人工耳蜗植入手术的术中耳蜗外耳电图与术后听力听阈相关吗?人工耳蜗监测的回顾性分析。

IF 3 2区 医学 Q1 AUDIOLOGY & SPEECH-LANGUAGE PATHOLOGY
Sabine Haumann, Marlene Mynarek Née Bradler, Hannes Maier, Victor Helmstaedter, Andreas Büchner, Thomas Lenarz, Magnus J Teschner
{"title":"人工耳蜗植入手术的术中耳蜗外耳电图与术后听力听阈相关吗?人工耳蜗监测的回顾性分析。","authors":"Sabine Haumann, Marlene Mynarek Née Bradler, Hannes Maier, Victor Helmstaedter, Andreas Büchner, Thomas Lenarz, Magnus J Teschner","doi":"10.1177/23312165241252240","DOIUrl":null,"url":null,"abstract":"<p><p>In recent years, tools for early detection of irreversible trauma to the basilar membrane during hearing preservation cochlear implant (CI) surgery were established in several clinics. A link with the degree of postoperative hearing preservation in patients was investigated, but patient populations were usually small. Therefore, this study's aim was to analyze data from intraoperative extracochlear electrocochleography (ECochG) recordings for a larger group.During hearing preservation CI surgery, extracochlear recordings were made before, during, and after CI electrode insertion using a cotton wick electrode placed at the promontory. Before and after insertion, amplitudes and stimulus response thresholds were recorded at 250, 500, and 1000 Hz. During insertion, response amplitudes were recorded at one frequency and one stimulus level. Data from 121 patient ears were analyzed.The key benefit of extracochlear recordings is that they can be performed before, during, and after CI electrode insertion. However, extracochlear ECochG threshold changes before and after CI insertion were relatively small and did not independently correlate well with hearing preservation, although at 250 Hz they added some significant information. Some tendencies-although no significant relationships-were detected between amplitude behavior and hearing preservation. Rising amplitudes seem favorable and falling amplitudes disadvantageous, but constant amplitudes do not appear to allow stringent predictions.Extracochlear ECochG measurements seem to only partially realize expected benefits. The questions now are: do gains justify the effort, and do other procedures or possible combinations lead to greater benefits for patients?</p>","PeriodicalId":48678,"journal":{"name":"Trends in Hearing","volume":"28 ","pages":"23312165241252240"},"PeriodicalIF":3.0000,"publicationDate":"2024-01-01","publicationTypes":"Journal Article","fieldsOfStudy":null,"isOpenAccess":false,"openAccessPdf":"https://www.ncbi.nlm.nih.gov/pmc/articles/PMC11080760/pdf/","citationCount":"0","resultStr":"{\"title\":\"Does Intraoperative Extracochlear Electrocochleography Correlate With Postoperative Audiometric Hearing Thresholds in Cochlear Implant Surgery? A Retrospective Analysis of Cochlear Monitoring.\",\"authors\":\"Sabine Haumann, Marlene Mynarek Née Bradler, Hannes Maier, Victor Helmstaedter, Andreas Büchner, Thomas Lenarz, Magnus J Teschner\",\"doi\":\"10.1177/23312165241252240\",\"DOIUrl\":null,\"url\":null,\"abstract\":\"<p><p>In recent years, tools for early detection of irreversible trauma to the basilar membrane during hearing preservation cochlear implant (CI) surgery were established in several clinics. A link with the degree of postoperative hearing preservation in patients was investigated, but patient populations were usually small. Therefore, this study's aim was to analyze data from intraoperative extracochlear electrocochleography (ECochG) recordings for a larger group.During hearing preservation CI surgery, extracochlear recordings were made before, during, and after CI electrode insertion using a cotton wick electrode placed at the promontory. Before and after insertion, amplitudes and stimulus response thresholds were recorded at 250, 500, and 1000 Hz. During insertion, response amplitudes were recorded at one frequency and one stimulus level. Data from 121 patient ears were analyzed.The key benefit of extracochlear recordings is that they can be performed before, during, and after CI electrode insertion. However, extracochlear ECochG threshold changes before and after CI insertion were relatively small and did not independently correlate well with hearing preservation, although at 250 Hz they added some significant information. Some tendencies-although no significant relationships-were detected between amplitude behavior and hearing preservation. Rising amplitudes seem favorable and falling amplitudes disadvantageous, but constant amplitudes do not appear to allow stringent predictions.Extracochlear ECochG measurements seem to only partially realize expected benefits. The questions now are: do gains justify the effort, and do other procedures or possible combinations lead to greater benefits for patients?</p>\",\"PeriodicalId\":48678,\"journal\":{\"name\":\"Trends in Hearing\",\"volume\":\"28 \",\"pages\":\"23312165241252240\"},\"PeriodicalIF\":3.0000,\"publicationDate\":\"2024-01-01\",\"publicationTypes\":\"Journal Article\",\"fieldsOfStudy\":null,\"isOpenAccess\":false,\"openAccessPdf\":\"https://www.ncbi.nlm.nih.gov/pmc/articles/PMC11080760/pdf/\",\"citationCount\":\"0\",\"resultStr\":null,\"platform\":\"Semanticscholar\",\"paperid\":null,\"PeriodicalName\":\"Trends in Hearing\",\"FirstCategoryId\":\"3\",\"ListUrlMain\":\"https://doi.org/10.1177/23312165241252240\",\"RegionNum\":2,\"RegionCategory\":\"医学\",\"ArticlePicture\":[],\"TitleCN\":null,\"AbstractTextCN\":null,\"PMCID\":null,\"EPubDate\":\"\",\"PubModel\":\"\",\"JCR\":\"Q1\",\"JCRName\":\"AUDIOLOGY & SPEECH-LANGUAGE PATHOLOGY\",\"Score\":null,\"Total\":0}","platform":"Semanticscholar","paperid":null,"PeriodicalName":"Trends in Hearing","FirstCategoryId":"3","ListUrlMain":"https://doi.org/10.1177/23312165241252240","RegionNum":2,"RegionCategory":"医学","ArticlePicture":[],"TitleCN":null,"AbstractTextCN":null,"PMCID":null,"EPubDate":"","PubModel":"","JCR":"Q1","JCRName":"AUDIOLOGY & SPEECH-LANGUAGE PATHOLOGY","Score":null,"Total":0}
引用次数: 0

