助听器佩戴者在进行重复呼叫测试 (RRT) 时的α波段动态。

IF 3 2区 医学 Q1 AUDIOLOGY & SPEECH-LANGUAGE PATHOLOGY
Christopher Slugocki, Francis Kuk, Petri Korhonen
{"title":"助听器佩戴者在进行重复呼叫测试 (RRT) 时的α波段动态。","authors":"Christopher Slugocki, Francis Kuk, Petri Korhonen","doi":"10.1177/23312165231222098","DOIUrl":null,"url":null,"abstract":"<p><p>This study measured electroencephalographic activity in the alpha band, often associated with task difficulty, to physiologically validate self-reported effort ratings from older hearing-impaired listeners performing the Repeat-Recall Test (RRT)-an integrative multipart assessment of speech-in-noise performance, context use, and auditory working memory. Following a single-blind within-subjects design, 16 older listeners (mean age = 71 years, SD = 13, 9 female) with a moderate-to-severe degree of bilateral sensorineural hearing loss performed the RRT while wearing hearing aids at four fixed signal-to-noise ratios (SNRs) of -5, 0, 5, and 10 dB. Performance and subjective ratings of listening effort were assessed for complementary versions of the RRT materials with high/low availability of semantic context. Listeners were also tested with a version of the RRT that omitted the memory (i.e., recall) component. As expected, results showed alpha power to decrease significantly with increasing SNR from 0 through 10 dB. When tested with high context sentences, alpha was significantly higher in conditions where listeners had to recall the sentence materials compared to conditions where the recall requirement was omitted. When tested with low context sentences, alpha power was relatively high irrespective of the memory component. Within-subjects, alpha power was related to listening effort ratings collected across the different RRT conditions. Overall, these results suggest that the multipart demands of the RRT modulate both neural and behavioral measures of listening effort in directions consistent with the expected/designed difficulty of the RRT conditions.</p>","PeriodicalId":48678,"journal":{"name":"Trends in Hearing","volume":"28 ","pages":"23312165231222098"},"PeriodicalIF":3.0000,"publicationDate":"2024-01-01","publicationTypes":"Journal Article","fieldsOfStudy":null,"isOpenAccess":false,"openAccessPdf":"https://www.ncbi.nlm.nih.gov/pmc/articles/PMC10981257/pdf/","citationCount":"0","resultStr":"{\"title\":\"Alpha-Band Dynamics of Hearing Aid Wearers Performing the Repeat-Recall Test (RRT).\",\"authors\":\"Christopher Slugocki, Francis Kuk, Petri Korhonen\",\"doi\":\"10.1177/23312165231222098\",\"DOIUrl\":null,\"url\":null,\"abstract\":\"<p><p>This study measured electroencephalographic activity in the alpha band, often associated with task difficulty, to physiologically validate self-reported effort ratings from older hearing-impaired listeners performing the Repeat-Recall Test (RRT)-an integrative multipart assessment of speech-in-noise performance, context use, and auditory working memory. Following a single-blind within-subjects design, 16 older listeners (mean age = 71 years, SD = 13, 9 female) with a moderate-to-severe degree of bilateral sensorineural hearing loss performed the RRT while wearing hearing aids at four fixed signal-to-noise ratios (SNRs) of -5, 0, 5, and 10 dB. Performance and subjective ratings of listening effort were assessed for complementary versions of the RRT materials with high/low availability of semantic context. Listeners were also tested with a version of the RRT that omitted the memory (i.e., recall) component. As expected, results showed alpha power to decrease significantly with increasing SNR from 0 through 10 dB. When tested with high context sentences, alpha was significantly higher in conditions where listeners had to recall the sentence materials compared to conditions where the recall requirement was omitted. When tested with low context sentences, alpha power was relatively high irrespective of the memory component. Within-subjects, alpha power was related to listening effort ratings collected across the different RRT conditions. Overall, these results suggest that the multipart demands of the RRT modulate both neural and behavioral measures of listening effort in directions consistent with the expected/designed difficulty of the RRT conditions.</p>\",\"PeriodicalId\":48678,\"journal\":{\"name\":\"Trends in Hearing\",\"volume\":\"28 \",\"pages\":\"23312165231222098\"},\"PeriodicalIF\":3.0000,\"publicationDate\":\"2024-01-01\",\"publicationTypes\":\"Journal Article\",\"fieldsOfStudy\":null,\"isOpenAccess\":false,\"openAccessPdf\":\"https://www.ncbi.nlm.nih.gov/pmc/articles/PMC10981257/pdf/\",\"citationCount\":\"0\",\"resultStr\":null,\"platform\":\"Semanticscholar\",\"paperid\":null,\"PeriodicalName\":\"Trends in Hearing\",\"FirstCategoryId\":\"3\",\"ListUrlMain\":\"https://doi.org/10.1177/23312165231222098\",\"RegionNum\":2,\"RegionCategory\":\"医学\",\"ArticlePicture\":[],\"TitleCN\":null,\"AbstractTextCN\":null,\"PMCID\":null,\"EPubDate\":\"\",\"PubModel\":\"\",\"JCR\":\"Q1\",\"JCRName\":\"AUDIOLOGY & SPEECH-LANGUAGE PATHOLOGY\",\"Score\":null,\"Total\":0}","platform":"Semanticscholar","paperid":null,"PeriodicalName":"Trends in Hearing","FirstCategoryId":"3","ListUrlMain":"https://doi.org/10.1177/23312165231222098","RegionNum":2,"RegionCategory":"医学","ArticlePicture":[],"TitleCN":null,"AbstractTextCN":null,"PMCID":null,"EPubDate":"","PubModel":"","JCR":"Q1","JCRName":"AUDIOLOGY & SPEECH-LANGUAGE PATHOLOGY","Score":null,"Total":0}
引用次数: 0

