COVID-19 大流行期间青少年健康行为的变化与经济困难的加剧:韩国青少年危险行为调查的横断面研究》。

IF 2.1 Q2 PUBLIC, ENVIRONMENTAL & OCCUPATIONAL HEALTH
Chaeeun Kim, Haeun Lee, Kyunghee Jung-Choi, Hyesook Park
{"title":"COVID-19 大流行期间青少年健康行为的变化与经济困难的加剧:韩国青少年危险行为调查的横断面研究》。","authors":"Chaeeun Kim, Haeun Lee, Kyunghee Jung-Choi, Hyesook Park","doi":"10.3961/jpmph.23.306","DOIUrl":null,"url":null,"abstract":"<p><strong>Objectives: </strong>This study investigated the association between exacerbated economic hardship during the coronavirus disease 2019 (COVID-19) pandemic and changes in the health behaviors of Korean adolescents.</p><p><strong>Methods: </strong>We analyzed data from the 2021 Korea Youth Risk Behavior Survey and included 44 908 students (22 823 boys and 22 085 girls) as study subjects. The dependent variables included changes in health behaviors (breakfast habits, physical activity, and alcohol use) that occurred during the COVID-19 pandemic. The aggravation of economic hardship by COVID-19 and the subjective economic status of the family were used as exposure variables. Multiple logistic regression analysis was utilized to calculate the prevalence odds ratios (PORs).</p><p><strong>Results: </strong>Severe exacerbation of a family's economic hardship due to COVID-19 was negatively associated with the health behaviors of adolescents, including increased breakfast skipping (POR, 1.85; 95% confidence interval [CI], 1.55 to 2.21 for boys and POR, 1.56; 95% CI, 1.27 to 1.92 for girls) and decreased physical activity (POR, 1.37; 95% CI, 1.19 to 1.57 for boys and POR, 1.38; 95% CI, 1.19 to 1.60 for girls). These negative changes in health behaviors were further amplified when combined with a low subjective family economic status.</p><p><strong>Conclusions: </strong>The experience of worsening household hardship can lead to negative changes in health behavior among adolescents. It is crucial to implement measures that address the economic challenges that arise from stressful events such as COVID-19 and to strive to improve the lifestyles of adolescents under such circumstances.</p>","PeriodicalId":16893,"journal":{"name":"Journal of Preventive Medicine and Public Health","volume":"57 1","pages":"18-27"},"PeriodicalIF":2.1000,"publicationDate":"2024-01-01","publicationTypes":"Journal Article","fieldsOfStudy":null,"isOpenAccess":false,"openAccessPdf":"https://www.ncbi.nlm.nih.gov/pmc/articles/PMC10861325/pdf/","citationCount":"0","resultStr":"{\"title\":\"Changes in Adolescent Health Behavior and the Exacerbation of Economic Hardship During the COVID-19 Pandemic: A Cross-sectional Study From the Korea Youth Risk Behavior Survey.\",\"authors\":\"Chaeeun Kim, Haeun Lee, Kyunghee Jung-Choi, Hyesook Park\",\"doi\":\"10.3961/jpmph.23.306\",\"DOIUrl\":null,\"url\":null,\"abstract\":\"<p><strong>Objectives: </strong>This study investigated the association between exacerbated economic hardship during the coronavirus disease 2019 (COVID-19) pandemic and changes in the health behaviors of Korean adolescents.</p><p><strong>Methods: </strong>We analyzed data from the 2021 Korea Youth Risk Behavior Survey and included 44 908 students (22 823 boys and 22 085 girls) as study subjects. The dependent variables included changes in health behaviors (breakfast habits, physical activity, and alcohol use) that occurred during the COVID-19 pandemic. The aggravation of economic hardship by COVID-19 and the subjective economic status of the family were used as exposure variables. Multiple logistic regression analysis was utilized to calculate the prevalence odds ratios (PORs).</p><p><strong>Results: </strong>Severe exacerbation of a family's economic hardship due to COVID-19 was negatively associated with the health behaviors of adolescents, including increased breakfast skipping (POR, 1.85; 95% confidence interval [CI], 1.55 to 2.21 for boys and POR, 1.56; 95% CI, 1.27 to 1.92 for girls) and decreased physical activity (POR, 1.37; 95% CI, 1.19 to 1.57 for boys and POR, 1.38; 95% CI, 1.19 to 1.60 for girls). These negative changes in health behaviors were further amplified when combined with a low subjective family economic status.</p><p><strong>Conclusions: </strong>The experience of worsening household hardship can lead to negative changes in health behavior among adolescents. It is crucial to implement measures that address the economic challenges that arise from stressful events such as COVID-19 and to strive to improve the lifestyles of adolescents under such circumstances.</p>\",\"PeriodicalId\":16893,\"journal\":{\"name\":\"Journal of Preventive Medicine and Public Health\",\"volume\":\"57 1\",\"pages\":\"18-27\"},\"PeriodicalIF\":2.1000,\"publicationDate\":\"2024-01-01\",\"publicationTypes\":\"Journal Article\",\"fieldsOfStudy\":null,\"isOpenAccess\":false,\"openAccessPdf\":\"https://www.ncbi.nlm.nih.gov/pmc/articles/PMC10861325/pdf/\",\"citationCount\":\"0\",\"resultStr\":null,\"platform\":\"Semanticscholar\",\"paperid\":null,\"PeriodicalName\":\"Journal of Preventive Medicine and Public Health\",\"FirstCategoryId\":\"1085\",\"ListUrlMain\":\"https://doi.org/10.3961/jpmph.23.306\",\"RegionNum\":0,\"RegionCategory\":null,\"ArticlePicture\":[],\"TitleCN\":null,\"AbstractTextCN\":null,\"PMCID\":null,\"EPubDate\":\"2023/11/11 0:00:00\",\"PubModel\":\"Epub\",\"JCR\":\"Q2\",\"JCRName\":\"PUBLIC, ENVIRONMENTAL & OCCUPATIONAL HEALTH\",\"Score\":null,\"Total\":0}","platform":"Semanticscholar","paperid":null,"PeriodicalName":"Journal of Preventive Medicine and Public Health","FirstCategoryId":"1085","ListUrlMain":"https://doi.org/10.3961/jpmph.23.306","RegionNum":0,"RegionCategory":null,"ArticlePicture":[],"TitleCN":null,"AbstractTextCN":null,"PMCID":null,"EPubDate":"2023/11/11 0:00:00","PubModel":"Epub","JCR":"Q2","JCRName":"PUBLIC, ENVIRONMENTAL & OCCUPATIONAL HEALTH","Score":null,"Total":0}
引用次数: 0

