监测和评估韩国济州岛使用 E2 亚单位疫苗进行省级传统猪瘟免疫接种的情况。

IF 1.3 Q4 IMMUNOLOGY
Guehwan Jang, Eun-Joo Kim, Seong-Cheol Cho, Sung-Up Moon, Myeong Hwa Lee, Jin A Ko, Seung Bo Ko, Jonghoo Lee, Changhee Lee
{"title":"监测和评估韩国济州岛使用 E2 亚单位疫苗进行省级传统猪瘟免疫接种的情况。","authors":"Guehwan Jang, Eun-Joo Kim, Seong-Cheol Cho, Sung-Up Moon, Myeong Hwa Lee, Jin A Ko, Seung Bo Ko, Jonghoo Lee, Changhee Lee","doi":"10.7774/cevr.2024.13.1.54","DOIUrl":null,"url":null,"abstract":"<p><strong>Purpose: </strong>Accidental vaccination with a live attenuated low-virulence strain of Miyagi (LOM) vaccine led to the reemergence of classical swine fever virus (CSFV) in Jeju province, South Korea in 2014. To control the continual outbreaks of LOM-derived CSFV, the provincial government launched a provincial mass vaccination project using a CSF-E2 subunit vaccine. We conducted this study to assess the herd immunity level and outcomes of E2 vaccine-based immunization in breeding and growing herds on Jeju Island during 2020-2021.</p><p><strong>Materials and methods: </strong>A large-scale vaccination trial using the Bayovac CSF-E2 vaccine investigated its efficacy in breeding and growing herds under farm application conditions (10 CSFV-affected and three CSFV-naïve swine farms).</p><p><strong>Results: </strong>The level of herd immunity in each farm was classified into three (S1-S3) and six (G1-G6) profiles in breeding and growing herds, respectively. Immunity monitoring revealed a remarkable improvement in the herd immunity status in all farms. The majority (10/13) of farms, including CSFV-free farms, showed the S1G1 immunity profile in 2021, indicating the appropriate implementation of the advised vaccination regime. Moreover, there were significant decreases in E<sup>rns</sup> seropositivity from 100% to 50% and 25.9% to 4.3% at farm and pig levels, respectively. In particular, all farms were confirmed as CSFV free in the growing-finishing herds.</p><p><strong>Conclusion: </strong>Our large-scale trial demonstrated the effectiveness of the E2 subunit vaccine in establishing herd immunity stabilization and eliminating CSFV circulation in the affected farms and highlighted the need for a provincial vaccination policy to regain the CSF-free status on Jeju Island.</p>","PeriodicalId":51768,"journal":{"name":"Clinical and Experimental Vaccine Research","volume":"13 1","pages":"54-62"},"PeriodicalIF":1.3000,"publicationDate":"2024-01-01","publicationTypes":"Journal Article","fieldsOfStudy":null,"isOpenAccess":false,"openAccessPdf":"https://www.ncbi.nlm.nih.gov/pmc/articles/PMC10864886/pdf/","citationCount":"0","resultStr":"{\"title\":\"Monitoring and evaluation of provincial classical swine fever immunization implementation with an E2 subunit vaccine in Jeju Island, South Korea.\",\"authors\":\"Guehwan Jang, Eun-Joo Kim, Seong-Cheol Cho, Sung-Up Moon, Myeong Hwa Lee, Jin A Ko, Seung Bo Ko, Jonghoo Lee, Changhee Lee\",\"doi\":\"10.7774/cevr.2024.13.1.54\",\"DOIUrl\":null,\"url\":null,\"abstract\":\"<p><strong>Purpose: </strong>Accidental vaccination with a live attenuated low-virulence strain of Miyagi (LOM) vaccine led to the reemergence of classical swine fever virus (CSFV) in Jeju province, South Korea in 2014. To control the continual outbreaks of LOM-derived CSFV, the provincial government launched a provincial mass vaccination project using a CSF-E2 subunit vaccine. We conducted this study to assess the herd immunity level and outcomes of E2 vaccine-based immunization in breeding and growing herds on Jeju Island during 2020-2021.</p><p><strong>Materials and methods: </strong>A large-scale vaccination trial using the Bayovac CSF-E2 vaccine investigated its efficacy in breeding and growing herds under farm application conditions (10 CSFV-affected and three CSFV-naïve swine farms).</p><p><strong>Results: </strong>The level of herd immunity in each farm was classified into three (S1-S3) and six (G1-G6) profiles in breeding and growing herds, respectively. Immunity monitoring revealed a remarkable improvement in the herd immunity status in all farms. The majority (10/13) of farms, including CSFV-free farms, showed the S1G1 immunity profile in 2021, indicating the appropriate implementation of the advised vaccination regime. Moreover, there were significant decreases in E<sup>rns</sup> seropositivity from 100% to 50% and 25.9% to 4.3% at farm and pig levels, respectively. In particular, all farms were confirmed as CSFV free in the growing-finishing herds.</p><p><strong>Conclusion: </strong>Our large-scale trial demonstrated the effectiveness of the E2 subunit vaccine in establishing herd immunity stabilization and eliminating CSFV circulation in the affected farms and highlighted the need for a provincial vaccination policy to regain the CSF-free status on Jeju Island.</p>\",\"PeriodicalId\":51768,\"journal\":{\"name\":\"Clinical and Experimental Vaccine Research\",\"volume\":\"13 1\",\"pages\":\"54-62\"},\"PeriodicalIF\":1.3000,\"publicationDate\":\"2024-01-01\",\"publicationTypes\":\"Journal Article\",\"fieldsOfStudy\":null,\"isOpenAccess\":false,\"openAccessPdf\":\"https://www.ncbi.nlm.nih.gov/pmc/articles/PMC10864886/pdf/\",\"citationCount\":\"0\",\"resultStr\":null,\"platform\":\"Semanticscholar\",\"paperid\":null,\"PeriodicalName\":\"Clinical and Experimental Vaccine Research\",\"FirstCategoryId\":\"1085\",\"ListUrlMain\":\"https://doi.org/10.7774/cevr.2024.13.1.54\",\"RegionNum\":0,\"RegionCategory\":null,\"ArticlePicture\":[],\"TitleCN\":null,\"AbstractTextCN\":null,\"PMCID\":null,\"EPubDate\":\"2024/1/31 0:00:00\",\"PubModel\":\"Epub\",\"JCR\":\"Q4\",\"JCRName\":\"IMMUNOLOGY\",\"Score\":null,\"Total\":0}","platform":"Semanticscholar","paperid":null,"PeriodicalName":"Clinical and Experimental Vaccine Research","FirstCategoryId":"1085","ListUrlMain":"https://doi.org/10.7774/cevr.2024.13.1.54","RegionNum":0,"RegionCategory":null,"ArticlePicture":[],"TitleCN":null,"AbstractTextCN":null,"PMCID":null,"EPubDate":"2024/1/31 0:00:00","PubModel":"Epub","JCR":"Q4","JCRName":"IMMUNOLOGY","Score":null,"Total":0}
引用次数: 0