摘要

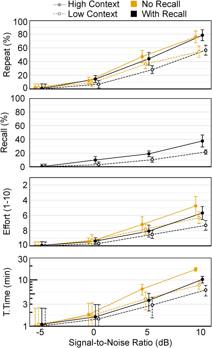
本研究测量了阿尔法波段的脑电活动(通常与任务难度有关),以从生理角度验证老年听力受损者在进行重复唤醒测试(RRT)时自我报告的努力程度,该测试是对噪声中的语音表现、语境使用和听觉工作记忆的多部分综合评估。采用单盲受试者内设计,16 位患有中重度双侧感音神经性听力损失的老年听众(平均年龄 71 岁,标准差 13 岁,女性 9 人)在佩戴助听器的情况下进行了 RRT 测试,信噪比(SNR)分别为-5、0、5 和 10 dB。对于语义上下文可用性高/低的互补版 RRT 材料,对听力表现和听力主观评分进行了评估。听者还接受了省略记忆(即回忆)部分的 RRT 测试。不出所料,结果显示随着信噪比(SNR)从 0 到 10 dB 的增加,α 功率明显下降。使用高语境句子进行测试时,与省略回忆要求的条件相比,听者必须回忆句子材料的条件下,α 功率明显较高。用低语境句子进行测试时,无论记忆成分如何,α 功率都相对较高。在被试内,α 功率与不同 RRT 条件下收集到的听力努力评级有关。总之,这些结果表明,RRT 的多部分要求会调节听力努力程度的神经和行为测量,其方向与 RRT 条件的预期/设计难度一致。
本文章由计算机程序翻译,如有差异,请以英文原文为准。

Alpha-Band Dynamics of Hearing Aid Wearers Performing the Repeat-Recall Test (RRT).

Alpha-Band Dynamics of Hearing Aid Wearers Performing the Repeat-Recall Test (RRT).

Alpha-Band Dynamics of Hearing Aid Wearers Performing the Repeat-Recall Test (RRT).

Alpha-Band Dynamics of Hearing Aid Wearers Performing the Repeat-Recall Test (RRT).

This study measured electroencephalographic activity in the alpha band, often associated with task difficulty, to physiologically validate self-reported effort ratings from older hearing-impaired listeners performing the Repeat-Recall Test (RRT)-an integrative multipart assessment of speech-in-noise performance, context use, and auditory working memory. Following a single-blind within-subjects design, 16 older listeners (mean age = 71 years, SD = 13, 9 female) with a moderate-to-severe degree of bilateral sensorineural hearing loss performed the RRT while wearing hearing aids at four fixed signal-to-noise ratios (SNRs) of -5, 0, 5, and 10 dB. Performance and subjective ratings of listening effort were assessed for complementary versions of the RRT materials with high/low availability of semantic context. Listeners were also tested with a version of the RRT that omitted the memory (i.e., recall) component. As expected, results showed alpha power to decrease significantly with increasing SNR from 0 through 10 dB. When tested with high context sentences, alpha was significantly higher in conditions where listeners had to recall the sentence materials compared to conditions where the recall requirement was omitted. When tested with low context sentences, alpha power was relatively high irrespective of the memory component. Within-subjects, alpha power was related to listening effort ratings collected across the different RRT conditions. Overall, these results suggest that the multipart demands of the RRT modulate both neural and behavioral measures of listening effort in directions consistent with the expected/designed difficulty of the RRT conditions.

求助全文
通过发布文献求助,成功后即可免费获取论文全文。 去求助
来源期刊
Trends in Hearing
Trends in Hearing AUDIOLOGY & SPEECH-LANGUAGE PATHOLOGYOTORH-OTORHINOLARYNGOLOGY
CiteScore
4.50
自引率
11.10%
发文量
44
审稿时长
12 weeks
期刊介绍: Trends in Hearing is an open access journal completely dedicated to publishing original research and reviews focusing on human hearing, hearing loss, hearing aids, auditory implants, and aural rehabilitation. Under its former name, Trends in Amplification, the journal established itself as a forum for concise explorations of all areas of translational hearing research by leaders in the field. Trends in Hearing has now expanded its focus to include original research articles, with the goal of becoming the premier venue for research related to human hearing and hearing loss.
×
引用
GB/T 7714-2015
复制
MLA
复制
APA
复制
导出至
BibTeX EndNote RefMan NoteFirst NoteExpress
×
提示
您的信息不完整,为了账户安全,请先补充。
现在去补充
×
提示
您因"违规操作"
具体请查看互助需知
我知道了
×
提示
确定
请完成安全验证×
copy
已复制链接
快去分享给好友吧!
我知道了
右上角分享
点击右上角分享
0
联系我们:info@booksci.cn Book学术提供免费学术资源搜索服务,方便国内外学者检索中英文文献。致力于提供最便捷和优质的服务体验。 Copyright © 2023 布克学术 All rights reserved.
京ICP备2023020795号-1
ghs 京公网安备 11010802042870号
Book学术文献互助
Book学术文献互助群
群 号:604180095
Book学术官方微信