评估波兰健康儿童和青少年的生化骨转换标志物

Journal of mother and child Pub Date : 2024-04-19 eCollection Date: 2024-02-01 DOI:10.34763/jmotherandchild.20242801.d-23-00105
Joanna Gajewska, Magdalena Chełchowska, Grażyna Rowicka, Witold Klemarczyk, Ewa Głąb-Jabłońska, Jadwiga Ambroszkiewicz
{"title":"评估波兰健康儿童和青少年的生化骨转换标志物","authors":"Joanna Gajewska, Magdalena Chełchowska, Grażyna Rowicka, Witold Klemarczyk, Ewa Głąb-Jabłońska, Jadwiga Ambroszkiewicz","doi":"10.34763/jmotherandchild.20242801.d-23-00105","DOIUrl":null,"url":null,"abstract":"<p><strong>Background: </strong>Assessing bone turnover in paediatric populations is crucial for understanding the physiological changes occurring during skeletal development and identifying potential abnormalities. The objective of this study was to assess osteocalcin (OC), bone alkaline phosphatase (BALP), and C-terminal telopeptide of type I collagen (CTX-I) levels reflecting bone formation and resorption for age and sex in Polish healthy children and adolescents.</p><p><strong>Materials and methods: </strong>A total of 355 healthy normal-weight children and adolescents (46.5% girls) aged 1-18 years old were recruited. Total body less head (TBLH) and spine L1-L4 were used in children to assess bone mineral density (BMD) by dual-energy X-ray absorptiometry (DXA). Bone marker concentrations were determined by immunoenzymatic methods.</p><p><strong>Results: </strong>Bone marker levels in girls and boys started with higher values in the first year of life and subsequently decreased until reaching a nadir during the prepubertal period. The pubertal peak values of bone markers were reached at 11-13 years old in boys and at 9-11 years old in girls. After puberty, the adolescents showed a gradual decline in bone marker concentrations to the values observed in adults. We found positive correlations between OC level and TBLH-BMD (r = 0.329, p = 0.002), TBLH-BMD Z-score (r = 0.245, p = 0.023), and L1-L4 BMD (r = 0.280, p = 0.009) in the prepubertal group.</p><p><strong>Conclusions: </strong>We showed serum levels of bone turnover markers-BALP, OC, and CTX-I-in relation to age and sex in healthy Polish children and adolescents. The age intervals of these markers for girls and boys aged 1-18 years old may be clinically useful in the assessment of bone metabolism in individuals with skeletal disorders.</p>","PeriodicalId":73842,"journal":{"name":"Journal of mother and child","volume":"28 1","pages":"14-22"},"PeriodicalIF":0.0000,"publicationDate":"2024-04-19","publicationTypes":"Journal Article","fieldsOfStudy":null,"isOpenAccess":false,"openAccessPdf":"https://www.ncbi.nlm.nih.gov/pmc/articles/PMC11027035/pdf/","citationCount":"0","resultStr":"{\"title\":\"Assessment of Biochemical Bone Turnover Markers in Polish Healthy Children and Adolescents.\",\"authors\":\"Joanna Gajewska, Magdalena Chełchowska, Grażyna Rowicka, Witold Klemarczyk, Ewa Głąb-Jabłońska, Jadwiga Ambroszkiewicz\",\"doi\":\"10.34763/jmotherandchild.20242801.d-23-00105\",\"DOIUrl\":null,\"url\":null,\"abstract\":\"<p><strong>Background: </strong>Assessing bone turnover in paediatric populations is crucial for understanding the physiological changes occurring during skeletal development and identifying potential abnormalities. The objective of this study was to assess osteocalcin (OC), bone alkaline phosphatase (BALP), and C-terminal telopeptide of type I collagen (CTX-I) levels reflecting bone formation and resorption for age and sex in Polish healthy children and adolescents.</p><p><strong>Materials and methods: </strong>A total of 355 healthy normal-weight children and adolescents (46.5% girls) aged 1-18 years old were recruited. Total body less head (TBLH) and spine L1-L4 were used in children to assess bone mineral density (BMD) by dual-energy X-ray absorptiometry (DXA). Bone marker concentrations were determined by immunoenzymatic methods.</p><p><strong>Results: </strong>Bone marker levels in girls and boys started with higher values in the first year of life and subsequently decreased until reaching a nadir during the prepubertal period. The pubertal peak values of bone markers were reached at 11-13 years old in boys and at 9-11 years old in girls. After puberty, the adolescents showed a gradual decline in bone marker concentrations to the values observed in adults. We found positive correlations between OC level and TBLH-BMD (r = 0.329, p = 0.002), TBLH-BMD Z-score (r = 0.245, p = 0.023), and L1-L4 BMD (r = 0.280, p = 0.009) in the prepubertal group.</p><p><strong>Conclusions: </strong>We showed serum levels of bone turnover markers-BALP, OC, and CTX-I-in relation to age and sex in healthy Polish children and adolescents. The age intervals of these markers for girls and boys aged 1-18 years old may be clinically useful in the assessment of bone metabolism in individuals with skeletal disorders.</p>\",\"PeriodicalId\":73842,\"journal\":{\"name\":\"Journal of mother and child\",\"volume\":\"28 1\",\"pages\":\"14-22\"},\"PeriodicalIF\":0.0000,\"publicationDate\":\"2024-04-19\",\"publicationTypes\":\"Journal Article\",\"fieldsOfStudy\":null,\"isOpenAccess\":false,\"openAccessPdf\":\"https://www.ncbi.nlm.nih.gov/pmc/articles/PMC11027035/pdf/\",\"citationCount\":\"0\",\"resultStr\":null,\"platform\":\"Semanticscholar\",\"paperid\":null,\"PeriodicalName\":\"Journal of mother and child\",\"FirstCategoryId\":\"1085\",\"ListUrlMain\":\"https://doi.org/10.34763/jmotherandchild.20242801.d-23-00105\",\"RegionNum\":0,\"RegionCategory\":null,\"ArticlePicture\":[],\"TitleCN\":null,\"AbstractTextCN\":null,\"PMCID\":null,\"EPubDate\":\"2024/2/1 0:00:00\",\"PubModel\":\"eCollection\",\"JCR\":\"\",\"JCRName\":\"\",\"Score\":null,\"Total\":0}","platform":"Semanticscholar","paperid":null,"PeriodicalName":"Journal of mother and child","FirstCategoryId":"1085","ListUrlMain":"https://doi.org/10.34763/jmotherandchild.20242801.d-23-00105","RegionNum":0,"RegionCategory":null,"ArticlePicture":[],"TitleCN":null,"AbstractTextCN":null,"PMCID":null,"EPubDate":"2024/2/1 0:00:00","PubModel":"eCollection","JCR":"","JCRName":"","Score":null,"Total":0}
引用次数: 0

