日本 HIV-1 阳性者从富马酸替诺福韦二吡呋酯转为富马酸替诺福韦阿拉非酰胺后 288 周的肾功能和脂质代谢:一项单中心回顾性队列研究。

IF 1.2 Q4 PHARMACOLOGY & PHARMACY
Kensuke Abe, Junji Imamura, Akiko Sasaki, Tomoko Suzuki, Satomi Kamio, Taku Obara, Toshihiro Ito
{"title":"日本 HIV-1 阳性者从富马酸替诺福韦二吡呋酯转为富马酸替诺福韦阿拉非酰胺后 288 周的肾功能和脂质代谢:一项单中心回顾性队列研究。","authors":"Kensuke Abe, Junji Imamura, Akiko Sasaki, Tomoko Suzuki, Satomi Kamio, Taku Obara, Toshihiro Ito","doi":"10.1186/s40780-024-00336-y","DOIUrl":null,"url":null,"abstract":"<p><strong>Background: </strong>Continued use of tenofovir disoproxil fumarate (TDF), an antiretroviral drug, causes renal function decline and tubular damage in individuals with HIV. While tenofovir alafenamide fumarate (TAF) may have less damaging effects, it causes weight gain and abnormal lipid metabolism.</p><p><strong>Methods: </strong>This single-center, retrospective cohort study used medical records from the National Hospital Organization Sendai Medical Center to investigate renal function of Japanese HIV-1-positive individuals who switched from TDF to antiretroviral therapy including TAF by 2017. The endpoints were: estimated glomerular filtration rate (eGFR), urinary β2 microglobulin (Uβ2MG), weight, and lipid metabolism parameters at 288 weeks after switching. Possible correlation between eGFR and Uβ2MG and factors affecting eGFR decline were examined.</p><p><strong>Results: </strong>Sixty patients switched from TDF to TAF and continued therapy for 288 weeks. eGFR showed a significant decline after 144 weeks, although it was controlled from the time of change until 96 weeks. In the renal impairment group, the decline was suppressed until week 288. Uβ2MG continued to decrease significantly after 48 weeks. However, the suggested correlation between eGFR and Uβ2MG disappeared when patients switched from TDF to TAF. Weight and lipid metabolic parameters increased significantly at 48 weeks and were maintained. Factors associated with decreased eGFR were: history of acquired immune deficiency syndrome (AIDS) and Uβ2MG. However, considering the odds ratio, the switch from TDF to TAF suppressed the eGFR decline in the group with a history of AIDS, and Uβ2MG had no effect on the eGFR decline.</p><p><strong>Conclusions: </strong>Switching from TDF to TAF for the long term slows eGFR decline, decreases Uβ2MG levels, and reduces worsening of renal function. Weight gain and abnormal lipid metabolism may occur in the short term but are controllable.</p>","PeriodicalId":16730,"journal":{"name":"Journal of Pharmaceutical Health Care and Sciences","volume":"10 1","pages":"13"},"PeriodicalIF":1.2000,"publicationDate":"2024-02-28","publicationTypes":"Journal Article","fieldsOfStudy":null,"isOpenAccess":false,"openAccessPdf":"https://www.ncbi.nlm.nih.gov/pmc/articles/PMC10900624/pdf/","citationCount":"0","resultStr":"{\"title\":\"Renal function and lipid metabolism in Japanese HIV-1-positive individuals 288 weeks after switching from tenofovir disoproxil fumarate to tenofovir alafenamide fumarate: a single-center, retrospective cohort study.\",\"authors\":\"Kensuke Abe, Junji Imamura, Akiko Sasaki, Tomoko Suzuki, Satomi Kamio, Taku Obara, Toshihiro Ito\",\"doi\":\"10.1186/s40780-024-00336-y\",\"DOIUrl\":null,\"url\":null,\"abstract\":\"<p><strong>Background: </strong>Continued use of tenofovir disoproxil fumarate (TDF), an antiretroviral drug, causes renal function decline and tubular damage in individuals with HIV. While tenofovir alafenamide fumarate (TAF) may have less damaging effects, it causes weight gain and abnormal lipid metabolism.</p><p><strong>Methods: </strong>This single-center, retrospective cohort study used medical records from the National Hospital Organization Sendai Medical Center to investigate renal function of Japanese HIV-1-positive individuals who switched from TDF to antiretroviral therapy including TAF by 2017. The endpoints were: estimated glomerular filtration rate (eGFR), urinary β2 microglobulin (Uβ2MG), weight, and lipid metabolism parameters at 288 weeks after switching. Possible correlation between eGFR and Uβ2MG and factors affecting eGFR decline were examined.</p><p><strong>Results: </strong>Sixty patients switched from TDF to TAF and continued therapy for 288 weeks. eGFR showed a significant decline after 144 weeks, although it was controlled from the time of change until 96 weeks. In the renal impairment group, the decline was suppressed until week 288. Uβ2MG continued to decrease significantly after 48 weeks. However, the suggested correlation between eGFR and Uβ2MG disappeared when patients switched from TDF to TAF. Weight and lipid metabolic parameters increased significantly at 48 weeks and were maintained. Factors associated with decreased eGFR were: history of acquired immune deficiency syndrome (AIDS) and Uβ2MG. However, considering the odds ratio, the switch from TDF to TAF suppressed the eGFR decline in the group with a history of AIDS, and Uβ2MG had no effect on the eGFR decline.</p><p><strong>Conclusions: </strong>Switching from TDF to TAF for the long term slows eGFR decline, decreases Uβ2MG levels, and reduces worsening of renal function. Weight gain and abnormal lipid metabolism may occur in the short term but are controllable.</p>\",\"PeriodicalId\":16730,\"journal\":{\"name\":\"Journal of Pharmaceutical Health Care and Sciences\",\"volume\":\"10 1\",\"pages\":\"13\"},\"PeriodicalIF\":1.2000,\"publicationDate\":\"2024-02-28\",\"publicationTypes\":\"Journal Article\",\"fieldsOfStudy\":null,\"isOpenAccess\":false,\"openAccessPdf\":\"https://www.ncbi.nlm.nih.gov/pmc/articles/PMC10900624/pdf/\",\"citationCount\":\"0\",\"resultStr\":null,\"platform\":\"Semanticscholar\",\"paperid\":null,\"PeriodicalName\":\"Journal of Pharmaceutical Health Care and Sciences\",\"FirstCategoryId\":\"1085\",\"ListUrlMain\":\"https://doi.org/10.1186/s40780-024-00336-y\",\"RegionNum\":0,\"RegionCategory\":null,\"ArticlePicture\":[],\"TitleCN\":null,\"AbstractTextCN\":null,\"PMCID\":null,\"EPubDate\":\"\",\"PubModel\":\"\",\"JCR\":\"Q4\",\"JCRName\":\"PHARMACOLOGY & PHARMACY\",\"Score\":null,\"Total\":0}","platform":"Semanticscholar","paperid":null,"PeriodicalName":"Journal of Pharmaceutical Health Care and Sciences","FirstCategoryId":"1085","ListUrlMain":"https://doi.org/10.1186/s40780-024-00336-y","RegionNum":0,"RegionCategory":null,"ArticlePicture":[],"TitleCN":null,"AbstractTextCN":null,"PMCID":null,"EPubDate":"","PubModel":"","JCR":"Q4","JCRName":"PHARMACOLOGY & PHARMACY","Score":null,"Total":0}
引用次数: 0

