导致多囊卵巢综合征二甲双胍浓度变化的因素。

IF 2.3 4区 医学 Q2 MEDICINE, GENERAL & INTERNAL
Croatian Medical Journal Pub Date : 2024-04-30
Valentina N Nikolić, Milan Stefanović, Dejan Mitić, Slavica Sunarić, Maša Jović, Hristina Trajković, Sanja Stanković, Aleksandra Ignjatović, Dragana Stokanović
{"title":"导致多囊卵巢综合征二甲双胍浓度变化的因素。","authors":"Valentina N Nikolić, Milan Stefanović, Dejan Mitić, Slavica Sunarić, Maša Jović, Hristina Trajković, Sanja Stanković, Aleksandra Ignjatović, Dragana Stokanović","doi":"","DOIUrl":null,"url":null,"abstract":"<p><strong>Aim: </strong>To investigate the factors affecting metformin concentrations after chronic administration in patients with polycystic ovary syndrome (PCOS), focusing on the pharmacokinetic variability and its implications for personalized therapy.</p><p><strong>Methods: </strong>This study enrolled 53 PCOS patients undergoing long-term metformin treatment at the Clinic for Gynecology and Obstetrics in Niš, Serbia, from February to December 2019. Pharmacokinetic parameters were measured from blood samples, and metformin concentrations were determined with validated analytical techniques.</p><p><strong>Results: </strong>There was a significant variability in metformin concentrations among PCOS patients, with body mass index (BMI) identified as a major influencing factor. Higher BMI was associated with lower plasma metformin levels, a finding suggesting an altered pharmacokinetic profile in obese patients.</p><p><strong>Conclusions: </strong>This study highlights the critical role of BMI in influencing metformin pharmacokinetics in PCOS patients and underscores the need for personalized treatment strategies in patients with PCOS.</p>","PeriodicalId":10796,"journal":{"name":"Croatian Medical Journal","volume":"65 2","pages":"138-145"},"PeriodicalIF":2.3000,"publicationDate":"2024-04-30","publicationTypes":"Journal Article","fieldsOfStudy":null,"isOpenAccess":false,"openAccessPdf":"https://www.ncbi.nlm.nih.gov/pmc/articles/PMC11074935/pdf/","citationCount":"0","resultStr":"{\"title\":\"Factors contributing to variability in metformin concentration in polycystic ovary syndrome.\",\"authors\":\"Valentina N Nikolić, Milan Stefanović, Dejan Mitić, Slavica Sunarić, Maša Jović, Hristina Trajković, Sanja Stanković, Aleksandra Ignjatović, Dragana Stokanović\",\"doi\":\"\",\"DOIUrl\":null,\"url\":null,\"abstract\":\"<p><strong>Aim: </strong>To investigate the factors affecting metformin concentrations after chronic administration in patients with polycystic ovary syndrome (PCOS), focusing on the pharmacokinetic variability and its implications for personalized therapy.</p><p><strong>Methods: </strong>This study enrolled 53 PCOS patients undergoing long-term metformin treatment at the Clinic for Gynecology and Obstetrics in Niš, Serbia, from February to December 2019. Pharmacokinetic parameters were measured from blood samples, and metformin concentrations were determined with validated analytical techniques.</p><p><strong>Results: </strong>There was a significant variability in metformin concentrations among PCOS patients, with body mass index (BMI) identified as a major influencing factor. Higher BMI was associated with lower plasma metformin levels, a finding suggesting an altered pharmacokinetic profile in obese patients.</p><p><strong>Conclusions: </strong>This study highlights the critical role of BMI in influencing metformin pharmacokinetics in PCOS patients and underscores the need for personalized treatment strategies in patients with PCOS.</p>\",\"PeriodicalId\":10796,\"journal\":{\"name\":\"Croatian Medical Journal\",\"volume\":\"65 2\",\"pages\":\"138-145\"},\"PeriodicalIF\":2.3000,\"publicationDate\":\"2024-04-30\",\"publicationTypes\":\"Journal Article\",\"fieldsOfStudy\":null,\"isOpenAccess\":false,\"openAccessPdf\":\"https://www.ncbi.nlm.nih.gov/pmc/articles/PMC11074935/pdf/\",\"citationCount\":\"0\",\"resultStr\":null,\"platform\":\"Semanticscholar\",\"paperid\":null,\"PeriodicalName\":\"Croatian Medical Journal\",\"FirstCategoryId\":\"3\",\"ListUrlMain\":\"\",\"RegionNum\":4,\"RegionCategory\":\"医学\",\"ArticlePicture\":[],\"TitleCN\":null,\"AbstractTextCN\":null,\"PMCID\":null,\"EPubDate\":\"\",\"PubModel\":\"\",\"JCR\":\"Q2\",\"JCRName\":\"MEDICINE, GENERAL & INTERNAL\",\"Score\":null,\"Total\":0}","platform":"Semanticscholar","paperid":null,"PeriodicalName":"Croatian Medical Journal","FirstCategoryId":"3","ListUrlMain":"","RegionNum":4,"RegionCategory":"医学","ArticlePicture":[],"TitleCN":null,"AbstractTextCN":null,"PMCID":null,"EPubDate":"","PubModel":"","JCR":"Q2","JCRName":"MEDICINE, GENERAL & INTERNAL","Score":null,"Total":0}
引用次数: 0