摘要

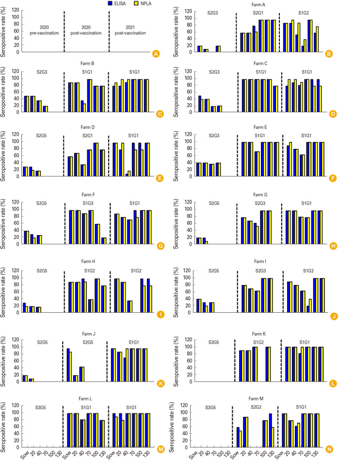
目的:2014年,韩国济州道因意外接种宫城低毒力减毒活疫苗株(LOM)而导致古典猪瘟病毒(CSFV)再次出现。为了控制源于 LOM 的 CSFV 的持续爆发,济州道政府启动了一项使用 CSF-E2 亚单位疫苗的省级大规模疫苗接种项目。我们开展了这项研究,以评估2020-2021年间济州岛育种群和生长群的群体免疫水平和基于E2疫苗的免疫结果:使用 Bayovac CSF-E2 疫苗进行大规模免疫试验,调查其在猪场应用条件下(10 个受 CSFV 影响的猪场和 3 个 CSFV 未感染的猪场)对育种猪群和生长猪群的免疫效果:结果:每个猪场的猪群免疫水平在育成猪群和生长猪群中分别分为三类(S1-S3)和六类(G1-G6)。免疫监测显示,所有猪场的猪群免疫状况都有显著改善。大多数猪场(10/13),包括无 CSFV 猪场,在 2021 年都出现了 S1G1 免疫状况,这表明建议的疫苗接种制度得到了适当实施。此外,猪场和猪只的 Erns 血清阳性率分别从 100%和 25.9%大幅降至 50%和 4.3%。特别是,所有猪场的生长-育成猪群都被证实不含 CSFV:我们的大规模试验证明了 E2 亚单位疫苗在稳定猪群免疫力和消除受影响猪场 CSFV 循环方面的有效性,并强调了在济州岛实施省级疫苗接种政策以恢复无 CSF 状态的必要性。
本文章由计算机程序翻译,如有差异,请以英文原文为准。

Monitoring and evaluation of provincial classical swine fever immunization implementation with an E2 subunit vaccine in Jeju Island, South Korea.

