牙医是伪君子吗?克罗地亚牙医和非牙医的口腔自我护理习惯和自我报告的口腔健康状况。

IF 1.8 Q3 DENTISTRY, ORAL SURGERY & MEDICINE
Marin Vodanović, Antea Barišić, Andrej Šribar, Oliver Šuman
{"title":"牙医是伪君子吗?克罗地亚牙医和非牙医的口腔自我护理习惯和自我报告的口腔健康状况。","authors":"Marin Vodanović, Antea Barišić, Andrej Šribar, Oliver Šuman","doi":"10.15644/asc58/1/6","DOIUrl":null,"url":null,"abstract":"<p><strong>Objectives: </strong>Dentists provide dental care to their patients and educate them on their oral hygiene and how to maintain oral health. This paper aimed to determine whether dentists are hypocritical when advising their patients on oral hygiene procedures and dental treatments because they do not apply to themselves what they recommend to others.</p><p><strong>Material and methods: </strong>This is a self-reported study conducted through an online survey questionnaire completed by 1001 participants, of whom 551 were non-dentists and 450 dentists. This is the first study on oral hygiene habits and oral status among dentists in Croatia. This research included almost 10% of the total number of working dentists in Croatia.</p><p><strong>Results: </strong>In terms of dental hygiene habits, dentists brushed, flossed and used interdental brushes more frequently, and they also changed toothbrushes more frequently, whereas they attended check-ups less frequently. Dentists also reported a smaller number of teeth with cavities, a greater number of teeth with fillings, a greater number of extracted teeth, and a greater number of dental crowns, but a smaller number of healthy teeth compared to general population. However, dentists had a much higher proportion of participants over 30 years of age, and when sub-analysis of participants over 30 years of age was performed, dentists had a greater number of healthy teeth compared to the general population.</p><p><strong>Conclusions: </strong>The results showed that dentists are aware of the importance of their oral health and that they do not pay attention only to their oral hygiene habits, but also apply advice they give their patients. Therefore, they cannot be considered hypocritical.</p>","PeriodicalId":7154,"journal":{"name":"Acta Stomatologica Croatica","volume":"58 1","pages":"59-75"},"PeriodicalIF":1.8000,"publicationDate":"2024-03-01","publicationTypes":"Journal Article","fieldsOfStudy":null,"isOpenAccess":false,"openAccessPdf":"https://www.ncbi.nlm.nih.gov/pmc/articles/PMC10981909/pdf/","citationCount":"0","resultStr":"{\"title\":\"Are Dentists Hypocrites? Oral Self-care Habits and Self-reported Oral Health Status among Dentists and Non-dentists in Croatia.\",\"authors\":\"Marin Vodanović, Antea Barišić, Andrej Šribar, Oliver Šuman\",\"doi\":\"10.15644/asc58/1/6\",\"DOIUrl\":null,\"url\":null,\"abstract\":\"<p><strong>Objectives: </strong>Dentists provide dental care to their patients and educate them on their oral hygiene and how to maintain oral health. This paper aimed to determine whether dentists are hypocritical when advising their patients on oral hygiene procedures and dental treatments because they do not apply to themselves what they recommend to others.</p><p><strong>Material and methods: </strong>This is a self-reported study conducted through an online survey questionnaire completed by 1001 participants, of whom 551 were non-dentists and 450 dentists. This is the first study on oral hygiene habits and oral status among dentists in Croatia. This research included almost 10% of the total number of working dentists in Croatia.</p><p><strong>Results: </strong>In terms of dental hygiene habits, dentists brushed, flossed and used interdental brushes more frequently, and they also changed toothbrushes more frequently, whereas they attended check-ups less frequently. Dentists also reported a smaller number of teeth with cavities, a greater number of teeth with fillings, a greater number of extracted teeth, and a greater number of dental crowns, but a smaller number of healthy teeth compared to general population. However, dentists had a much higher proportion of participants over 30 years of age, and when sub-analysis of participants over 30 years of age was performed, dentists had a greater number of healthy teeth compared to the general population.</p><p><strong>Conclusions: </strong>The results showed that dentists are aware of the importance of their oral health and that they do not pay attention only to their oral hygiene habits, but also apply advice they give their patients. Therefore, they cannot be considered hypocritical.</p>\",\"PeriodicalId\":7154,\"journal\":{\"name\":\"Acta Stomatologica Croatica\",\"volume\":\"58 1\",\"pages\":\"59-75\"},\"PeriodicalIF\":1.8000,\"publicationDate\":\"2024-03-01\",\"publicationTypes\":\"Journal Article\",\"fieldsOfStudy\":null,\"isOpenAccess\":false,\"openAccessPdf\":\"https://www.ncbi.nlm.nih.gov/pmc/articles/PMC10981909/pdf/\",\"citationCount\":\"0\",\"resultStr\":null,\"platform\":\"Semanticscholar\",\"paperid\":null,\"PeriodicalName\":\"Acta Stomatologica Croatica\",\"FirstCategoryId\":\"1085\",\"ListUrlMain\":\"https://doi.org/10.15644/asc58/1/6\",\"RegionNum\":0,\"RegionCategory\":null,\"ArticlePicture\":[],\"TitleCN\":null,\"AbstractTextCN\":null,\"PMCID\":null,\"EPubDate\":\"\",\"PubModel\":\"\",\"JCR\":\"Q3\",\"JCRName\":\"DENTISTRY, ORAL SURGERY & MEDICINE\",\"Score\":null,\"Total\":0}","platform":"Semanticscholar","paperid":null,"PeriodicalName":"Acta Stomatologica Croatica","FirstCategoryId":"1085","ListUrlMain":"https://doi.org/10.15644/asc58/1/6","RegionNum":0,"RegionCategory":null,"ArticlePicture":[],"TitleCN":null,"AbstractTextCN":null,"PMCID":null,"EPubDate":"","PubModel":"","JCR":"Q3","JCRName":"DENTISTRY, ORAL SURGERY & MEDICINE","Score":null,"Total":0}
引用次数: 0

