膀胱功能对良性前列腺增生患者经尿道前列腺切除术疗效的影响:一项回顾性单中心研究。

IF 3 2区 医学 Q2 ANDROLOGY
Asian Journal of Andrology Pub Date : 2024-01-01 Epub Date: 2023-08-11 DOI:10.4103/aja202327
Jin Li, Xian-Yan-Ling Yi, Ze-Yu Chen, Bo Chen, Yin Huang, Da-Zhou Liao, Pu-Ze Wang, De-Hong Cao, Jian-Zhong Ai, Liang-Ren Liu
{"title":"膀胱功能对良性前列腺增生患者经尿道前列腺切除术疗效的影响:一项回顾性单中心研究。","authors":"Jin Li, Xian-Yan-Ling Yi, Ze-Yu Chen, Bo Chen, Yin Huang, Da-Zhou Liao, Pu-Ze Wang, De-Hong Cao, Jian-Zhong Ai, Liang-Ren Liu","doi":"10.4103/aja202327","DOIUrl":null,"url":null,"abstract":"<p><p>We investigated the impact and predictive value of bladder function in patients with benign prostatic hyperplasia (BPH) on the efficacy of transurethral prostatectomy. Symptomatic, imaging, and urodynamic data of patients who underwent transurethral prostatectomy at West China Hospital of Sichuan University (Chengdu, China) from July 2019 to December 2021 were collected. Follow-up data included the quality of life (QoL), International Prostate Symptom Score (IPSS), and IPSS storage and voiding (IPSS-s and IPSS-v). Moreover, urinary creatinine (Cr), nerve growth factor (NGF), brain-derived neurotrophic factor (BDNF), and prostaglandin estradiol (PGE2) were measured in 30 patients with BPH and 30 healthy participants. Perioperative indicators were determined by subgroup analyses and receiver operating characteristic (ROC) curve analysis. Among the 313 patients with BPH included, patients with severe micturition problems had more improvements but higher micturition grades postoperatively than those with moderate symptoms. Similarly, good bladder sensation, compliance, and detrusor contractility (DC) were predictors of low postoperative IPSS and QoL. The urinary concentrations of BDNF/Cr, NGF/Cr, and PGE2/Cr in patients were significantly higher than those in healthy participants (all P < 0.001). After evaluation, only DC was significantly related to both urinary indicators and postoperative recovery of patients. Patients with good DC, as predicted by urinary indicators, had lower IPSS and IPSS-v than those with reduced DC at the 1 st month postoperatively (both P < 0.05). In summary, patients with impaired bladder function had poor recovery. The combined levels of urinary BDNF/Cr, NGF/Cr, and PGE2/Cr in patients with BPH may be valid predictors of preoperative bladder function and postoperative recovery.</p>","PeriodicalId":8483,"journal":{"name":"Asian Journal of Andrology","volume":" ","pages":"112-118"},"PeriodicalIF":3.0000,"publicationDate":"2024-01-01","publicationTypes":"Journal Article","fieldsOfStudy":null,"isOpenAccess":false,"openAccessPdf":"https://www.ncbi.nlm.nih.gov/pmc/articles/PMC10846830/pdf/","citationCount":"0","resultStr":"{\"title\":\"The effect of bladder function on the efficacy of transurethral prostatectomy in patients with benign prostatic hyperplasia: a retrospective, single-center study.\",\"authors\":\"Jin Li, Xian-Yan-Ling Yi, Ze-Yu Chen, Bo Chen, Yin Huang, Da-Zhou Liao, Pu-Ze Wang, De-Hong Cao, Jian-Zhong Ai, Liang-Ren Liu\",\"doi\":\"10.4103/aja202327\",\"DOIUrl\":null,\"url\":null,\"abstract\":\"<p><p>We investigated the impact and predictive value of bladder function in patients with benign prostatic hyperplasia (BPH) on the efficacy of transurethral prostatectomy. Symptomatic, imaging, and urodynamic data of patients who underwent transurethral prostatectomy at West China Hospital of Sichuan University (Chengdu, China) from July 2019 to December 2021 were collected. Follow-up data included the quality of life (QoL), International Prostate Symptom Score (IPSS), and IPSS storage and voiding (IPSS-s and IPSS-v). Moreover, urinary creatinine (Cr), nerve growth factor (NGF), brain-derived neurotrophic factor (BDNF), and prostaglandin estradiol (PGE2) were measured in 30 patients with BPH and 30 healthy participants. Perioperative indicators were determined by subgroup analyses and receiver operating characteristic (ROC) curve analysis. Among the 313 patients with BPH included, patients with severe micturition problems had more improvements but higher micturition grades postoperatively than those with moderate symptoms. Similarly, good bladder sensation, compliance, and detrusor contractility (DC) were predictors of low postoperative IPSS and QoL. The urinary concentrations of BDNF/Cr, NGF/Cr, and PGE2/Cr in patients were significantly higher than those in healthy participants (all P < 0.001). After evaluation, only DC was significantly related to both urinary indicators and postoperative recovery of patients. Patients with good DC, as predicted by urinary indicators, had lower IPSS and IPSS-v than those with reduced DC at the 1 st month postoperatively (both P < 0.05). In summary, patients with impaired bladder function had poor recovery. The combined levels of urinary BDNF/Cr, NGF/Cr, and PGE2/Cr in patients with BPH may be valid predictors of preoperative bladder function and postoperative recovery.</p>\",\"PeriodicalId\":8483,\"journal\":{\"name\":\"Asian Journal of Andrology\",\"volume\":\" \",\"pages\":\"112-118\"},\"PeriodicalIF\":3.0000,\"publicationDate\":\"2024-01-01\",\"publicationTypes\":\"Journal Article\",\"fieldsOfStudy\":null,\"isOpenAccess\":false,\"openAccessPdf\":\"https://www.ncbi.nlm.nih.gov/pmc/articles/PMC10846830/pdf/\",\"citationCount\":\"0\",\"resultStr\":null,\"platform\":\"Semanticscholar\",\"paperid\":null,\"PeriodicalName\":\"Asian Journal of Andrology\",\"FirstCategoryId\":\"3\",\"ListUrlMain\":\"https://doi.org/10.4103/aja202327\",\"RegionNum\":2,\"RegionCategory\":\"医学\",\"ArticlePicture\":[],\"TitleCN\":null,\"AbstractTextCN\":null,\"PMCID\":null,\"EPubDate\":\"2023/8/11 0:00:00\",\"PubModel\":\"Epub\",\"JCR\":\"Q2\",\"JCRName\":\"ANDROLOGY\",\"Score\":null,\"Total\":0}","platform":"Semanticscholar","paperid":null,"PeriodicalName":"Asian Journal of Andrology","FirstCategoryId":"3","ListUrlMain":"https://doi.org/10.4103/aja202327","RegionNum":2,"RegionCategory":"医学","ArticlePicture":[],"TitleCN":null,"AbstractTextCN":null,"PMCID":null,"EPubDate":"2023/8/11 0:00:00","PubModel":"Epub","JCR":"Q2","JCRName":"ANDROLOGY","Score":null,"Total":0}
引用次数: 0