摘要

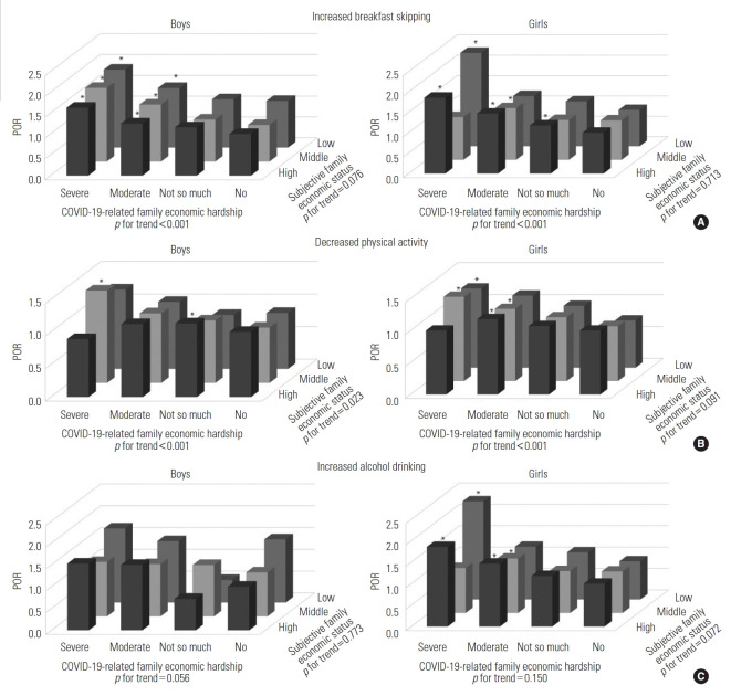
研究目的本研究调查了2019年冠状病毒病(COVID-19)大流行期间经济困难加剧与韩国青少年健康行为变化之间的关联:我们分析了 2021 年韩国青少年危险行为调查的数据,并将 44 908 名学生(22 823 名男生和 22 085 名女生)作为研究对象。因变量包括 COVID-19 大流行期间健康行为(早餐习惯、体育锻炼和饮酒)的变化。COVID-19 导致的经济困难加剧和家庭主观经济状况被用作暴露变量。采用多元逻辑回归分析法计算患病几率比(PORs):结果:COVID-19导致的家庭经济困难严重恶化与青少年的健康行为呈负相关,包括不吃早餐的情况增加(POR,1.85;95%置信区间[CI],男孩为1.55至2.21;女孩为1.56;95%置信区间,1.27至1.92)和体育活动减少(POR,1.37;95%置信区间,男孩为1.19至1.57;女孩为1.38;95%置信区间,1.19至1.60)。这些健康行为的负面变化在主观家庭经济地位较低的情况下进一步加剧:结论:家庭经济状况的恶化会导致青少年健康行为的负面变化。至关重要的是,要采取措施应对 COVID-19 等压力事件带来的经济挑战,并努力改善青少年在这种情况下的生活方式。
本文章由计算机程序翻译,如有差异,请以英文原文为准。