摘要

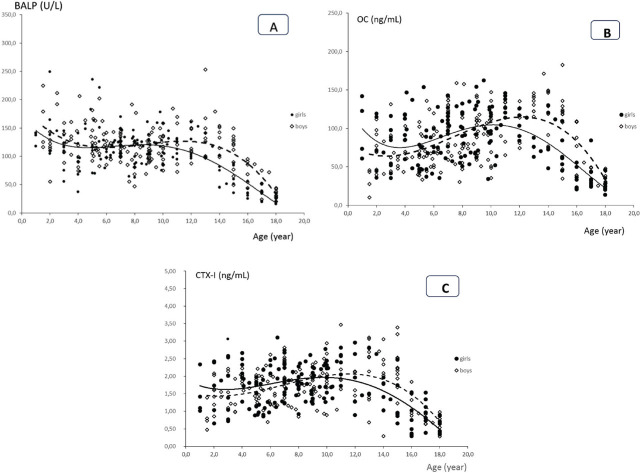
背景:评估儿科人群的骨转换率对于了解骨骼发育过程中发生的生理变化和识别潜在异常至关重要。本研究的目的是评估骨钙素(OC)、骨碱性磷酸酶(BALP)和 I 型胶原蛋白 C 端端肽(CTX-I)的水平,以反映波兰健康儿童和青少年骨形成和骨吸收的年龄和性别:共招募了 355 名 1-18 岁体重正常的健康儿童和青少年(46.5% 为女孩)。采用双能 X 射线吸收测量法(DXA)评估儿童全身小头(TBLH)和脊柱 L1-L4 的骨矿密度(BMD)。采用免疫酶法测定骨标志物浓度:结果:女孩和男孩的骨标志物水平在出生后第一年开始升高,随后下降,直到青春期前达到最低点。男孩在 11-13 岁和女孩在 9-11 岁时达到青春期骨标志物的峰值。青春期过后,青少年的骨标志物浓度逐渐下降,达到成人的水平。我们发现青春期前组的 OC 水平与 TBLH-BMD(r = 0.329,p = 0.002)、TBLH-BMD Z 评分(r = 0.245,p = 0.023)和 L1-L4 BMD(r = 0.280,p = 0.009)呈正相关:我们研究了健康波兰儿童和青少年血清中骨转换标志物--BALP、OC 和 CTX-I 的水平与年龄和性别的关系。这些标志物在 1-18 岁女孩和男孩中的年龄间隔可能有助于临床评估骨骼疾病患者的骨代谢情况。
本文章由计算机程序翻译,如有差异,请以英文原文为准。