摘要

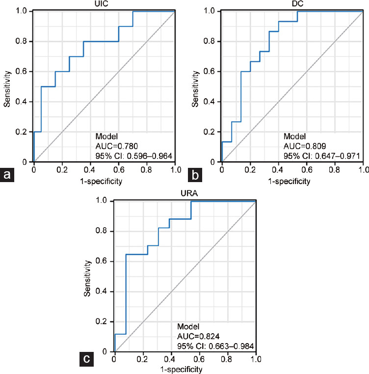
我们研究了良性前列腺增生症(BPH)患者膀胱功能对经尿道前列腺切除术疗效的影响和预测价值。研究收集了2019年7月至2021年12月在四川大学华西医院(中国成都)接受经尿道前列腺切除术的患者的症状、影像学和尿动力学数据。随访数据包括生活质量(QoL)、国际前列腺症状评分(IPSS)、IPSS储存和排尿评分(IPSS-s和IPSS-v)。此外,还对 30 名前列腺增生症患者和 30 名健康参与者的尿肌酐(Cr)、神经生长因子(NGF)、脑源性神经营养因子(BDNF)和前列腺素雌二醇(PGE2)进行了测定。通过亚组分析和接收器操作特征(ROC)曲线分析确定了围手术期指标。在所纳入的 313 名良性前列腺增生症患者中,与症状轻微的患者相比,症状严重的患者术后排尿情况改善更多,但排尿等级更高。同样,良好的膀胱感觉、顺应性和逼尿肌收缩力(DC)也是术后IPSS和QoL较低的预测因素。患者尿液中的 BDNF/Cr、NGF/Cr 和 PGE2/Cr 浓度明显高于健康参与者(所有 P 均小于 0.001)。经过评估,只有 DC 与患者的尿液指标和术后恢复有明显关系。根据排尿指标预测,直流电良好的患者在术后第一个月的 IPSS 和 IPSS-v 均低于直流电降低的患者(均 P < 0.05)。总之,膀胱功能受损的患者恢复情况较差。良性前列腺增生症患者尿中 BDNF/Cr、NGF/Cr 和 PGE2/Cr 的综合水平可能是预测术前膀胱功能和术后恢复的有效指标。
本文章由计算机程序翻译,如有差异,请以英文原文为准。

The effect of bladder function on the efficacy of transurethral prostatectomy in patients with benign prostatic hyperplasia: a retrospective, single-center study.

