肾移植受者感染严重急性呼吸系统综合征冠状病毒 2 (SARS-CoV-2) 的后遗症:大型单中心经验。

IF 1.8 Q3 CRITICAL CARE MEDICINE
Critical Care Research and Practice Pub Date : 2024-05-02 eCollection Date: 2024-01-01 DOI:10.1155/2024/7140548
Emily E Zona, Mina L Gibes, Asha S Jain, Juan S Danobeitia, Jacqueline Garonzik-Wang, Jeannina A Smith, Didier A Mandelbrot, Sandesh Parajuli
{"title":"肾移植受者感染严重急性呼吸系统综合征冠状病毒 2 (SARS-CoV-2) 的后遗症:大型单中心经验。","authors":"Emily E Zona, Mina L Gibes, Asha S Jain, Juan S Danobeitia, Jacqueline Garonzik-Wang, Jeannina A Smith, Didier A Mandelbrot, Sandesh Parajuli","doi":"10.1155/2024/7140548","DOIUrl":null,"url":null,"abstract":"<p><strong>Background: </strong>Kidney transplant recipients (KTRs) are a vulnerable immunocompromised population at risk of severe COVID-19 disease and mortality after SARS-CoV-2 infection. We sought to characterize the post-infection sequelae in KTRs at our center.</p><p><strong>Methods: </strong>We studied all adult KTRs (with a functioning allograft) who had their first episode of SARS-CoV-2 infection between 04/2020 and 04/2022. Outcomes of interest included risk factors for hospitalization, all-cause mortality, COVID-19-related mortality, and allograft failure.</p><p><strong>Results: </strong>Of 979 KTRs with SARS-CoV-2 infection, 381 (39%) were hospitalized. In the multivariate analysis, risk factors for hospitalization included advanced age/year (HR: 1.03, 95% CI: 1.02-1.04), male sex (HR: 1.29, 95% CI: 1.04-1.60), non-white race (HR: 1.48, 95% CI: 1.17-1.88), and diabetes as a cause of ESKD (HR: 1.77, 95% CI: 1.41-2.21). SARS-CoV-2 Vaccination was associated with decreased risk of hospitalization (HR: 0.73, 95% CI: 0.59-0.90), all-cause mortality (HR: 0.52, 95% CI: 0.37-0.74), and COVID-19-related mortality (HR: 0.47, 95% CI: 0.31-0.71) in the univariate and multivariate analyses. Risk factors for both all-cause and COVID-19-related mortality in the multivariate analyses included advanced age, hospitalization, and respiratory symptoms for hospital admission. Furthermore, additional risk factors for all-cause mortality in the multivariate analysis included being a non-white recipient and diabetes as a cause of ESKD, with being a recipient of a living donor as protective.</p><p><strong>Conclusions: </strong>Hospitalization due to COVID-19-associated symptoms is associated with increased mortality. Vaccination is a protective factor against hospitalization and mortality.</p>","PeriodicalId":46583,"journal":{"name":"Critical Care Research and Practice","volume":"2024 ","pages":"7140548"},"PeriodicalIF":1.8000,"publicationDate":"2024-05-02","publicationTypes":"Journal Article","fieldsOfStudy":null,"isOpenAccess":false,"openAccessPdf":"https://www.ncbi.nlm.nih.gov/pmc/articles/PMC11081755/pdf/","citationCount":"0","resultStr":"{\"title\":\"Sequelae of Severe Acute Respiratory Syndrome Coronavirus 2 (SARS-CoV-2) Infection among Kidney Transplant Recipients: A Large Single-Center Experience.