Changes in Adolescent Health Behavior and the Exacerbation of Economic Hardship During the COVID-19 Pandemic: A Cross-sectional Study From the Korea Youth Risk Behavior Survey.

Changes in Adolescent Health Behavior and the Exacerbation of Economic Hardship During the COVID-19 Pandemic: A Cross-sectional Study From the Korea Youth Risk Behavior Survey.

Objectives: This study investigated the association between exacerbated economic hardship during the coronavirus disease 2019 (COVID-19) pandemic and changes in the health behaviors of Korean adolescents.

Methods: We analyzed data from the 2021 Korea Youth Risk Behavior Survey and included 44 908 students (22 823 boys and 22 085 girls) as study subjects. The dependent variables included changes in health behaviors (breakfast habits, physical activity, and alcohol use) that occurred during the COVID-19 pandemic. The aggravation of economic hardship by COVID-19 and the subjective economic status of the family were used as exposure variables. Multiple logistic regression analysis was utilized to calculate the prevalence odds ratios (PORs).

Results: Severe exacerbation of a family's economic hardship due to COVID-19 was negatively associated with the health behaviors of adolescents, including increased breakfast skipping (POR, 1.85; 95% confidence interval [CI], 1.55 to 2.21 for boys and POR, 1.56; 95% CI, 1.27 to 1.92 for girls) and decreased physical activity (POR, 1.37; 95% CI, 1.19 to 1.57 for boys and POR, 1.38; 95% CI, 1.19 to 1.60 for girls). These negative changes in health behaviors were further amplified when combined with a low subjective family economic status.

Conclusions: The experience of worsening household hardship can lead to negative changes in health behavior among adolescents. It is crucial to implement measures that address the economic challenges that arise from stressful events such as COVID-19 and to strive to improve the lifestyles of adolescents under such circumstances.

求助全文
通过发布文献求助,成功后即可免费获取论文全文。 去求助
来源期刊
Journal of Preventive Medicine and Public Health
Journal of Preventive Medicine and Public Health Medicine-Public Health, Environmental and Occupational Health
CiteScore
6.40
自引率
0.00%
发文量
60
审稿时长
8 weeks
×
引用
GB/T 7714-2015
复制
MLA
复制
APA
复制
导出至
BibTeX EndNote RefMan NoteFirst NoteExpress
×
提示
您的信息不完整,为了账户安全,请先补充。
现在去补充
×
提示
您因"违规操作"
具体请查看互助需知
我知道了
×
提示
确定
请完成安全验证×
copy
已复制链接
快去分享给好友吧!
我知道了
右上角分享
点击右上角分享
0
联系我们:info@booksci.cn Book学术提供免费学术资源搜索服务,方便国内外学者检索中英文文献。致力于提供最便捷和优质的服务体验。 Copyright © 2023 布克学术 All rights reserved.
京ICP备2023020795号-1
ghs 京公网安备 11010802042870号
Book学术文献互助
Book学术文献互助群
群 号:604180095
Book学术官方微信