霍奇-肖恩莱因紫癜所致消化道出血患儿的免疫学特征

IF 1.7 Q2 PEDIATRICS
Pediatric health, medicine and therapeutics Pub Date : 2024-01-23 eCollection Date: 2024-01-01 DOI:10.2147/PHMT.S429961
Lingrong Yang, Jing Guo, Fu Xiong
{"title":"霍奇-肖恩莱因紫癜所致消化道出血患儿的免疫学特征","authors":"Lingrong Yang, Jing Guo, Fu Xiong","doi":"10.2147/PHMT.S429961","DOIUrl":null,"url":null,"abstract":"<p><strong>Background: </strong>This study aims to evaluate the immunological features of gastrointestinal (GI) bleeding in children with Henoch-Schönlein purpura (HSP).</p><p><strong>Study design: </strong>This retrospective study was conducted on children with HSP. Demographic and clinical data were collected, including serum immunoglobulin (Ig) levels, complement C3 and C4 levels, and lymphocyte subtype percentage.</p><p><strong>Results: </strong>A total of 446 hospitalized children had HSP. Eighty-six children with HSP had GI bleeding, 114 had proteinuria, and 107 had hematuria. Lower arthralgia, prolonged glucocorticoid use, increased white blood cell counts, elevated neutrophils and neutrophil-to-lymphocyte ratio, reduced IgG and C3 levels, elevated CD19<sup>+</sup> cell percentage, and reduced CD3<sup>+</sup> cell and natural killer cell percentages were associated with GI bleeding risk in patients with HSP. Multivariate regression analysis revealed that arthralgia, glucocorticoid use, increased neutrophil percentage, reduced IgG and C3 levels, and increased CD19<sup>+</sup> cell percentage were independent predictors of GI bleeding. Further analysis indicated that the combination of C3 and CD19<sup>+</sup> cell percentages had a high predictive ability for GI bleeding in children with HSP.</p><p><strong>Conclusion: </strong>This study indicated that reduced C3 and increased CD19<sup>+</sup> cell percentages contributed to the development of GI bleeding in children with HSP. Specific immunologic profiles may be strongly correlated with GI bleeding risk in children with HSP.</p>","PeriodicalId":74410,"journal":{"name":"Pediatric health, medicine and therapeutics","volume":"15 ","pages":"59-66"},"PeriodicalIF":1.7000,"publicationDate":"2024-01-23","publicationTypes":"Journal Article","fieldsOfStudy":null,"isOpenAccess":false,"openAccessPdf":"https://www.ncbi.nlm.nih.gov/pmc/articles/PMC10821657/pdf/","citationCount":"0","resultStr":"{\"title\":\"Immunological Features of Children with Gastrointestinal Bleeding Due to Henoch-Schönlein Purpura.\",\"authors\":\"Lingrong Yang, Jing Guo, Fu Xiong\",\"doi\":\"10.2147/PHMT.S429961\",\"DOIUrl\":null,\"url\":null,\"abstract\":\"<p><strong>Background: </strong>This study aims to evaluate the immunological features of gastrointestinal (GI) bleeding in children with Henoch-Schönlein purpura (HSP).</p><p><strong>Study design: </strong>This retrospective study was conducted on children with HSP. Demographic and clinical data were collected, including serum immunoglobulin (Ig) levels, complement C3 and C4 levels, and lymphocyte subtype percentage.</p><p><strong>Results: </strong>A total of 446 hospitalized children had HSP. Eighty-six children with HSP had GI bleeding, 114 had proteinuria, and 107 had hematuria. Lower arthralgia, prolonged glucocorticoid use, increased white blood cell counts, elevated neutrophils and neutrophil-to-lymphocyte ratio, reduced IgG and C3 levels, elevated CD19<sup>+</sup> cell percentage, and reduced CD3<sup>+</sup> cell and natural killer cell percentages were associated with GI bleeding risk in patients with HSP. Multivariate regression analysis revealed that arthralgia, glucocorticoid use, increased neutrophil percentage, reduced IgG and C3 levels, and increased CD19<sup>+</sup> cell percentage were independent predictors of GI bleeding. Further analysis indicated that the combination of C3 and CD19<sup>+</sup> cell percentages had a high predictive ability for GI bleeding in children with HSP.</p><p><strong>Conclusion: </strong>This study indicated that reduced C3 and increased CD19<sup>+</sup> cell percentages contributed to the development of GI bleeding in children with HSP. Specific immunologic profiles may be strongly correlated with GI bleeding risk in children with HSP.</p>\",\"PeriodicalId\":74410,\"journal\":{\"name\":\"Pediatric health, medicine and therapeutics\",\"volume\":\"15 \",\"pages\":\"59-66\"},\"PeriodicalIF\":1.7000,\"publicationDate\":\"2024-01-23\",\"publicationTypes\":\"Journal Article\",\"fieldsOfStudy\":null,\"isOpenAccess\":false,\"openAccessPdf\":\"https://www.ncbi.nlm.nih.gov/pmc/articles/PMC10821657/pdf/\",\"citationCount\":\"0\",\"resultStr\":null,\"platform\":\"Semanticscholar\",\"paperid\":null,\"PeriodicalName\":\"Pediatric health, medicine and therapeutics\",\"FirstCategoryId\":\"1085\",\"ListUrlMain\":\"https://doi.org/10.2147/PHMT.S429961\",\"RegionNum\":0,\"RegionCategory\":null,\"ArticlePicture\":[],\"TitleCN\":null,\"AbstractTextCN\":null,\"PMCID\":null,\"EPubDate\":\"2024/1/1 0:00:00\",\"PubModel\":\"eCollection\",\"JCR\":\"Q2\",\"JCRName\":\"PEDIATRICS\",\"Score\":null,\"Total\":0}","platform":"Semanticscholar","paperid":null,"PeriodicalName":"Pediatric health, medicine and therapeutics","FirstCategoryId":"1085","ListUrlMain":"https://doi.org/10.2147/PHMT.S429961","RegionNum":0,"RegionCategory":null,"ArticlePicture":[],"TitleCN":null,"AbstractTextCN":null,"PMCID":null,"EPubDate":"2024/1/1 0:00:00","PubModel":"eCollection","JCR":"Q2","JCRName":"PEDIATRICS","Score":null,"Total":0}
引用次数: 0

