通过数字图像分析评估肿瘤浸润T淋巴细胞,预测弥漫大B细胞淋巴瘤患者的预后。

IF 3 Q3 PATHOLOGY
Yunjoo Cho, Jiyeon Lee, Bogyeong Han, Sang Eun Yoon, Seok Jin Kim, Won Seog Kim, Junhun Cho
{"title":"通过数字图像分析评估肿瘤浸润T淋巴细胞,预测弥漫大B细胞淋巴瘤患者的预后。","authors":"Yunjoo Cho, Jiyeon Lee, Bogyeong Han, Sang Eun Yoon, Seok Jin Kim, Won Seog Kim, Junhun Cho","doi":"10.4132/jptm.2023.11.02","DOIUrl":null,"url":null,"abstract":"<p><strong>Background: </strong>The implication of the presence of tumor-infiltrating T lymphocytes (TIL-T) in diffuse large B-cell lymphoma (DLBCL) is yet to be elucidated. We aimed to investigate the effect of TIL-T levels on the prognosis of patients with DLBCL.</p><p><strong>Methods: </strong>Ninety-six patients with DLBCL were enrolled in the study. The TIL-T ratio was measured using QuPath, a digital pathology software package. The TIL-T ratio was investigated in three foci (highest, intermediate, and lowest) for each case, resulting in TIL-T-Max, TIL-T-Intermediate, and TIL-T-Min. The relationship between the TIL-T ratios and prognosis was investigated.</p><p><strong>Results: </strong>When 19% was used as the cutoff value for TIL-T-Max, 72 (75.0%) and 24 (25.0%) patients had high and low TIL-T-Max, respectively. A high TIL-T-Max was significantly associated with lower serum lactate dehydrogenase levels (p < .001), with patient group who achieved complete remission after RCHOP therapy (p < .001), and a low-risk revised International Prognostic Index score (p < .001). Univariate analysis showed that patients with a low TIL-T-Max had a significantly worse prognosis in overall survival compared to those with a high TIL-T-Max (p < .001); this difference remained significant in a multivariate analysis with Cox proportional hazards (hazard ratio, 7.55; 95% confidence interval, 2.54 to 22.42; p < .001).</p><p><strong>Conclusions: </strong>Patients with DLBCL with a high TIL-T-Max showed significantly better prognosis than those with a low TIL-T-Max, and the TIL-T-Max was an independent indicator of overall survival. These results suggest that evaluating TIL-T ratios using a digital pathology system is useful in predicting the prognosis of patients with DLBCL.</p>","PeriodicalId":46933,"journal":{"name":"Journal of Pathology and Translational Medicine","volume":"58 1","pages":"12-21"},"PeriodicalIF":3.0000,"publicationDate":"2024-01-01","publicationTypes":"Journal Article","fieldsOfStudy":null,"isOpenAccess":false,"openAccessPdf":"https://www.ncbi.nlm.nih.gov/pmc/articles/PMC10792279/pdf/","citationCount":"0","resultStr":"{\"title\":\"Tumor-infiltrating T lymphocytes evaluated using digital image analysis predict the prognosis of patients with diffuse large B-cell lymphoma.\",\"authors\":\"Yunjoo Cho, Jiyeon Lee, Bogyeong Han, Sang Eun Yoon, Seok Jin Kim, Won Seog Kim, Junhun Cho\",\"doi\":\"10.4132/jptm.2023.11.02\",\"DOIUrl\":null,\"url\":null,\"abstract\":\"<p><strong>Background: </strong>The implication of the presence of tumor-infiltrating T lymphocytes (TIL-T) in diffuse large B-cell lymphoma (DLBCL) is yet to be elucidated. We aimed to investigate the effect of TIL-T levels on the prognosis of patients with DLBCL.</p><p><strong>Methods: </strong>Ninety-six patients with DLBCL were enrolled in the study. The TIL-T ratio was measured using QuPath, a digital pathology software package. The TIL-T ratio was investigated in three foci (highest, intermediate, and lowest) for each case, resulting in TIL-T-Max, TIL-T-Intermediate, and TIL-T-Min. The relationship between the TIL-T ratios and prognosis was investigated.</p><p><strong>Results: </strong>When 19% was used as the cutoff value for TIL-T-Max, 72 (75.0%) and 24 (25.0%) patients had high and low TIL-T-Max, respectively. A high TIL-T-Max was significantly associated with lower serum lactate dehydrogenase levels (p < .001), with patient group who achieved complete remission after RCHOP therapy (p < .001), and a low-risk revised International Prognostic Index score (p < .001). Univariate analysis showed that patients with a low TIL-T-Max had a significantly worse prognosis in overall survival compared to those with a high TIL-T-Max (p < .001); this difference remained significant in a multivariate analysis with Cox proportional hazards (hazard ratio, 7.55; 95% confidence interval, 2.54 to 22.42; p < .001).</p><p><strong>Conclusions: </strong>Patients with DLBCL with a high TIL-T-Max showed significantly better prognosis than those with a low TIL-T-Max, and the TIL-T-Max was an independent indicator of overall survival. These results suggest that evaluating TIL-T ratios using a digital pathology system is useful in predicting the prognosis of patients with DLBCL.</p>\",\"PeriodicalId\":46933,\"journal\":{\"name\":\"Journal of Pathology and Translational Medicine\",\"volume\":\"58 1\",\"pages\":\"12-21\"},\"PeriodicalIF\":3.0000,\"publicationDate\":\"2024-01-01\",\"publicationTypes\":\"Journal Article\",\"fieldsOfStudy\":null,\"isOpenAccess\":false,\"openAccessPdf\":\"https://www.ncbi.nlm.nih.gov/pmc/articles/PMC10792279/pdf/\",\"citationCount\":\"0\",\"resultStr\":null,\"platform\":\"Semanticscholar\",\"paperid\":null,\"PeriodicalName\":\"Journal of Pathology and Translational Medicine\",\"FirstCategoryId\":\"1085\",\"ListUrlMain\":\"https://doi.org/10.4132/jptm.2023.11.02\",\"RegionNum\":0,\"RegionCategory\":null,\"ArticlePicture\":[],\"TitleCN\":null,\"AbstractTextCN\":null,\"PMCID\":null,\"EPubDate\":\"2024/1/10 0:00:00\",\"PubModel\":\"Epub\",\"JCR\":\"Q3\",\"JCRName\":\"PATHOLOGY\",\"Score\":null,\"Total\":0}","platform":"Semanticscholar","paperid":null,"PeriodicalName":"Journal of Pathology and Translational Medicine","FirstCategoryId":"1085","ListUrlMain":"https://doi.org/10.4132/jptm.2023.11.02","RegionNum":0,"RegionCategory":null,"ArticlePicture":[],"TitleCN":null,"AbstractTextCN":null,"PMCID":null,"EPubDate":"2024/1/10 0:00:00","PubModel":"Epub","JCR":"Q3","JCRName":"PATHOLOGY","Score":null,"Total":0}
引用次数: 0