\",\"authors\":\"Emily E Zona, Mina L Gibes, Asha S Jain, Juan S Danobeitia, Jacqueline Garonzik-Wang, Jeannina A Smith, Didier A Mandelbrot, Sandesh Parajuli\",\"doi\":\"10.1155/2024/7140548\",\"DOIUrl\":null,\"url\":null,\"abstract\":\"<p><strong>Background: </strong>Kidney transplant recipients (KTRs) are a vulnerable immunocompromised population at risk of severe COVID-19 disease and mortality after SARS-CoV-2 infection. We sought to characterize the post-infection sequelae in KTRs at our center.</p><p><strong>Methods: </strong>We studied all adult KTRs (with a functioning allograft) who had their first episode of SARS-CoV-2 infection between 04/2020 and 04/2022. Outcomes of interest included risk factors for hospitalization, all-cause mortality, COVID-19-related mortality, and allograft failure.</p><p><strong>Results: </strong>Of 979 KTRs with SARS-CoV-2 infection, 381 (39%) were hospitalized. In the multivariate analysis, risk factors for hospitalization included advanced age/year (HR: 1.03, 95% CI: 1.02-1.04), male sex (HR: 1.29, 95% CI: 1.04-1.60), non-white race (HR: 1.48, 95% CI: 1.17-1.88), and diabetes as a cause of ESKD (HR: 1.77, 95% CI: 1.41-2.21). SARS-CoV-2 Vaccination was associated with decreased risk of hospitalization (HR: 0.73, 95% CI: 0.59-0.90), all-cause mortality (HR: 0.52, 95% CI: 0.37-0.74), and COVID-19-related mortality (HR: 0.47, 95% CI: 0.31-0.71) in the univariate and multivariate analyses. Risk factors for both all-cause and COVID-19-related mortality in the multivariate analyses included advanced age, hospitalization, and respiratory symptoms for hospital admission. Furthermore, additional risk factors for all-cause mortality in the multivariate analysis included being a non-white recipient and diabetes as a cause of ESKD, with being a recipient of a living donor as protective.</p><p><strong>Conclusions: </strong>Hospitalization due to COVID-19-associated symptoms is associated with increased mortality. Vaccination is a protective factor against hospitalization and mortality.</p>\",\"PeriodicalId\":46583,\"journal\":{\"name\":\"Critical Care Research and Practice\",\"volume\":\"2024 \",\"pages\":\"7140548\"},\"PeriodicalIF\":1.8000,\"publicationDate\":\"2024-05-02\",\"publicationTypes\":\"Journal Article\",\"fieldsOfStudy\":null,\"isOpenAccess\":false,\"openAccessPdf\":\"https://www.ncbi.nlm.nih.gov/pmc/articles/PMC11081755/pdf/\",\"citationCount\":\"0\",\"resultStr\":null,\"platform\":\"Semanticscholar\",\"paperid\":null,\"PeriodicalName\":\"Critical Care Research and Practice\",\"FirstCategoryId\":\"1085\",\"ListUrlMain\":\"https://doi.org/10.1155/2024/7140548\",\"RegionNum\":0,\"RegionCategory\":null,\"ArticlePicture\":[],\"TitleCN\":null,\"AbstractTextCN\":null,\"PMCID\":null,\"EPubDate\":\"2024/1/1 0:00:00\",\"PubModel\":\"eCollection\",\"JCR\":\"Q3\",\"JCRName\":\"CRITICAL CARE MEDICINE\",\"Score\":null,\"Total\":0}","platform":"Semanticscholar","paperid":null,"PeriodicalName":"Critical Care Research and Practice","FirstCategoryId":"1085","ListUrlMain":"https://doi.org/10.1155/2024/7140548","RegionNum":0,"RegionCategory":null,"ArticlePicture":[],"TitleCN":null,"AbstractTextCN":null,"PMCID":null,"EPubDate":"2024/1/1 0:00:00","PubModel":"eCollection","JCR":"Q3","JCRName":"CRITICAL CARE MEDICINE","Score":null,"Total":0}
引用次数: 0

