佩罗综合征的延迟诊断:一种罕见的遗传疾病

IF 0.7 Q3 MEDICINE, GENERAL & INTERNAL
Case Reports in Medicine Pub Date : 2024-01-12 eCollection Date: 2024-01-01 DOI:10.1155/2024/5319443
Mirgul Bayanova, Aigerim Abilova, Alisa Nauryzbayeva, Zhibek Turarbekova
{"title":"佩罗综合征的延迟诊断:一种罕见的遗传疾病","authors":"Mirgul Bayanova, Aigerim Abilova, Alisa Nauryzbayeva, Zhibek Turarbekova","doi":"10.1155/2024/5319443","DOIUrl":null,"url":null,"abstract":"<p><p>Perrault syndrome (PRLTS) is a rare autosomal recessive disorder which is associated with pathogenic variants in HSD17B4, HARS2, CLPP, LARS2, GGPS1, RMND1, TWNK, ERAL1, and PRORP genes. The disease is characterized by sensorineural hearing loss, sometimes with neurological signs, including progressive sensory and motor peripheral neuropathy, cerebellar ataxia, mild mental retardation, and ovarian dysgenesis in females. In this article, we report a case of a child diagnosed with spastic diplegic cerebral palsy. Determination of the segregation status of the parents of a proband with a rare compound heterozygote in the gene HSD17B4 will help the genetic counselling for the prognosis of Perrault syndrome in the family.</p>","PeriodicalId":9627,"journal":{"name":"Case Reports in Medicine","volume":"2024 ","pages":"5319443"},"PeriodicalIF":0.7000,"publicationDate":"2024-01-12","publicationTypes":"Journal Article","fieldsOfStudy":null,"isOpenAccess":false,"openAccessPdf":"https://www.ncbi.nlm.nih.gov/pmc/articles/PMC10798831/pdf/","citationCount":"0","resultStr":"{\"title\":\"Delayed Diagnosis of Perrault Syndrome: A Rare Genetic Disorder.\",\"authors\":\"Mirgul Bayanova, Aigerim Abilova, Alisa Nauryzbayeva, Zhibek Turarbekova\",\"doi\":\"10.1155/2024/5319443\",\"DOIUrl\":null,\"url\":null,\"abstract\":\"<p><p>Perrault syndrome (PRLTS) is a rare autosomal recessive disorder which is associated with pathogenic variants in HSD17B4, HARS2, CLPP, LARS2, GGPS1, RMND1, TWNK, ERAL1, and PRORP genes. The disease is characterized by sensorineural hearing loss, sometimes with neurological signs, including progressive sensory and motor peripheral neuropathy, cerebellar ataxia, mild mental retardation, and ovarian dysgenesis in females. In this article, we report a case of a child diagnosed with spastic diplegic cerebral palsy. Determination of the segregation status of the parents of a proband with a rare compound heterozygote in the gene HSD17B4 will help the genetic counselling for the prognosis of Perrault syndrome in the family.</p>\",\"PeriodicalId\":9627,\"journal\":{\"name\":\"Case Reports in Medicine\",\"volume\":\"2024 \",\"pages\":\"5319443\"},\"PeriodicalIF\":0.7000,\"publicationDate\":\"2024-01-12\",\"publicationTypes\":\"Journal Article\",\"fieldsOfStudy\":null,\"isOpenAccess\":false,\"openAccessPdf\":\"https://www.ncbi.nlm.nih.gov/pmc/articles/PMC10798831/pdf/\",\"citationCount\":\"0\",\"resultStr\":null,\"platform\":\"Semanticscholar\",\"paperid\":null,\"PeriodicalName\":\"Case Reports in Medicine\",\"FirstCategoryId\":\"1085\",\"ListUrlMain\":\"https://doi.org/10.1155/2024/5319443\",\"RegionNum\":0,\"RegionCategory\":null,\"ArticlePicture\":[],\"TitleCN\":null,\"AbstractTextCN\":null,\"PMCID\":null,\"EPubDate\":\"2024/1/1 0:00:00\",\"PubModel\":\"eCollection\",\"JCR\":\"Q3\",\"JCRName\":\"MEDICINE, GENERAL & INTERNAL\",\"Score\":null,\"Total\":0}","platform":"Semanticscholar","paperid":null,"PeriodicalName":"Case Reports in Medicine","FirstCategoryId":"1085","ListUrlMain":"https://doi.org/10.1155/2024/5319443","RegionNum":0,"RegionCategory":null,"ArticlePicture":[],"TitleCN":null,"AbstractTextCN":null,"PMCID":null,"EPubDate":"2024/1/1 0:00:00","PubModel":"eCollection","JCR":"Q3","JCRName":"MEDICINE, GENERAL & INTERNAL","Score":null,"Total":0}
引用次数: 0

摘要

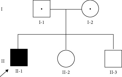
佩罗综合征(PRLTS)是一种罕见的常染色体隐性遗传疾病,与 HSD17B4、HARS2、CLPP、LARS2、GGPS1、RMND1、TWNK、ERAL1 和 PRORP 基因的致病变异有关。该病的特征是感音神经性听力损失,有时伴有神经系统症状,包括进行性感觉和运动性周围神经病变、小脑共济失调、轻度智力低下和女性卵巢发育不良。本文报告了一例被诊断为痉挛性偏瘫脑瘫的患儿。确定 HSD17B4 基因罕见复合杂合子概率的父母的分离状态,将有助于为家族中佩罗综合征的预后提供遗传咨询。
本文章由计算机程序翻译,如有差异,请以英文原文为准。

Delayed Diagnosis of Perrault Syndrome: A Rare Genetic Disorder.

Delayed Diagnosis of Perrault Syndrome: A Rare Genetic Disorder.

Delayed Diagnosis of Perrault Syndrome: A Rare Genetic Disorder.

Perrault syndrome (PRLTS) is a rare autosomal recessive disorder which is associated with pathogenic variants in HSD17B4, HARS2, CLPP, LARS2, GGPS1, RMND1, TWNK, ERAL1, and PRORP genes. The disease is characterized by sensorineural hearing loss, sometimes with neurological signs, including progressive sensory and motor peripheral neuropathy, cerebellar ataxia, mild mental retardation, and ovarian dysgenesis in females. In this article, we report a case of a child diagnosed with spastic diplegic cerebral palsy. Determination of the segregation status of the parents of a proband with a rare compound heterozygote in the gene HSD17B4 will help the genetic counselling for the prognosis of Perrault syndrome in the family.

求助全文
通过发布文献求助,成功后即可免费获取论文全文。 去求助
来源期刊
Case Reports in Medicine
Case Reports in Medicine MEDICINE, GENERAL & INTERNAL-
CiteScore
1.70
自引率
0.00%
发文量
53
审稿时长
13 weeks
×
引用
GB/T 7714-2015
复制
MLA
复制
APA
复制
导出至
BibTeX EndNote RefMan NoteFirst NoteExpress
×
提示
您的信息不完整,为了账户安全,请先补充。
现在去补充
×
提示
您因"违规操作"
具体请查看互助需知
我知道了
×
提示
确定
请完成安全验证×
copy
已复制链接
快去分享给好友吧!
我知道了
右上角分享
点击右上角分享
0
联系我们:info@booksci.cn Book学术提供免费学术资源搜索服务,方便国内外学者检索中英文文献。致力于提供最便捷和优质的服务体验。 Copyright © 2023 布克学术 All rights reserved.
京ICP备2023020795号-1
ghs 京公网安备 11010802042870号
Book学术文献互助
Book学术文献互助群
群 号:604180095
Book学术官方微信