Monitoring and evaluation of provincial classical swine fever immunization implementation with an E2 subunit vaccine in Jeju Island, South Korea.

Monitoring and evaluation of provincial classical swine fever immunization implementation with an E2 subunit vaccine in Jeju Island, South Korea.

Monitoring and evaluation of provincial classical swine fever immunization implementation with an E2 subunit vaccine in Jeju Island, South Korea.

Purpose: Accidental vaccination with a live attenuated low-virulence strain of Miyagi (LOM) vaccine led to the reemergence of classical swine fever virus (CSFV) in Jeju province, South Korea in 2014. To control the continual outbreaks of LOM-derived CSFV, the provincial government launched a provincial mass vaccination project using a CSF-E2 subunit vaccine. We conducted this study to assess the herd immunity level and outcomes of E2 vaccine-based immunization in breeding and growing herds on Jeju Island during 2020-2021.

Materials and methods: A large-scale vaccination trial using the Bayovac CSF-E2 vaccine investigated its efficacy in breeding and growing herds under farm application conditions (10 CSFV-affected and three CSFV-naïve swine farms).

Results: The level of herd immunity in each farm was classified into three (S1-S3) and six (G1-G6) profiles in breeding and growing herds, respectively. Immunity monitoring revealed a remarkable improvement in the herd immunity status in all farms. The majority (10/13) of farms, including CSFV-free farms, showed the S1G1 immunity profile in 2021, indicating the appropriate implementation of the advised vaccination regime. Moreover, there were significant decreases in Erns seropositivity from 100% to 50% and 25.9% to 4.3% at farm and pig levels, respectively. In particular, all farms were confirmed as CSFV free in the growing-finishing herds.

Conclusion: Our large-scale trial demonstrated the effectiveness of the E2 subunit vaccine in establishing herd immunity stabilization and eliminating CSFV circulation in the affected farms and highlighted the need for a provincial vaccination policy to regain the CSF-free status on Jeju Island.

求助全文
通过发布文献求助,成功后即可免费获取论文全文。 去求助
来源期刊
CiteScore
3.70
自引率
3.70%
发文量
29
审稿时长
8 weeks
期刊介绍: Clin Exp Vaccine Res, the official English journal of the Korean Vaccine Society, is an international, peer reviewed, and open-access journal. It covers all areas related to vaccines and vaccination. Clin Exp Vaccine Res publishes editorials, review articles, special articles, original articles, case reports, brief communications, and correspondences covering a wide range of clinical and experimental subjects including vaccines and vaccination for human and animals against infectious diseases caused by viruses, bacteria, parasites and tumor. The scope of the journal is to disseminate information that may contribute to elaborate vaccine development and vaccination strategies targeting infectious diseases and tumors in human and animals. Relevant topics range from experimental approaches to (pre)clinical trials for the vaccine research based on, but not limited to, basic laboratory, translational, and (pre)clinical investigations, epidemiology of infectious diseases and progression of all aspects in the health related issues. It is published printed and open accessed online issues (https://ecevr.org) two times per year in 31 January and 31 July. Clin Exp Vaccine Res is linked to many international databases and is made freely available to institutions and individuals worldwide
×
引用
GB/T 7714-2015
复制
MLA
复制
APA
复制
导出至
BibTeX EndNote RefMan NoteFirst NoteExpress
×
提示
您的信息不完整,为了账户安全,请先补充。
现在去补充
×
提示
您因"违规操作"
具体请查看互助需知
我知道了
×
提示
确定
请完成安全验证×
copy
已复制链接
快去分享给好友吧!
我知道了
右上角分享
点击右上角分享
0
联系我们:info@booksci.cn Book学术提供免费学术资源搜索服务,方便国内外学者检索中英文文献。致力于提供最便捷和优质的服务体验。 Copyright © 2023 布克学术 All rights reserved.
京ICP备2023020795号-1
ghs 京公网安备 11010802042870号
Book学术文献互助
Book学术文献互助群
群 号:604180095
Book学术官方微信