Burden of Illness Among Patients with Psychosis due to Dementia with Lewy Bodies and Other Dementias.

IF 2.7 4区 医学 Q2 CLINICAL NEUROLOGY
Monica Frazer, Nazia Rashid, Scott Bunner, Ben Skoog, Victor Abler
{"title":"Burden of Illness Among Patients with Psychosis due to Dementia with Lewy Bodies and Other Dementias.","authors":"Monica Frazer, Nazia Rashid, Scott Bunner, Ben Skoog, Victor Abler","doi":"10.1177/15333175231163521","DOIUrl":null,"url":null,"abstract":"<p><p>Limited research is available on the real-world experiences of patients with dementia with Lewy bodies (DLB). This study evaluated clinical events, healthcare utilization, and healthcare costs of patients with DLB vs other dementia types with psychosis (ODP). Study patients included commercial and Medicare Advantage with Part D enrollees aged ≥40 years with evidence of DLB and ODP from 6/01/2015‒5/31/2019. Compared with patients with ODP, more patients with DLB had clinical events including anticholinergic effects, neurologic effects, and cognitive decline. Patients with DLB used more healthcare resources with greater dementia-related office and outpatient visits and psychosis-related inpatient stays and office, outpatient, and emergency visits compared with their ODP patient counterparts. Patients with DLB also incurred higher healthcare costs for all-cause and dementia-related office visits and pharmacy fills, and psychosis-related total costs. Understanding the clinical and economic impact of DLB and ODP is important to improve care for patients with dementia.</p>","PeriodicalId":50816,"journal":{"name":"American Journal of Alzheimers Disease and Other Dementias","volume":"38 ","pages":"15333175231163521"},"PeriodicalIF":2.7000,"publicationDate":"2023-01-01","publicationTypes":"Journal Article","fieldsOfStudy":null,"isOpenAccess":false,"openAccessPdf":"https://www.ncbi.nlm.nih.gov/pmc/articles/PMC10578523/pdf/","citationCount":"0","resultStr":null,"platform":"Semanticscholar","paperid":null,"PeriodicalName":"American Journal of Alzheimers Disease and Other Dementias","FirstCategoryId":"3","ListUrlMain":"https://doi.org/10.1177/15333175231163521","RegionNum":4,"RegionCategory":"医学","ArticlePicture":[],"TitleCN":null,"AbstractTextCN":null,"PMCID":null,"EPubDate":"","PubModel":"","JCR":"Q2","JCRName":"CLINICAL NEUROLOGY","Score":null,"Total":0}
引用次数: 0