The effect of bladder function on the efficacy of transurethral prostatectomy in patients with benign prostatic hyperplasia: a retrospective, single-center study.

The effect of bladder function on the efficacy of transurethral prostatectomy in patients with benign prostatic hyperplasia: a retrospective, single-center study.

The effect of bladder function on the efficacy of transurethral prostatectomy in patients with benign prostatic hyperplasia: a retrospective, single-center study.

We investigated the impact and predictive value of bladder function in patients with benign prostatic hyperplasia (BPH) on the efficacy of transurethral prostatectomy. Symptomatic, imaging, and urodynamic data of patients who underwent transurethral prostatectomy at West China Hospital of Sichuan University (Chengdu, China) from July 2019 to December 2021 were collected. Follow-up data included the quality of life (QoL), International Prostate Symptom Score (IPSS), and IPSS storage and voiding (IPSS-s and IPSS-v). Moreover, urinary creatinine (Cr), nerve growth factor (NGF), brain-derived neurotrophic factor (BDNF), and prostaglandin estradiol (PGE2) were measured in 30 patients with BPH and 30 healthy participants. Perioperative indicators were determined by subgroup analyses and receiver operating characteristic (ROC) curve analysis. Among the 313 patients with BPH included, patients with severe micturition problems had more improvements but higher micturition grades postoperatively than those with moderate symptoms. Similarly, good bladder sensation, compliance, and detrusor contractility (DC) were predictors of low postoperative IPSS and QoL. The urinary concentrations of BDNF/Cr, NGF/Cr, and PGE2/Cr in patients were significantly higher than those in healthy participants (all P < 0.001). After evaluation, only DC was significantly related to both urinary indicators and postoperative recovery of patients. Patients with good DC, as predicted by urinary indicators, had lower IPSS and IPSS-v than those with reduced DC at the 1 st month postoperatively (both P < 0.05). In summary, patients with impaired bladder function had poor recovery. The combined levels of urinary BDNF/Cr, NGF/Cr, and PGE2/Cr in patients with BPH may be valid predictors of preoperative bladder function and postoperative recovery.

求助全文
通过发布文献求助,成功后即可免费获取论文全文。 去求助
来源期刊
Asian Journal of Andrology
Asian Journal of Andrology 医学-泌尿学与肾脏学
CiteScore
4.90
自引率
3.40%
发文量
2252
审稿时长
2.2 months
期刊介绍: Fields of particular interest to the journal include, but are not limited to: -Sperm biology: cellular and molecular mechanisms- Male reproductive system: structure and function- Hormonal regulation of male reproduction- Male infertility: etiology, pathogenesis, diagnosis, treatment and prevention- Semen analysis & sperm functional assays- Sperm selection & quality and ART outcomes- Male sexual dysfunction- Male puberty development- Male ageing- Prostate diseases- Operational andrology- HIV & male reproductive tract infection- Male contraception- Environmental, lifestyle, genetic factors and male health- Male reproductive toxicology- Male sexual and reproductive health.
×
引用
GB/T 7714-2015
复制
MLA
复制
APA
复制
导出至
BibTeX EndNote RefMan NoteFirst NoteExpress
×
提示
您的信息不完整,为了账户安全,请先补充。
现在去补充
×
提示
您因"违规操作"
具体请查看互助需知
我知道了
×
提示
确定
请完成安全验证×
copy
已复制链接
快去分享给好友吧!
我知道了
右上角分享
点击右上角分享
0
联系我们:info@booksci.cn Book学术提供免费学术资源搜索服务,方便国内外学者检索中英文文献。致力于提供最便捷和优质的服务体验。 Copyright © 2023 布克学术 All rights reserved.
京ICP备2023020795号-1
ghs 京公网安备 11010802042870号
Book学术文献互助
Book学术文献互助群
群 号:604180095
Book学术官方微信