摘要

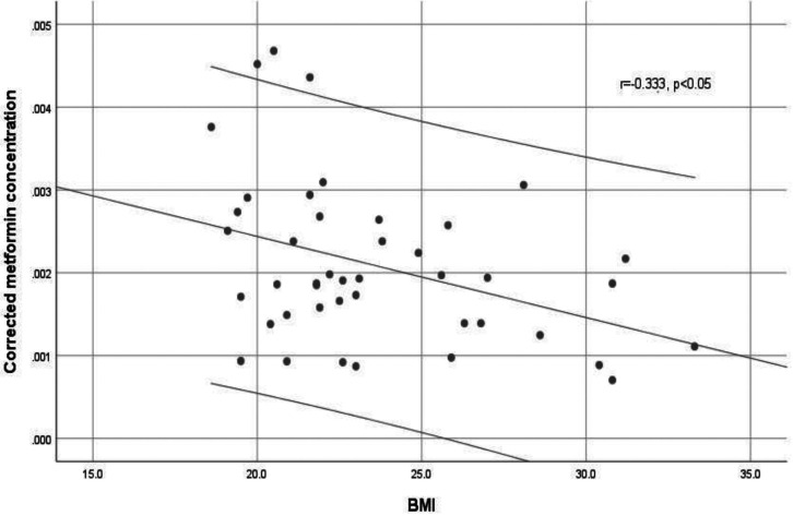
目的:研究影响多囊卵巢综合征(PCOS)患者长期用药后二甲双胍浓度的因素,重点关注药代动力学变异及其对个性化治疗的影响:本研究于 2019 年 2 月至 12 月在塞尔维亚尼什妇产科诊所招募了 53 名接受二甲双胍长期治疗的多囊卵巢综合征患者。药代动力学参数通过血液样本进行测量,二甲双胍浓度通过有效的分析技术进行测定:结果:多囊卵巢综合征患者的二甲双胍浓度存在明显差异,体重指数(BMI)是主要影响因素。较高的体重指数与较低的血浆二甲双胍水平相关,这一发现表明肥胖患者的药代动力学特征发生了改变:本研究强调了体重指数在影响多囊卵巢综合症患者二甲双胍药代动力学方面的关键作用,并强调了对多囊卵巢综合症患者采取个性化治疗策略的必要性。
本文章由计算机程序翻译,如有差异,请以英文原文为准。

Factors contributing to variability in metformin concentration in polycystic ovary syndrome.

Factors contributing to variability in metformin concentration in polycystic ovary syndrome.

Aim: To investigate the factors affecting metformin concentrations after chronic administration in patients with polycystic ovary syndrome (PCOS), focusing on the pharmacokinetic variability and its implications for personalized therapy.

Methods: This study enrolled 53 PCOS patients undergoing long-term metformin treatment at the Clinic for Gynecology and Obstetrics in Niš, Serbia, from February to December 2019. Pharmacokinetic parameters were measured from blood samples, and metformin concentrations were determined with validated analytical techniques.

Results: There was a significant variability in metformin concentrations among PCOS patients, with body mass index (BMI) identified as a major influencing factor. Higher BMI was associated with lower plasma metformin levels, a finding suggesting an altered pharmacokinetic profile in obese patients.

Conclusions: This study highlights the critical role of BMI in influencing metformin pharmacokinetics in PCOS patients and underscores the need for personalized treatment strategies in patients with PCOS.

求助全文
通过发布文献求助,成功后即可免费获取论文全文。 去求助
来源期刊
Croatian Medical Journal
Croatian Medical Journal 医学-医学:内科
CiteScore
3.00
自引率
5.30%
发文量
105
审稿时长
6-12 weeks
期刊介绍: Croatian Medical Journal (CMJ) is an international peer reviewed journal open to scientists from all fields of biomedicine and health related research. Although CMJ welcomes all contributions that increase and expand on medical knowledge, the two areas are of the special interest: topics globally relevant for biomedicine and health and medicine in developing and emerging countries.
×
引用
GB/T 7714-2015
复制
MLA
复制
APA
复制
导出至
BibTeX EndNote RefMan NoteFirst NoteExpress
×
提示
您的信息不完整,为了账户安全,请先补充。
现在去补充
×
提示
您因"违规操作"
具体请查看互助需知
我知道了
×
提示
确定
请完成安全验证×
copy
已复制链接
快去分享给好友吧!
我知道了
右上角分享
点击右上角分享
0
联系我们:info@booksci.cn Book学术提供免费学术资源搜索服务,方便国内外学者检索中英文文献。致力于提供最便捷和优质的服务体验。 Copyright © 2023 布克学术 All rights reserved.
京ICP备2023020795号-1
ghs 京公网安备 11010802042870号
Book学术文献互助
Book学术文献互助群
群 号:604180095
Book学术官方微信