呼吸系统疾病中的犬尿氨酸途径。

IF 4.1 Q3 NEUROSCIENCES
International Journal of Tryptophan Research Pub Date : 2024-03-14 eCollection Date: 2024-01-01 DOI:10.1177/11786469241232871
Guillaume Pamart, Philippe Gosset, Olivier Le Rouzic, Muriel Pichavant, Odile Poulain-Godefroy
{"title":"呼吸系统疾病中的犬尿氨酸途径。","authors":"Guillaume Pamart, Philippe Gosset, Olivier Le Rouzic, Muriel Pichavant, Odile Poulain-Godefroy","doi":"10.1177/11786469241232871","DOIUrl":null,"url":null,"abstract":"<p><p>The kynurenine pathway is the primary route for tryptophan catabolism and has received increasing attention as its association with inflammation and the immune system has become more apparent. This review provides a broad overview of the kynurenine pathway in respiratory diseases, from the initial observations to the characterization of the different cell types involved in the synthesis of kynurenine metabolites and the underlying immunoregulatory mechanisms. With a focus on respiratory infections, the various attempts to characterize the kynurenine/tryptophan (K/T) ratio as an inflammatory marker are reviewed. Its implication in chronic lung inflammation and its exacerbation by respiratory pathogens is also discussed. The emergence of preclinical interventional studies targeting the kynurenine pathway opens the way for the future development of new therapies.</p>","PeriodicalId":46603,"journal":{"name":"International Journal of Tryptophan Research","volume":"17 ","pages":"11786469241232871"},"PeriodicalIF":4.1000,"publicationDate":"2024-03-14","publicationTypes":"Journal Article","fieldsOfStudy":null,"isOpenAccess":false,"openAccessPdf":"https://www.ncbi.nlm.nih.gov/pmc/articles/PMC10943758/pdf/","citationCount":"0","resultStr":"{\"title\":\"Kynurenine Pathway in Respiratory Diseases.\",\"authors\":\"Guillaume Pamart, Philippe Gosset, Olivier Le Rouzic, Muriel Pichavant, Odile Poulain-Godefroy\",\"doi\":\"10.1177/11786469241232871\",\"DOIUrl\":null,\"url\":null,\"abstract\":\"<p><p>The kynurenine pathway is the primary route for tryptophan catabolism and has received increasing attention as its association with inflammation and the immune system has become more apparent. This review provides a broad overview of the kynurenine pathway in respiratory diseases, from the initial observations to the characterization of the different cell types involved in the synthesis of kynurenine metabolites and the underlying immunoregulatory mechanisms. With a focus on respiratory infections, the various attempts to characterize the kynurenine/tryptophan (K/T) ratio as an inflammatory marker are reviewed. Its implication in chronic lung inflammation and its exacerbation by respiratory pathogens is also discussed. The emergence of preclinical interventional studies targeting the kynurenine pathway opens the way for the future development of new therapies.</p>\",\"PeriodicalId\":46603,\"journal\":{\"name\":\"International Journal of Tryptophan Research\",\"volume\":\"17 \",\"pages\":\"11786469241232871\"},\"PeriodicalIF\":4.1000,\"publicationDate\":\"2024-03-14\",\"publicationTypes\":\"Journal Article\",\"fieldsOfStudy\":null,\"isOpenAccess\":false,\"openAccessPdf\":\"https://www.ncbi.nlm.nih.gov/pmc/articles/PMC10943758/pdf/\",\"citationCount\":\"0\",\"resultStr\":null,\"platform\":\"Semanticscholar\",\"paperid\":null,\"PeriodicalName\":\"International Journal of Tryptophan Research\",\"FirstCategoryId\":\"1085\",\"ListUrlMain\":\"https://doi.org/10.1177/11786469241232871\",\"RegionNum\":0,\"RegionCategory\":null,\"ArticlePicture\":[],\"TitleCN\":null,\"AbstractTextCN\":null,\"PMCID\":null,\"EPubDate\":\"2024/1/1 0:00:00\",\"PubModel\":\"eCollection\",\"JCR\":\"Q3\",\"JCRName\":\"NEUROSCIENCES\",\"Score\":null,\"Total\":0}","platform":"Semanticscholar","paperid":null,"PeriodicalName":"International Journal of Tryptophan Research","FirstCategoryId":"1085","ListUrlMain":"https://doi.org/10.1177/11786469241232871","RegionNum":0,"RegionCategory":null,"ArticlePicture":[],"TitleCN":null,"AbstractTextCN":null,"PMCID":null,"EPubDate":"2024/1/1 0:00:00","PubModel":"eCollection","JCR":"Q3","JCRName":"NEUROSCIENCES","Score":null,"Total":0}
引用次数: 0

摘要

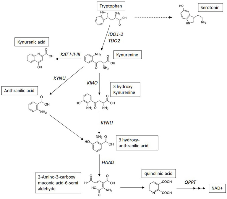
犬尿氨酸途径是色氨酸分解代谢的主要途径,随着其与炎症和免疫系统的关系日益明显,犬尿氨酸途径也受到越来越多的关注。本综述概述了犬尿氨酸途径在呼吸系统疾病中的应用,从最初的观察到参与合成犬尿氨酸代谢物的不同细胞类型的特征以及潜在的免疫调节机制。本文以呼吸道感染为重点,回顾了将犬尿氨酸/色氨酸(K/T)比值作为炎症标志物的各种尝试。此外,还讨论了犬尿氨酸/色氨酸比值在慢性肺部炎症中的作用以及呼吸道病原体对炎症的加剧作用。针对犬尿氨酸途径的临床前干预研究的出现为未来开发新的疗法开辟了道路。
本文章由计算机程序翻译,如有差异,请以英文原文为准。

Kynurenine Pathway in Respiratory Diseases.

Kynurenine Pathway in Respiratory Diseases.

Kynurenine Pathway in Respiratory Diseases.

Kynurenine Pathway in Respiratory Diseases.

The kynurenine pathway is the primary route for tryptophan catabolism and has received increasing attention as its association with inflammation and the immune system has become more apparent. This review provides a broad overview of the kynurenine pathway in respiratory diseases, from the initial observations to the characterization of the different cell types involved in the synthesis of kynurenine metabolites and the underlying immunoregulatory mechanisms. With a focus on respiratory infections, the various attempts to characterize the kynurenine/tryptophan (K/T) ratio as an inflammatory marker are reviewed. Its implication in chronic lung inflammation and its exacerbation by respiratory pathogens is also discussed. The emergence of preclinical interventional studies targeting the kynurenine pathway opens the way for the future development of new therapies.

求助全文
通过发布文献求助,成功后即可免费获取论文全文。 去求助
来源期刊
CiteScore
7.30
自引率
4.50%
发文量
19
审稿时长
8 weeks
×
引用
GB/T 7714-2015
复制
MLA
复制
APA
复制
导出至
BibTeX EndNote RefMan NoteFirst NoteExpress
×
提示
您的信息不完整,为了账户安全,请先补充。
现在去补充
×
提示
您因"违规操作"
具体请查看互助需知
我知道了
×
提示
确定
请完成安全验证×
copy
已复制链接
快去分享给好友吧!
我知道了
右上角分享
点击右上角分享
0
联系我们:info@booksci.cn Book学术提供免费学术资源搜索服务,方便国内外学者检索中英文文献。致力于提供最便捷和优质的服务体验。 Copyright © 2023 布克学术 All rights reserved.
京ICP备2023020795号-1
ghs 京公网安备 11010802042870号
Book学术文献互助
Book学术文献互助群
群 号:604180095
Book学术官方微信