摘要

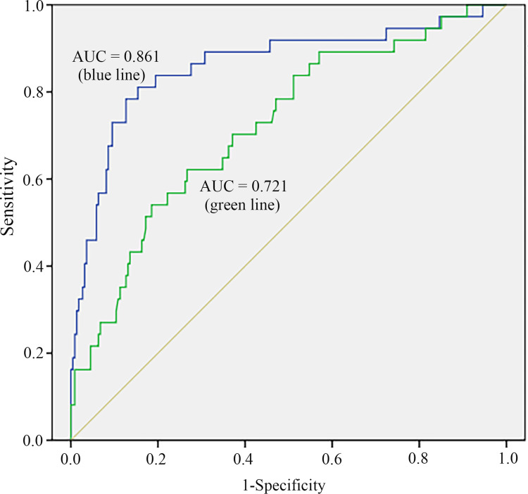
研究背景:本研究旨在评估白癜风患儿消化道(GI)出血的免疫学特征:本研究旨在评估过敏性紫癜(HSP)患儿消化道(GI)出血的免疫学特征:这项回顾性研究以HSP患儿为对象。研究设计:这项回顾性研究以HSP患儿为对象,收集了人口统计学和临床数据,包括血清免疫球蛋白(Ig)水平、补体C3和C4水平以及淋巴细胞亚型百分比:共有 446 名住院儿童患有 HSP。86名HSP患儿有消化道出血,114名患儿有蛋白尿,107名患儿有血尿。关节痛程度较轻、长期使用糖皮质激素、白细胞计数增加、中性粒细胞和中性粒细胞与淋巴细胞比率升高、IgG和C3水平降低、CD19+细胞百分比升高、CD3+细胞和自然杀伤细胞百分比降低与HSP患者消化道出血风险有关。多变量回归分析显示,关节痛、使用糖皮质激素、中性粒细胞比例升高、IgG和C3水平降低以及CD19+细胞比例升高是消化道出血的独立预测因素。进一步分析表明,C3和CD19+细胞百分比的组合对HSP患儿消化道出血具有较高的预测能力:这项研究表明,C3降低和CD19+细胞百分比升高是导致HSP患儿消化道出血的原因之一。特定的免疫学特征可能与 HSP 儿童消化道出血的风险密切相关。
本文章由计算机程序翻译,如有差异,请以英文原文为准。

Immunological Features of Children with Gastrointestinal Bleeding Due to Henoch-Schönlein Purpura.

Immunological Features of Children with Gastrointestinal Bleeding Due to Henoch-Schönlein Purpura.

Background: This study aims to evaluate the immunological features of gastrointestinal (GI) bleeding in children with Henoch-Schönlein purpura (HSP).

Study design: This retrospective study was conducted on children with HSP. Demographic and clinical data were collected, including serum immunoglobulin (Ig) levels, complement C3 and C4 levels, and lymphocyte subtype percentage.

Results: A total of 446 hospitalized children had HSP. Eighty-six children with HSP had GI bleeding, 114 had proteinuria, and 107 had hematuria. Lower arthralgia, prolonged glucocorticoid use, increased white blood cell counts, elevated neutrophils and neutrophil-to-lymphocyte ratio, reduced IgG and C3 levels, elevated CD19+ cell percentage, and reduced CD3+ cell and natural killer cell percentages were associated with GI bleeding risk in patients with HSP. Multivariate regression analysis revealed that arthralgia, glucocorticoid use, increased neutrophil percentage, reduced IgG and C3 levels, and increased CD19+ cell percentage were independent predictors of GI bleeding. Further analysis indicated that the combination of C3 and CD19+ cell percentages had a high predictive ability for GI bleeding in children with HSP.

Conclusion: This study indicated that reduced C3 and increased CD19+ cell percentages contributed to the development of GI bleeding in children with HSP. Specific immunologic profiles may be strongly correlated with GI bleeding risk in children with HSP.

求助全文
通过发布文献求助,成功后即可免费获取论文全文。 去求助
来源期刊
自引率
0.00%
发文量
0
审稿时长
16 weeks
×
引用
GB/T 7714-2015
复制
MLA
复制
APA
复制
导出至
BibTeX EndNote RefMan NoteFirst NoteExpress
×
提示
您的信息不完整,为了账户安全,请先补充。
现在去补充
×
提示
您因"违规操作"
具体请查看互助需知
我知道了
×
提示
确定
请完成安全验证×
copy
已复制链接
快去分享给好友吧!
我知道了
右上角分享
点击右上角分享
0
联系我们:info@booksci.cn Book学术提供免费学术资源搜索服务,方便国内外学者检索中英文文献。致力于提供最便捷和优质的服务体验。 Copyright © 2023 布克学术 All rights reserved.
京ICP备2023020795号-1
ghs 京公网安备 11010802042870号
Book学术文献互助
Book学术文献互助群
群 号:604180095
Book学术官方微信