摘要

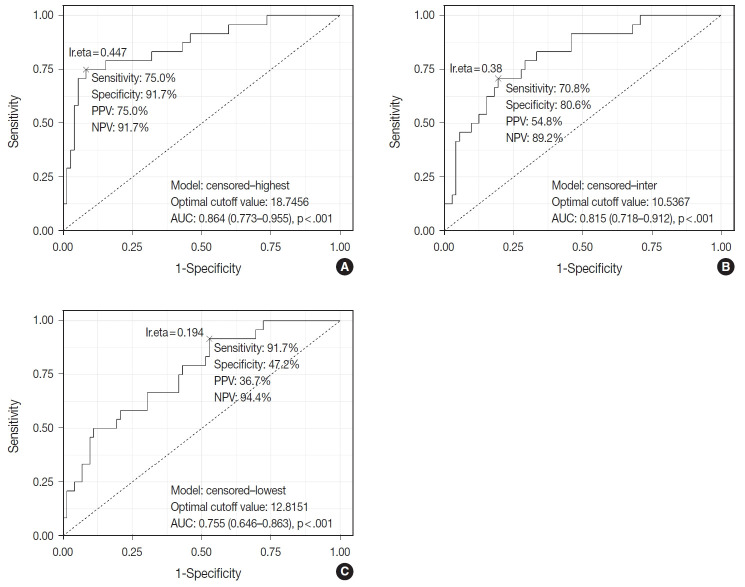
背景:肿瘤浸润性T淋巴细胞(TIL-T)对弥漫大B细胞淋巴瘤(DLBCL)的影响尚未阐明。我们旨在研究TIL-T水平对弥漫性大B细胞淋巴瘤患者预后的影响:研究共纳入96名DLBCL患者。使用数字病理软件包QuPath测量TIL-T比率。对每个病例的三个病灶(最高、中间和最低)进行TIL-T比率调查,得出TIL-T-Max、TIL-T-Intermediate和TIL-T-Min。研究了 TIL-T 比率与预后之间的关系:如果将 19% 作为 TIL-T-Max 的临界值,72 例(75.0%)和 24 例(25.0%)患者的 TIL-T-Max 分别较高和较低。高TIL-T-Max与较低的血清乳酸脱氢酶水平(p < .001)、RCHOP治疗后获得完全缓解的患者组(p < .001)和低风险修订版国际预后指数评分(p < .001)显著相关。单变量分析显示,与高TIL-T-Max患者相比,低TIL-T-Max患者的总生存期预后明显较差(p < .001);在使用Cox比例危险度进行的多变量分析中,这一差异仍然显著(危险比为7.55;95%置信区间为2.54至22.42;p < .001):结论:TIL-T-Max高的DLBCL患者预后明显优于TIL-T-Max低的患者,TIL-T-Max是总生存期的独立指标。这些结果表明,使用数字病理系统评估TIL-T比率有助于预测DLBCL患者的预后。
本文章由计算机程序翻译,如有差异,请以英文原文为准。