摘要

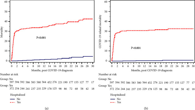
背景:肾移植受者(KTR)是免疫功能低下的易感人群,感染 SARS-CoV-2 后有可能出现严重的 COVID-19 疾病和死亡。我们试图描述本中心 KTR 感染后遗症的特征:我们对 2020 年 4 月至 2022 年 4 月期间首次感染 SARS-CoV-2 的所有成年 KTR(有功能正常的异体移植)进行了研究。研究结果包括住院风险因素、全因死亡率、COVID-19相关死亡率和同种异体移植失败:结果:在979名感染SARS-CoV-2的KTR中,有381人(39%)住院治疗。在多变量分析中,住院治疗的风险因素包括高龄/高年(HR:1.03,95% CI:1.02-1.04)、男性(HR:1.29,95% CI:1.04-1.60)、非白人种族(HR:1.48,95% CI:1.17-1.88)以及作为 ESKD 病因的糖尿病(HR:1.77,95% CI:1.41-2.21)。在单变量和多变量分析中,接种 SARS-CoV-2 疫苗与住院风险降低(HR:0.73,95% CI:0.59-0.90)、全因死亡率降低(HR:0.52,95% CI:0.37-0.74)和 COVID-19 相关死亡率降低(HR:0.47,95% CI:0.31-0.71)相关。在多变量分析中,全因死亡率和 COVID-19 相关死亡率的风险因素包括高龄、住院和入院时出现呼吸道症状。此外,在多变量分析中,全因死亡率的其他风险因素还包括非白人受体和作为ESKD病因的糖尿病,而活体供体受体具有保护作用:结论:因COVID-19相关症状而住院与死亡率升高有关。结论:COVID-19相关症状导致的住院与死亡率升高有关,而接种疫苗则对住院和死亡率有保护作用。
本文章由计算机程序翻译,如有差异,请以英文原文为准。

Sequelae of Severe Acute Respiratory Syndrome Coronavirus 2 (SARS-CoV-2) Infection among Kidney Transplant Recipients: A Large Single-Center Experience.

Sequelae of Severe Acute Respiratory Syndrome Coronavirus 2 (SARS-CoV-2) Infection among Kidney Transplant Recipients: A Large Single-Center Experience.

Background: Kidney transplant recipients (KTRs) are a vulnerable immunocompromised population at risk of severe COVID-19 disease and mortality after SARS-CoV-2 infection. We sought to characterize the post-infection sequelae in KTRs at our center.

Methods: We studied all adult KTRs (with a functioning allograft) who had their first episode of SARS-CoV-2 infection between 04/2020 and 04/2022. Outcomes of interest included risk factors for hospitalization, all-cause mortality, COVID-19-related mortality, and allograft failure.

Results: Of 979 KTRs with SARS-CoV-2 infection, 381 (39%) were hospitalized. In the multivariate analysis, risk factors for hospitalization included advanced age/year (HR: 1.03, 95% CI: 1.02-1.04), male sex (HR: 1.29, 95% CI: 1.04-1.60), non-white race (HR: 1.48, 95% CI: 1.17-1.88), and diabetes as a cause of ESKD (HR: 1.77, 95% CI: 1.41-2.21). SARS-CoV-2 Vaccination was associated with decreased risk of hospitalization (HR: 0.73, 95% CI: 0.59-0.90), all-cause mortality (HR: 0.52, 95% CI: 0.37-0.74), and COVID-19-related mortality (HR: 0.47, 95% CI: 0.31-0.71) in the univariate and multivariate analyses. Risk factors for both all-cause and COVID-19-related mortality in the multivariate analyses included advanced age, hospitalization, and respiratory symptoms for hospital admission. Furthermore, additional risk factors for all-cause mortality in the multivariate analysis included being a non-white recipient and diabetes as a cause of ESKD, with being a recipient of a living donor as protective.

Conclusions: Hospitalization due to COVID-19-associated symptoms is associated with increased mortality. Vaccination is a protective factor against hospitalization and mortality.

求助全文
通过发布文献求助,成功后即可免费获取论文全文。 去求助
来源期刊
Critical Care Research and Practice
Critical Care Research and Practice CRITICAL CARE MEDICINE-
CiteScore
3.60
自引率
0.00%
发文量
34
审稿时长
14 weeks
×
引用
GB/T 7714-2015
复制
MLA
复制
APA
复制
导出至
BibTeX EndNote RefMan NoteFirst NoteExpress
×
提示
您的信息不完整,为了账户安全,请先补充。
现在去补充
×
提示
您因"违规操作"
具体请查看互助需知
我知道了
×
提示
确定
请完成安全验证×
copy
已复制链接
快去分享给好友吧!
我知道了
右上角分享
点击右上角分享
0
联系我们:info@booksci.cn Book学术提供免费学术资源搜索服务,方便国内外学者检索中英文文献。致力于提供最便捷和优质的服务体验。 Copyright © 2023 布克学术 All rights reserved.
京ICP备2023020795号-1
ghs 京公网安备 11010802042870号
Book学术文献互助
Book学术文献互助群
群 号:604180095
Book学术官方微信