欧洲水貂(Mustela lutreola)血清蛋白电泳:参考区间以及琼脂糖凝胶电泳和毛细管区带电泳的比较。

IF 5.2 2区 农林科学 Q1 VETERINARY SCIENCES
Veterinary Quarterly Pub Date : 2024-12-01 Epub Date: 2024-02-22 DOI:10.1080/01652176.2024.2318195
Sergio Villanueva-Saz, María Del Carmen Aranda, María de Los Ángeles Jiménez, Paloma Jimena de Andrés, Maite Verde, María Climent, María Eugenia Lebrero Berna, Diana Marteles Aragüés, Antonio Fernández
{"title":"欧洲水貂(Mustela lutreola)血清蛋白电泳:参考区间以及琼脂糖凝胶电泳和毛细管区带电泳的比较。","authors":"Sergio Villanueva-Saz, María Del Carmen Aranda, María de Los Ángeles Jiménez, Paloma Jimena de Andrés, Maite Verde, María Climent, María Eugenia Lebrero Berna, Diana Marteles Aragüés, Antonio Fernández","doi":"10.1080/01652176.2024.2318195","DOIUrl":null,"url":null,"abstract":"<p><strong>Background: </strong>Knowledge of reference intervals for blood analytes, including serum protein fractions, is of great importance for the identification of infectious and inflammatory diseases and is often lacking in wild animal species.</p><p><strong>Material and methods: </strong>Serum samples were obtained from European minks enrolled in the breeding program (n = 55). Agarose gel electrophoresis (AGE) and capillary zone electrophoresis (CZE) were used to separate and identify protein fractions. Albumin, α1, α2, β, and γ-globulins fractions were identified in all mink sera by both electrophoresis methods. Reference intervals (90% CI) were determined following the 2008 guidelines of the Clinical Laboratory Standard Institute. The methods were compared using Passing-Bablok regression, Bland-Altman analysis, and Lin's concordance correlation.</p><p><strong>Results: </strong>A significant bias was found between methods for α1, α2, and γ-globulin. Lin's concordance correlation was considered unacceptable for α1, α2, and β-globulins. Differences for gender between methods were found for albumin and α2-globuins, which were higher for males than females. γ-globulins were higher for adults than young minks using both methods; however, α1 and α2-globulins were lower.</p><p><strong>Conclusion: </strong>Both methods are adequate for identifying serum protein disorders, but the AGE and CZE methods are not equivalent. Therefore, reference intervals for each technique are required.</p>","PeriodicalId":51207,"journal":{"name":"Veterinary Quarterly","volume":"44 1","pages":"1-11"},"PeriodicalIF":5.2000,"publicationDate":"2024-12-01","publicationTypes":"Journal Article","fieldsOfStudy":null,"isOpenAccess":false,"openAccessPdf":"https://www.ncbi.nlm.nih.gov/pmc/articles/PMC10896155/pdf/","citationCount":"0","resultStr":"{\"title\":\"Serum protein electrophoresis in European mink (<i>Mustela lutreola</i>): reference intervals and comparison of agarose gel electrophoresis and capillary zone electrophoresis.\",\"authors\":\"Sergio Villanueva-Saz, María Del Carmen Aranda, María de Los Ángeles Jiménez, Paloma Jimena de Andrés, Maite Verde, María Climent, María Eugenia Lebrero Berna, Diana Marteles Aragüés, Antonio Fernández\",\"doi\":\"10.1080/01652176.2024.2318195\",\"DOIUrl\":null,\"url\":null,\"abstract\":\"<p><strong>Background: </strong>Knowledge of reference intervals for blood analytes, including serum protein fractions, is of great importance for the identification of infectious and inflammatory diseases and is often lacking in wild animal species.</p><p><strong>Material and methods: </strong>Serum samples were obtained from European minks enrolled in the breeding program (n = 55). Agarose gel electrophoresis (AGE) and capillary zone electrophoresis (CZE) were used to separate and identify protein fractions. Albumin, α1, α2, β, and γ-globulins fractions were identified in all mink sera by both electrophoresis methods. Reference intervals (90% CI) were determined following the 2008 guidelines of the Clinical Laboratory Standard Institute. The methods were compared using Passing-Bablok regression, Bland-Altman analysis, and Lin's concordance correlation.</p><p><strong>Results: </strong>A significant bias was found between methods for α1, α2, and γ-globulin. Lin's concordance correlation was considered unacceptable for α1, α2, and β-globulins. Differences for gender between methods were found for albumin and α2-globuins, which were higher for males than females. γ-globulins were higher for adults than young minks using both methods; however, α1 and α2-globulins were lower.</p><p><strong>Conclusion: </strong>Both methods are adequate for identifying serum protein disorders, but the AGE and CZE methods are not equivalent. Therefore, reference intervals for each technique are required.</p>\",\"PeriodicalId\":51207,\"journal\":{\"name\":\"Veterinary Quarterly\",\"volume\":\"44 1\",\"pages\":\"1-11\"},\"PeriodicalIF\":5.2000,\"publicationDate\":\"2024-12-01\",\"publicationTypes\":\"Journal Article\",\"fieldsOfStudy\":null,\"isOpenAccess\":false,\"openAccessPdf\":\"https://www.ncbi.nlm.nih.gov/pmc/articles/PMC10896155/pdf/\",\"citationCount\":\"0\",\"resultStr\":null,\"platform\":\"Semanticscholar\",\"paperid\":null,\"PeriodicalName\":\"Veterinary Quarterly\",\"FirstCategoryId\":\"97\",\"ListUrlMain\":\"https://doi.org/10.1080/01652176.2024.2318195\",\"RegionNum\":2,\"RegionCategory\":\"农林科学\",\"ArticlePicture\":[],\"TitleCN\":null,\"AbstractTextCN\":null,\"PMCID\":null,\"EPubDate\":\"2024/2/22 0:00:00\",\"PubModel\":\"Epub\",\"JCR\":\"Q1\",\"JCRName\":\"VETERINARY SCIENCES\",\"Score\":null,\"Total\":0}","platform":"Semanticscholar","paperid":null,"PeriodicalName":"Veterinary Quarterly","FirstCategoryId":"97","ListUrlMain":"https://doi.org/10.1080/01652176.2024.2318195","RegionNum":2,"RegionCategory":"农林科学","ArticlePicture":[],"TitleCN":null,"AbstractTextCN":null,"PMCID":null,"EPubDate":"2024/2/22 0:00:00","PubModel":"Epub","JCR":"Q1","JCRName":"VETERINARY SCIENCES","Score":null,"Total":0}
引用次数: 0