Tumor-infiltrating T lymphocytes evaluated using digital image analysis predict the prognosis of patients with diffuse large B-cell lymphoma.

Tumor-infiltrating T lymphocytes evaluated using digital image analysis predict the prognosis of patients with diffuse large B-cell lymphoma.

Tumor-infiltrating T lymphocytes evaluated using digital image analysis predict the prognosis of patients with diffuse large B-cell lymphoma.

Tumor-infiltrating T lymphocytes evaluated using digital image analysis predict the prognosis of patients with diffuse large B-cell lymphoma.

Background: The implication of the presence of tumor-infiltrating T lymphocytes (TIL-T) in diffuse large B-cell lymphoma (DLBCL) is yet to be elucidated. We aimed to investigate the effect of TIL-T levels on the prognosis of patients with DLBCL.

Methods: Ninety-six patients with DLBCL were enrolled in the study. The TIL-T ratio was measured using QuPath, a digital pathology software package. The TIL-T ratio was investigated in three foci (highest, intermediate, and lowest) for each case, resulting in TIL-T-Max, TIL-T-Intermediate, and TIL-T-Min. The relationship between the TIL-T ratios and prognosis was investigated.

Results: When 19% was used as the cutoff value for TIL-T-Max, 72 (75.0%) and 24 (25.0%) patients had high and low TIL-T-Max, respectively. A high TIL-T-Max was significantly associated with lower serum lactate dehydrogenase levels (p < .001), with patient group who achieved complete remission after RCHOP therapy (p < .001), and a low-risk revised International Prognostic Index score (p < .001). Univariate analysis showed that patients with a low TIL-T-Max had a significantly worse prognosis in overall survival compared to those with a high TIL-T-Max (p < .001); this difference remained significant in a multivariate analysis with Cox proportional hazards (hazard ratio, 7.55; 95% confidence interval, 2.54 to 22.42; p < .001).

Conclusions: Patients with DLBCL with a high TIL-T-Max showed significantly better prognosis than those with a low TIL-T-Max, and the TIL-T-Max was an independent indicator of overall survival. These results suggest that evaluating TIL-T ratios using a digital pathology system is useful in predicting the prognosis of patients with DLBCL.

求助全文
通过发布文献求助,成功后即可免费获取论文全文。 去求助
来源期刊
CiteScore
5.00
自引率
4.20%
发文量
45
审稿时长
14 weeks
期刊介绍: The Journal of Pathology and Translational Medicine is an open venue for the rapid publication of major achievements in various fields of pathology, cytopathology, and biomedical and translational research. The Journal aims to share new insights into the molecular and cellular mechanisms of human diseases and to report major advances in both experimental and clinical medicine, with a particular emphasis on translational research. The investigations of human cells and tissues using high-dimensional biology techniques such as genomics and proteomics will be given a high priority. Articles on stem cell biology are also welcome. The categories of manuscript include original articles, review and perspective articles, case studies, brief case reports, and letters to the editor.
×
引用
GB/T 7714-2015
复制
MLA
复制
APA
复制
导出至
BibTeX EndNote RefMan NoteFirst NoteExpress
×
提示
您的信息不完整,为了账户安全,请先补充。
现在去补充
×
提示
您因"违规操作"
具体请查看互助需知
我知道了
×
提示
确定
请完成安全验证×
copy
已复制链接
快去分享给好友吧!
我知道了
右上角分享
点击右上角分享
0
联系我们:info@booksci.cn Book学术提供免费学术资源搜索服务,方便国内外学者检索中英文文献。致力于提供最便捷和优质的服务体验。 Copyright © 2023 布克学术 All rights reserved.
京ICP备2023020795号-1
ghs 京公网安备 11010802042870号
Book学术文献互助
Book学术文献互助群
群 号:604180095
Book学术官方微信