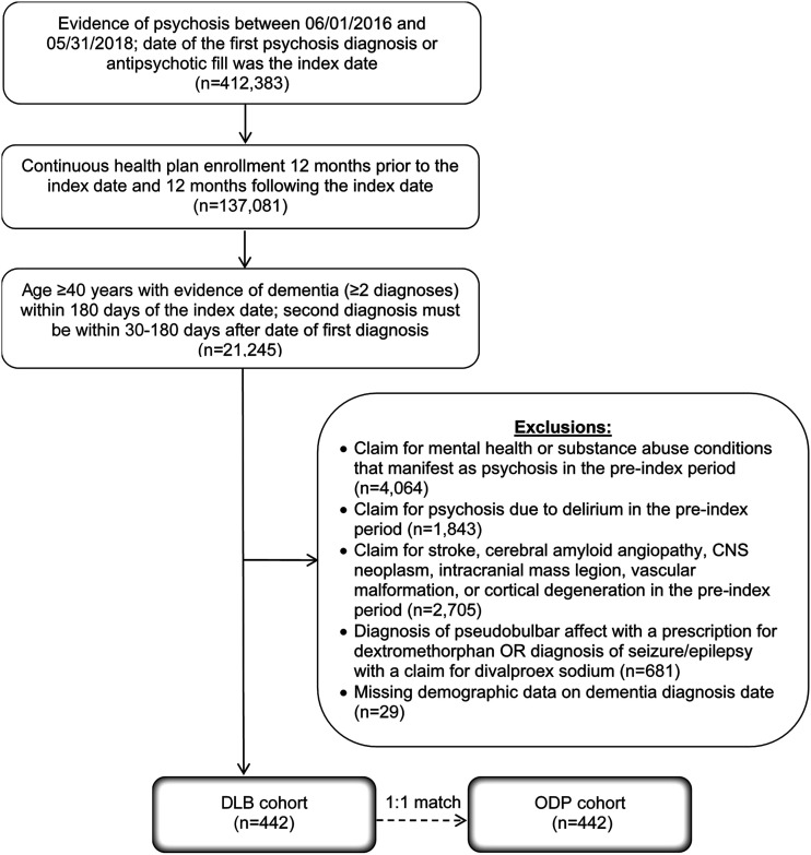
Abstract

Limited research is available on the real-world experiences of patients with dementia with Lewy bodies (DLB). This study evaluated clinical events, healthcare utilization, and healthcare costs of patients with DLB vs other dementia types with psychosis (ODP). Study patients included commercial and Medicare Advantage with Part D enrollees aged ≥40 years with evidence of DLB and ODP from 6/01/2015‒5/31/2019. Compared with patients with ODP, more patients with DLB had clinical events including anticholinergic effects, neurologic effects, and cognitive decline. Patients with DLB used more healthcare resources with greater dementia-related office and outpatient visits and psychosis-related inpatient stays and office, outpatient, and emergency visits compared with their ODP patient counterparts. Patients with DLB also incurred higher healthcare costs for all-cause and dementia-related office visits and pharmacy fills, and psychosis-related total costs. Understanding the clinical and economic impact of DLB and ODP is important to improve care for patients with dementia.

Abstract Image

Abstract Image

Abstract Image

路易体痴呆症和其他痴呆症所致精神病患者的疾病负担。
有关路易体痴呆症(DLB)患者真实世界经历的研究十分有限。本研究评估了路易体痴呆患者与其他类型痴呆伴精神病(ODP)患者的临床事件、医疗利用率和医疗费用。研究患者包括 2015 年 1 月 6 日至 2019 年 5 月 31 日期间年龄≥40 岁、有证据表明患有 DLB 和 ODP 的商业和联邦医疗保险优势 D 部分参保者。与 ODP 患者相比,更多的 DLB 患者发生了临床事件,包括抗胆碱能效应、神经系统效应和认知能力下降。与 ODP 患者相比,DLB 患者使用了更多的医疗资源,与痴呆相关的诊室和门诊就诊次数以及与精神病相关的住院、诊室、门诊和急诊就诊次数均有所增加。DLB患者的全因医疗费用、痴呆相关的诊疗费用和药费以及精神病相关的总费用也较高。了解DLB和ODP的临床和经济影响对于改善痴呆症患者的护理非常重要。
本文章由计算机程序翻译,如有差异,请以英文原文为准。
求助全文
约1分钟内获得全文 求助全文
来源期刊
American Journal of Alzheimers Disease and Other Dementias
American Journal of Alzheimers Disease and Other Dementias GERIATRICS & GERONTOLOGY-CLINICAL NEUROLOGY
CiteScore
5.40
自引率
0.00%
发文量
30
审稿时长
6-12 weeks
期刊介绍: American Journal of Alzheimer''s Disease and other Dementias® (AJADD) is for professionals on the frontlines of Alzheimer''s care, dementia, and clinical depression--especially physicians, nurses, psychiatrists, administrators, and other healthcare specialists who manage patients with dementias and their families. This journal is a member of the Committee on Publication Ethics (COPE).
×
引用
GB/T 7714-2015
复制
MLA
复制
APA
复制
导出至
BibTeX EndNote RefMan NoteFirst NoteExpress
×
提示
您的信息不完整,为了账户安全,请先补充。
现在去补充
×
提示
您因"违规操作"
具体请查看互助需知
我知道了
×
提示
确定
请完成安全验证×
copy
已复制链接
快去分享给好友吧!
我知道了
右上角分享
点击右上角分享
0
联系我们:info@booksci.cn Book学术提供免费学术资源搜索服务,方便国内外学者检索中英文文献。致力于提供最便捷和优质的服务体验。 Copyright © 2023 布克学术 All rights reserved.
京ICP备2023020795号-1
ghs 京公网安备 11010802042870号
Book学术文献互助
Book学术文献互助群
群 号:604180095
Book学术官方微信