摘要

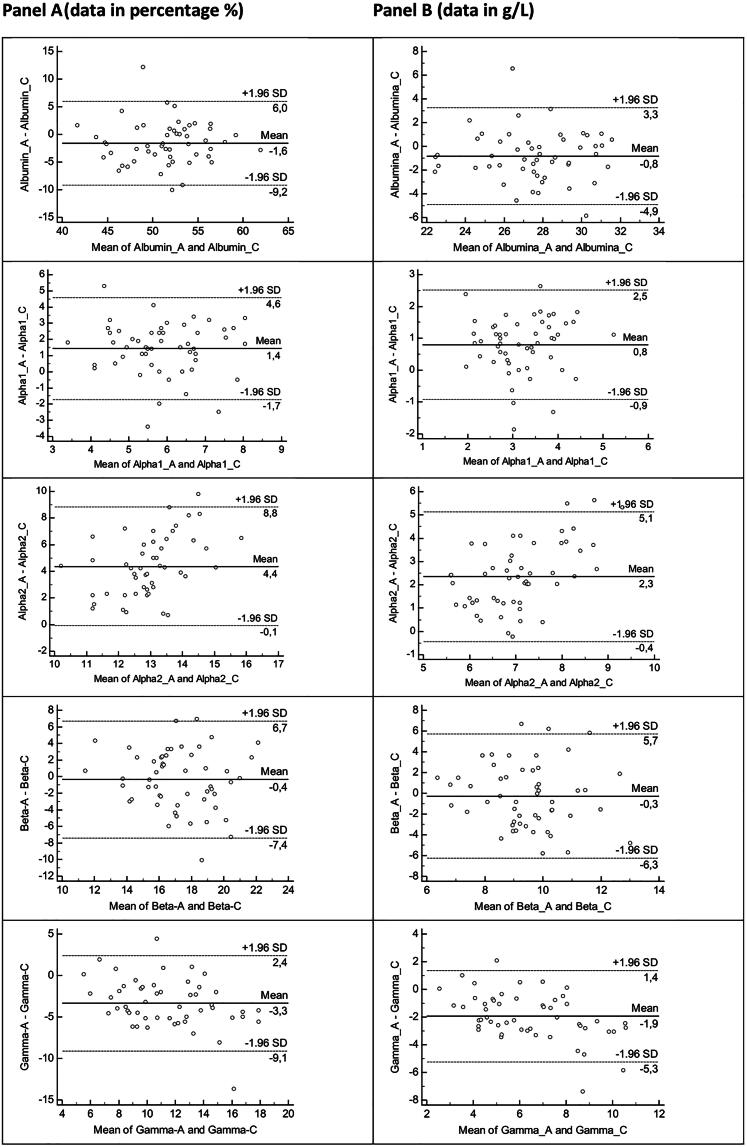
背景:血液分析物(包括血清蛋白组分)参考区间的知识对传染病和炎症性疾病的鉴定非常重要,而野生动物物种往往缺乏这方面的知识:血清样本取自参加育种计划的欧洲水貂(n = 55)。琼脂糖凝胶电泳(AGE)和毛细管区带电泳(CZE)用于分离和鉴定蛋白质组分。两种电泳方法都能鉴定出所有水貂血清中的白蛋白、α1、α2、β和γ-球蛋白组分。参考区间(90% CI)是根据 2008 年临床实验室标准协会指南确定的。使用 Passing-Bablok 回归法、Bland-Altman 分析法和 Lin's 一致性相关法对两种方法进行了比较:结果:α1、α2 和 γ-球蛋白的检测方法之间存在明显偏差。对于α1、α2 和 β-球蛋白,Lin's concordance correlation 被认为是不可接受的。白蛋白和α2-球蛋白在不同方法中存在性别差异,男性高于女性。使用这两种方法,成年水貂的γ-球蛋白高于幼年水貂;但α1 和 α2-球蛋白较低:结论:两种方法都足以鉴别血清蛋白紊乱,但 AGE 和 CZE 方法并不等同。因此,每种技术都需要参考区间。
本文章由计算机程序翻译,如有差异,请以英文原文为准。