摘要

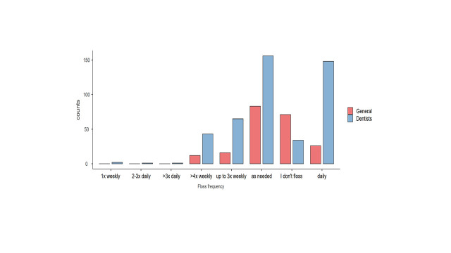
目标:牙医为患者提供牙科护理,并教育他们口腔卫生和如何保持口腔健康。本文旨在确定牙医在向患者提供口腔卫生程序和牙科治疗建议时是否虚伪,因为他们并没有将推荐给他人的建议用于自己:这是一项通过在线调查问卷进行的自我报告研究,共有1001人参与,其中551人为非牙科医生,450人为牙科医生。这是第一项关于克罗地亚牙医口腔卫生习惯和口腔状况的研究。这项研究包括了克罗地亚在职牙医总数的近 10%:在牙齿卫生习惯方面,牙医刷牙、使用牙线和牙间刷的频率更高,他们更换牙刷的频率也更高,而他们参加检查的频率较低。与普通人相比,牙医报告的蛀牙数量较少,补牙数量较多,拔牙数量较多,牙冠数量较多,但健康牙齿数量较少。然而,牙医在 30 岁以上的参与者中所占的比例要高得多,在对 30 岁以上的参与者进行子分析时,牙医与普通人群相比拥有更多的健康牙齿:研究结果表明,牙医意识到了口腔健康的重要性,他们不仅关注自己的口腔卫生习惯,也会应用他们给患者的建议。因此,不能认为他们是虚伪的。
本文章由计算机程序翻译,如有差异,请以英文原文为准。

Are Dentists Hypocrites? Oral Self-care Habits and Self-reported Oral Health Status among Dentists and Non-dentists in Croatia.

Are Dentists Hypocrites? Oral Self-care Habits and Self-reported Oral Health Status among Dentists and Non-dentists in Croatia.

Are Dentists Hypocrites? Oral Self-care Habits and Self-reported Oral Health Status among Dentists and Non-dentists in Croatia.

Are Dentists Hypocrites? Oral Self-care Habits and Self-reported Oral Health Status among Dentists and Non-dentists in Croatia.

Objectives: Dentists provide dental care to their patients and educate them on their oral hygiene and how to maintain oral health. This paper aimed to determine whether dentists are hypocritical when advising their patients on oral hygiene procedures and dental treatments because they do not apply to themselves what they recommend to others.

Material and methods: This is a self-reported study conducted through an online survey questionnaire completed by 1001 participants, of whom 551 were non-dentists and 450 dentists. This is the first study on oral hygiene habits and oral status among dentists in Croatia. This research included almost 10% of the total number of working dentists in Croatia.

Results: In terms of dental hygiene habits, dentists brushed, flossed and used interdental brushes more frequently, and they also changed toothbrushes more frequently, whereas they attended check-ups less frequently. Dentists also reported a smaller number of teeth with cavities, a greater number of teeth with fillings, a greater number of extracted teeth, and a greater number of dental crowns, but a smaller number of healthy teeth compared to general population. However, dentists had a much higher proportion of participants over 30 years of age, and when sub-analysis of participants over 30 years of age was performed, dentists had a greater number of healthy teeth compared to the general population.

Conclusions: The results showed that dentists are aware of the importance of their oral health and that they do not pay attention only to their oral hygiene habits, but also apply advice they give their patients. Therefore, they cannot be considered hypocritical.

求助全文
通过发布文献求助,成功后即可免费获取论文全文。 去求助
来源期刊
Acta Stomatologica Croatica
Acta Stomatologica Croatica DENTISTRY, ORAL SURGERY & MEDICINE-
CiteScore
2.40
自引率
28.60%
发文量
32
审稿时长
12 weeks
期刊介绍: The Acta Stomatologica Croatica (ASCRO) is a leading scientific non-profit journal in the field of dental, oral and cranio-facial sciences during the past 44 years in Croatia. ASCRO publishes original scientific and clinical papers, preliminary communications, case reports, book reviews, letters to the editor and news. Review articles are published by invitation from the Editor-in-Chief by acclaimed professionals in distinct fields of dental medicine. All manuscripts are subjected to peer review process.
×
引用
GB/T 7714-2015
复制
MLA
复制
APA
复制
导出至
BibTeX EndNote RefMan NoteFirst NoteExpress
×
提示
您的信息不完整,为了账户安全,请先补充。
现在去补充
×
提示
您因"违规操作"
具体请查看互助需知
我知道了
×
提示
确定
请完成安全验证×
copy
已复制链接
快去分享给好友吧!
我知道了
右上角分享
点击右上角分享
0
联系我们:info@booksci.cn Book学术提供免费学术资源搜索服务,方便国内外学者检索中英文文献。致力于提供最便捷和优质的服务体验。 Copyright © 2023 布克学术 All rights reserved.
京ICP备2023020795号-1
ghs 京公网安备 11010802042870号
Book学术文献互助
Book学术文献互助群
群 号:604180095
Book学术官方微信