摘要

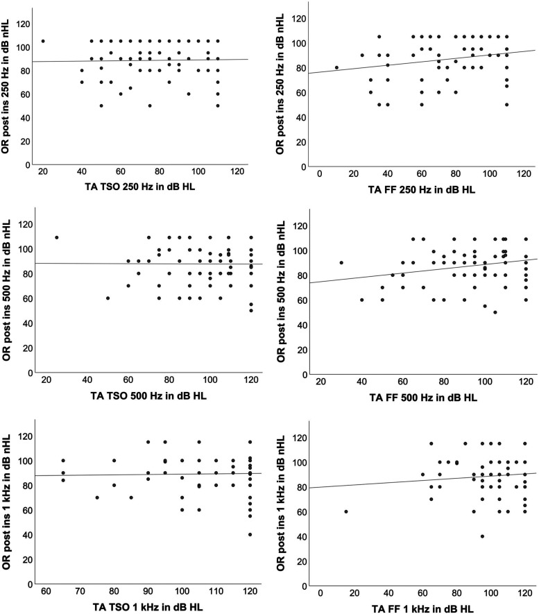
近年来,一些诊所开发出了在人工耳蜗(CI)听力保护手术中早期检测基底膜不可逆性创伤的工具。有人研究了基底膜创伤与患者术后听力保存程度之间的联系,但患者人数通常较少。在保留听力的 CI 手术中,在 CI 电极插入前、插入中和插入后,使用放置在突起处的棉芯电极进行蜗外记录。在插入前和插入后,记录了 250、500 和 1000 Hz 的振幅和刺激反应阈值。插入时,记录一个频率和一个刺激水平的反应振幅。耳外记录的主要优点是可以在插入 CI 电极之前、期间和之后进行。然而,插入 CI 前后的耳外心电阈值变化相对较小,而且与听力保存的相关性也不高,尽管在 250 Hz 时它们增加了一些重要信息。在振幅行为和听力保护之间发现了一些趋势,但没有明显的关系。振幅上升似乎有利,振幅下降则不利,但恒定的振幅似乎无法做出严格的预测。现在的问题是:收益是否能证明付出的努力是值得的,其他程序或可能的组合是否能为患者带来更大的益处?
本文章由计算机程序翻译,如有差异,请以英文原文为准。

Does Intraoperative Extracochlear Electrocochleography Correlate With Postoperative Audiometric Hearing Thresholds in Cochlear Implant Surgery? A Retrospective Analysis of Cochlear Monitoring.