Serum protein electrophoresis in European mink (<i>Mustela lutreola</i>): reference intervals and comparison of agarose gel electrophoresis and capillary zone electrophoresis.

Serum protein electrophoresis in European mink (<i>Mustela lutreola</i>): reference intervals and comparison of agarose gel electrophoresis and capillary zone electrophoresis.

Serum protein electrophoresis in European mink (Mustela lutreola): reference intervals and comparison of agarose gel electrophoresis and capillary zone electrophoresis.

Background: Knowledge of reference intervals for blood analytes, including serum protein fractions, is of great importance for the identification of infectious and inflammatory diseases and is often lacking in wild animal species.

Material and methods: Serum samples were obtained from European minks enrolled in the breeding program (n = 55). Agarose gel electrophoresis (AGE) and capillary zone electrophoresis (CZE) were used to separate and identify protein fractions. Albumin, α1, α2, β, and γ-globulins fractions were identified in all mink sera by both electrophoresis methods. Reference intervals (90% CI) were determined following the 2008 guidelines of the Clinical Laboratory Standard Institute. The methods were compared using Passing-Bablok regression, Bland-Altman analysis, and Lin's concordance correlation.

Results: A significant bias was found between methods for α1, α2, and γ-globulin. Lin's concordance correlation was considered unacceptable for α1, α2, and β-globulins. Differences for gender between methods were found for albumin and α2-globuins, which were higher for males than females. γ-globulins were higher for adults than young minks using both methods; however, α1 and α2-globulins were lower.

Conclusion: Both methods are adequate for identifying serum protein disorders, but the AGE and CZE methods are not equivalent. Therefore, reference intervals for each technique are required.

求助全文
通过发布文献求助,成功后即可免费获取论文全文。 去求助
来源期刊
Veterinary Quarterly
Veterinary Quarterly VETERINARY SCIENCES-
CiteScore
13.10
自引率
1.60%
发文量
18
审稿时长
>24 weeks
期刊介绍: Veterinary Quarterly is an international open access journal which publishes high quality review articles and original research in the field of veterinary science and animal diseases. The journal publishes research on a range of different animal species and topics including: - Economically important species such as domesticated and non-domesticated farm animals, including avian and poultry diseases; - Companion animals (dogs, cats, horses, pocket pets and exotics); - Wildlife species; - Infectious diseases; - Diagnosis; - Treatment including pharmacology and vaccination
×
引用
GB/T 7714-2015
复制
MLA
复制
APA
复制
导出至
BibTeX EndNote RefMan NoteFirst NoteExpress
×
提示
您的信息不完整,为了账户安全,请先补充。
现在去补充
×
提示
您因"违规操作"
具体请查看互助需知
我知道了
×
提示
确定
请完成安全验证×
copy
已复制链接
快去分享给好友吧!
我知道了
右上角分享
点击右上角分享
0
联系我们:info@booksci.cn Book学术提供免费学术资源搜索服务,方便国内外学者检索中英文文献。致力于提供最便捷和优质的服务体验。 Copyright © 2023 布克学术 All rights reserved.
京ICP备2023020795号-1
ghs 京公网安备 11010802042870号
Book学术文献互助
Book学术文献互助群
群 号:604180095
Book学术官方微信