Assessment of Biochemical Bone Turnover Markers in Polish Healthy Children and Adolescents.

Assessment of Biochemical Bone Turnover Markers in Polish Healthy Children and Adolescents.

Assessment of Biochemical Bone Turnover Markers in Polish Healthy Children and Adolescents.

Background: Assessing bone turnover in paediatric populations is crucial for understanding the physiological changes occurring during skeletal development and identifying potential abnormalities. The objective of this study was to assess osteocalcin (OC), bone alkaline phosphatase (BALP), and C-terminal telopeptide of type I collagen (CTX-I) levels reflecting bone formation and resorption for age and sex in Polish healthy children and adolescents.

Materials and methods: A total of 355 healthy normal-weight children and adolescents (46.5% girls) aged 1-18 years old were recruited. Total body less head (TBLH) and spine L1-L4 were used in children to assess bone mineral density (BMD) by dual-energy X-ray absorptiometry (DXA). Bone marker concentrations were determined by immunoenzymatic methods.

Results: Bone marker levels in girls and boys started with higher values in the first year of life and subsequently decreased until reaching a nadir during the prepubertal period. The pubertal peak values of bone markers were reached at 11-13 years old in boys and at 9-11 years old in girls. After puberty, the adolescents showed a gradual decline in bone marker concentrations to the values observed in adults. We found positive correlations between OC level and TBLH-BMD (r = 0.329, p = 0.002), TBLH-BMD Z-score (r = 0.245, p = 0.023), and L1-L4 BMD (r = 0.280, p = 0.009) in the prepubertal group.

Conclusions: We showed serum levels of bone turnover markers-BALP, OC, and CTX-I-in relation to age and sex in healthy Polish children and adolescents. The age intervals of these markers for girls and boys aged 1-18 years old may be clinically useful in the assessment of bone metabolism in individuals with skeletal disorders.

求助全文
通过发布文献求助,成功后即可免费获取论文全文。 去求助
来源期刊
CiteScore
1.30
自引率
0.00%
发文量
0
×
引用
GB/T 7714-2015
复制
MLA
复制
APA
复制
导出至
BibTeX EndNote RefMan NoteFirst NoteExpress
×
提示
您的信息不完整,为了账户安全,请先补充。
现在去补充
×
提示
您因"违规操作"
具体请查看互助需知
我知道了
×
提示
确定
请完成安全验证×
copy
已复制链接
快去分享给好友吧!
我知道了
右上角分享
点击右上角分享
0
联系我们:info@booksci.cn Book学术提供免费学术资源搜索服务,方便国内外学者检索中英文文献。致力于提供最便捷和优质的服务体验。 Copyright © 2023 布克学术 All rights reserved.
京ICP备2023020795号-1
ghs 京公网安备 11010802042870号
Book学术文献互助
Book学术文献互助群
群 号:604180095
Book学术官方微信