Does Intraoperative Extracochlear Electrocochleography Correlate With Postoperative Audiometric Hearing Thresholds in Cochlear Implant Surgery? A Retrospective Analysis of Cochlear Monitoring.

Does Intraoperative Extracochlear Electrocochleography Correlate With Postoperative Audiometric Hearing Thresholds in Cochlear Implant Surgery? A Retrospective Analysis of Cochlear Monitoring.

Does Intraoperative Extracochlear Electrocochleography Correlate With Postoperative Audiometric Hearing Thresholds in Cochlear Implant Surgery? A Retrospective Analysis of Cochlear Monitoring.

In recent years, tools for early detection of irreversible trauma to the basilar membrane during hearing preservation cochlear implant (CI) surgery were established in several clinics. A link with the degree of postoperative hearing preservation in patients was investigated, but patient populations were usually small. Therefore, this study's aim was to analyze data from intraoperative extracochlear electrocochleography (ECochG) recordings for a larger group.During hearing preservation CI surgery, extracochlear recordings were made before, during, and after CI electrode insertion using a cotton wick electrode placed at the promontory. Before and after insertion, amplitudes and stimulus response thresholds were recorded at 250, 500, and 1000 Hz. During insertion, response amplitudes were recorded at one frequency and one stimulus level. Data from 121 patient ears were analyzed.The key benefit of extracochlear recordings is that they can be performed before, during, and after CI electrode insertion. However, extracochlear ECochG threshold changes before and after CI insertion were relatively small and did not independently correlate well with hearing preservation, although at 250 Hz they added some significant information. Some tendencies-although no significant relationships-were detected between amplitude behavior and hearing preservation. Rising amplitudes seem favorable and falling amplitudes disadvantageous, but constant amplitudes do not appear to allow stringent predictions.Extracochlear ECochG measurements seem to only partially realize expected benefits. The questions now are: do gains justify the effort, and do other procedures or possible combinations lead to greater benefits for patients?

求助全文
通过发布文献求助,成功后即可免费获取论文全文。 去求助
来源期刊
Trends in Hearing
Trends in Hearing AUDIOLOGY & SPEECH-LANGUAGE PATHOLOGYOTORH-OTORHINOLARYNGOLOGY
CiteScore
4.50
自引率
11.10%
发文量
44
审稿时长
12 weeks
期刊介绍: Trends in Hearing is an open access journal completely dedicated to publishing original research and reviews focusing on human hearing, hearing loss, hearing aids, auditory implants, and aural rehabilitation. Under its former name, Trends in Amplification, the journal established itself as a forum for concise explorations of all areas of translational hearing research by leaders in the field. Trends in Hearing has now expanded its focus to include original research articles, with the goal of becoming the premier venue for research related to human hearing and hearing loss.
×
引用
GB/T 7714-2015
复制
MLA
复制
APA
复制
导出至
BibTeX EndNote RefMan NoteFirst NoteExpress
×
提示
您的信息不完整,为了账户安全,请先补充。
现在去补充
×
提示
您因"违规操作"
具体请查看互助需知
我知道了
×
提示
确定
请完成安全验证×
copy
已复制链接
快去分享给好友吧!
我知道了
右上角分享
点击右上角分享
0
联系我们:info@booksci.cn Book学术提供免费学术资源搜索服务,方便国内外学者检索中英文文献。致力于提供最便捷和优质的服务体验。 Copyright © 2023 布克学术 All rights reserved.
京ICP备2023020795号-1
ghs 京公网安备 11010802042870号
Book学术文献互助
Book学术文献互助群
群 号:604180095
Book学术官方微信