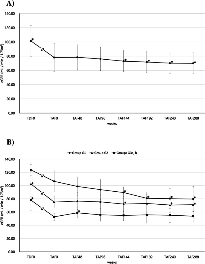
摘要

背景:持续使用抗逆转录病毒药物富马酸替诺福韦二吡呋酯(TDF)会导致艾滋病毒感染者肾功能下降和肾小管损伤。虽然富马酸替诺福韦阿拉非酰胺(TAF)的损害作用可能较小,但它会导致体重增加和脂质代谢异常:这项单中心、回顾性队列研究利用国立医院组织仙台医疗中心的医疗记录,调查了到 2017 年从 TDF 转为包括 TAF 在内的抗逆转录病毒疗法的日本 HIV-1 阳性患者的肾功能。研究终点为:转换疗法288周后的估计肾小球滤过率(eGFR)、尿β2微球蛋白(Uβ2MG)、体重和脂质代谢参数。研究了 eGFR 和 Uβ2MG 之间可能存在的相关性以及影响 eGFR 下降的因素:60名患者从TDF转为TAF,并继续治疗288周。144周后,eGFR出现明显下降,尽管从转药至96周期间,eGFR一直处于受控状态。在肾功能受损组,下降趋势在第288周之前一直受到抑制。48 周后,Uβ2MG 继续显著下降。然而,当患者从TDF转为TAF时,eGFR与Uβ2MG之间的相关性消失了。体重和脂质代谢参数在 48 周时明显增加并保持不变。与 eGFR 下降相关的因素有:获得性免疫缺陷综合征(艾滋病)病史和 Uβ2MG。然而,考虑到几率比,从TDF改为TAF抑制了有艾滋病史组的eGFR下降,而Uβ2MG对eGFR下降没有影响:结论:长期从 TDF 改用 TAF 可减缓 eGFR 下降,降低 Uβ2MG 水平,减少肾功能恶化。短期内可能会出现体重增加和脂质代谢异常,但可以控制。
本文章由计算机程序翻译,如有差异,请以英文原文为准。

