Arpino, Aïda Solé-Auró, Mirkka Danielsbacka\",\"doi\":\"10.1177/01640275241251786\",\"DOIUrl\":null,\"url\":null,\"abstract\":\"<p><p>Studies have shown that retired older adults are more likely to volunteer than their working counterparts. However, whether the transition to retirement is associated with increased volunteering frequency and whether this varies according to material and time resources of participants is unclear. We used four waves of data from the longitudinal Survey of Health, Ageing and Retirement in Europe, collected between 2011-2018 across 19 countries (<i>n</i> = 12,400 person-observations from 6200 individuals over 50). Within-person (or panel fixed-effect) regression analyses revealed that transition to retirement was associated with an increased volunteering frequency over time. This association was stronger among individuals with better health, higher education, improved financial situation and in countries with higher gross domestic product per capita. Overall, transition to retirement tends to open new ways of organizing everyday life and is associated with increased frequency of volunteering.</p>\",\"PeriodicalId\":47983,\"journal\":{\"name\":\"Research on Aging\",\"volume\":\" \",\"pages\":\"509-520\"},\"PeriodicalIF\":1.8000,\"publicationDate\":\"2024-10-01\",\"publicationTypes\":\"Journal Article\",\"fieldsOfStudy\":null,\"isOpenAccess\":false,\"openAccessPdf\":\"https://www.ncbi.nlm.nih.gov/pmc/articles/PMC11423552/pdf/\",\"citationCount\":\"0\",\"resultStr\":null,\"platform\":\"Semanticscholar\",\"paperid\":null,\"PeriodicalName\":\"Research on Aging\",\"FirstCategoryId\":\"90\",\"ListUrlMain\":\"https://doi.org/10.1177/01640275241251786\",\"RegionNum\":3,\"RegionCategory\":\"社会学\",\"ArticlePicture\":[],\"TitleCN\":null,\"AbstractTextCN\":null,\"PMCID\":null,\"EPubDate\":\"2024/5/10 0:00:00\",\"PubModel\":\"Epub\",\"JCR\":\"Q2\",\"JCRName\":\"GERONTOLOGY\",\"Score\":null,\"Total\":0}","platform":"Semanticscholar","paperid":null,"PeriodicalName":"Research on Aging","FirstCategoryId":"90","ListUrlMain":"https://doi.org/10.1177/01640275241251786","RegionNum":3,"RegionCategory":"社会学","ArticlePicture":[],"TitleCN":null,"AbstractTextCN":null,"PMCID":null,"EPubDate":"2024/5/10 0:00:00","PubModel":"Epub","JCR":"Q2","JCRName":"GERONTOLOGY","Score":null,"Total":0}
引用次数: 0

摘要

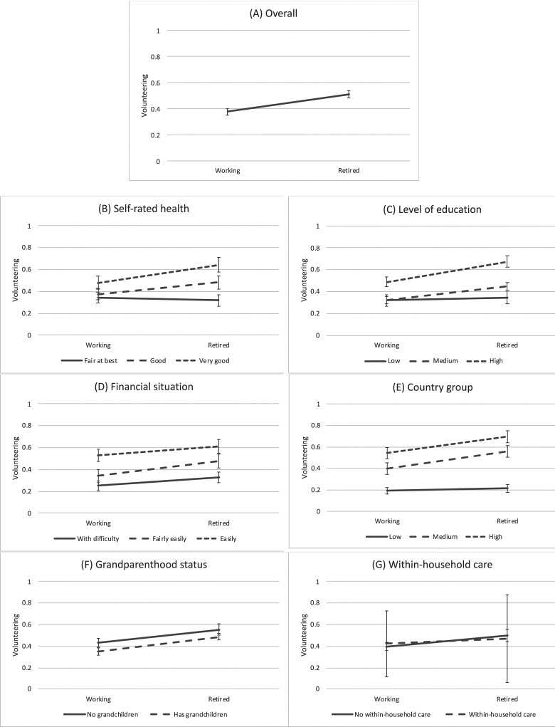
研究表明,退休老年人比在职老年人更有可能参加志愿服务。然而,向退休过渡是否与志愿服务频率的增加有关,以及这是否因参与者的物质和时间资源而有所不同,目前尚不清楚。我们使用了《欧洲健康、老龄化和退休纵向调查》(2011-2018 年间在 19 个国家收集的四波数据(n = 12400 个来自 6200 名 50 岁以上个人的观察数据)。人内(或面板固定效应)回归分析显示,随着时间的推移,向退休过渡与志愿服务频率的增加有关。在健康状况较好、受教育程度较高、经济状况有所改善的个人以及人均国内生产总值较高的国家,这种关联性更强。总体而言,向退休过渡往往会开启安排日常生活的新方式,并与志愿服务频率的增加有关。
本文章由计算机程序翻译,如有差异,请以英文原文为准。

Is Transition to Retirement Associated With Volunteering? Longitudinal Evidence from Europe.

Is Transition to Retirement Associated With Volunteering? Longitudinal Evidence from Europe.

Is Transition to Retirement Associated With Volunteering? Longitudinal Evidence from Europe.

Is Transition to Retirement Associated With Volunteering? Longitudinal Evidence from Europe.

Studies have shown that retired older adults are more likely to volunteer than their working counterparts. However, whether the transition to retirement is associated with increased volunteering frequency and whether this varies according to material and time resources of participants is unclear. We used four waves of data from the longitudinal Survey of Health, Ageing and Retirement in Europe, collected between 2011-2018 across 19 countries (n = 12,400 person-observations from 6200 individuals over 50). Within-person (or panel fixed-effect) regression analyses revealed that transition to retirement was associated with an increased volunteering frequency over time. This association was stronger among individuals with better health, higher education, improved financial situation and in countries with higher gross domestic product per capita. Overall, transition to retirement tends to open new ways of organizing everyday life and is associated with increased frequency of volunteering.

求助全文
通过发布文献求助,成功后即可免费获取论文全文。 去求助
来源期刊
Research on Aging
Research on Aging GERONTOLOGY-
CiteScore
4.50
自引率
0.00%
发文量
59
期刊介绍: Research on Aging is an interdisciplinary journal designed to reflect the expanding role of research in the field of social gerontology. Research on Aging exists to provide for publication of research in the broad range of disciplines concerned with aging. Scholars from the disciplines of sociology, geriatrics, history, psychology, anthropology, public health, economics, political science, criminal justice, and social work are encouraged to contribute articles to the journal. Emphasis will be on materials of broad scope and cross-disciplinary interest. Assessment of the current state of knowledge is as important as provision of an outlet for new knowledge, so critical and review articles are welcomed. Systematic attention to particular topics will also be featured.
×
引用
GB/T 7714-2015
复制
MLA
复制
APA
复制
导出至
BibTeX EndNote RefMan NoteFirst NoteExpress
×
提示
您的信息不完整,为了账户安全,请先补充。
现在去补充
×
提示
您因"违规操作"
具体请查看互助需知
我知道了
×
提示
确定
请完成安全验证×
copy
已复制链接
快去分享给好友吧!
我知道了
右上角分享
点击右上角分享
0
联系我们:info@booksci.cn Book学术提供免费学术资源搜索服务,方便国内外学者检索中英文文献。致力于提供最便捷和优质的服务体验。 Copyright © 2023 布克学术 All rights reserved.
京ICP备2023020795号-1
ghs 京公网安备 11010802042870号
Book学术文献互助
Book学术文献互助群
群 号:604180095
Book学术官方微信