Renal function and lipid metabolism in Japanese HIV-1-positive individuals 288 weeks after switching from tenofovir disoproxil fumarate to tenofovir alafenamide fumarate: a single-center, retrospective cohort study.

Renal function and lipid metabolism in Japanese HIV-1-positive individuals 288 weeks after switching from tenofovir disoproxil fumarate to tenofovir alafenamide fumarate: a single-center, retrospective cohort study.

Renal function and lipid metabolism in Japanese HIV-1-positive individuals 288 weeks after switching from tenofovir disoproxil fumarate to tenofovir alafenamide fumarate: a single-center, retrospective cohort study.

Renal function and lipid metabolism in Japanese HIV-1-positive individuals 288 weeks after switching from tenofovir disoproxil fumarate to tenofovir alafenamide fumarate: a single-center, retrospective cohort study.

Background: Continued use of tenofovir disoproxil fumarate (TDF), an antiretroviral drug, causes renal function decline and tubular damage in individuals with HIV. While tenofovir alafenamide fumarate (TAF) may have less damaging effects, it causes weight gain and abnormal lipid metabolism.

Methods: This single-center, retrospective cohort study used medical records from the National Hospital Organization Sendai Medical Center to investigate renal function of Japanese HIV-1-positive individuals who switched from TDF to antiretroviral therapy including TAF by 2017. The endpoints were: estimated glomerular filtration rate (eGFR), urinary β2 microglobulin (Uβ2MG), weight, and lipid metabolism parameters at 288 weeks after switching. Possible correlation between eGFR and Uβ2MG and factors affecting eGFR decline were examined.

Results: Sixty patients switched from TDF to TAF and continued therapy for 288 weeks. eGFR showed a significant decline after 144 weeks, although it was controlled from the time of change until 96 weeks. In the renal impairment group, the decline was suppressed until week 288. Uβ2MG continued to decrease significantly after 48 weeks. However, the suggested correlation between eGFR and Uβ2MG disappeared when patients switched from TDF to TAF. Weight and lipid metabolic parameters increased significantly at 48 weeks and were maintained. Factors associated with decreased eGFR were: history of acquired immune deficiency syndrome (AIDS) and Uβ2MG. However, considering the odds ratio, the switch from TDF to TAF suppressed the eGFR decline in the group with a history of AIDS, and Uβ2MG had no effect on the eGFR decline.

Conclusions: Switching from TDF to TAF for the long term slows eGFR decline, decreases Uβ2MG levels, and reduces worsening of renal function. Weight gain and abnormal lipid metabolism may occur in the short term but are controllable.

求助全文
通过发布文献求助,成功后即可免费获取论文全文。 去求助
来源期刊
CiteScore
1.80
自引率
0.00%
发文量
29
审稿时长
8 weeks
×
引用
GB/T 7714-2015
复制
MLA
复制
APA
复制
导出至
BibTeX EndNote RefMan NoteFirst NoteExpress
×
提示
您的信息不完整,为了账户安全,请先补充。
现在去补充
×
提示
您因"违规操作"
具体请查看互助需知
我知道了
×
提示
确定
请完成安全验证×
copy
已复制链接
快去分享给好友吧!
我知道了
右上角分享
点击右上角分享
0
联系我们:info@booksci.cn Book学术提供免费学术资源搜索服务,方便国内外学者检索中英文文献。致力于提供最便捷和优质的服务体验。 Copyright © 2023 布克学术 All rights reserved.
京ICP备2023020795号-1
ghs 京公网安备 11010802042870号
Book学术文献互助
Book学术文献互助群
群 号:604180095
Book学术官方微信